
- Рейтинг Литрес:4.2
Полная версия:
Олег Александрович Палёк Школоприколы
- + Увеличить шрифт
- - Уменьшить шрифт

О. Палек
Школоприколы
Большие благодарности Селене за подробную критику и идеи нескольких сценок.
Копирайт
Все права зарезервированы за автором. Любое коммерческое использование данного текста или его фрагментов запрещено. По вопросам приобретения прав на распространение, приобретение или коммерческое использование книги обращаться к автору.
Школа
Математика
Бессчетные фрукты
Действующие лица: Глеб (Г), учительница (У).
Место действия: школьный класс, урок математики.
Реквизит: апельсин, яблоко, клубничка, связка (два) банана, несколько фруктов-муляжей.
Возраст: 6–7 лет.
Сложность постановки: легкая.
Использование: чтение, театр, съемка.
В класс входит У. с сумкой.
У: Глеб, к доске (открывает сумку, вынимает апельсин). Один апельсин, плюс еще один… (копается в сумке). Гм, апельсинов больше нет… Но есть яблоки (добавляет яблоко). Сколько будет всего?
Г: А разве можно складывать яблоки и апельсины?
У: Можно. Вот, смотри (поворачивается к доске, берет мел, пишет 1+1=?). Так сколько будет… (поворачивается обратно, на столе только яблоко и жующий Глеб).
Г: Один.
У: Приятного аппетита. Ладно. Яблоко осталось. Вот еще одно (достает еще одно яблоко). Допустим, ты отдал половину Саше. Сколько у тебя осталось?
Г: (мучительно думает). Полтора!
У: Гм. (достает из сумки клубничку) Сколько всего фруктов?
Г: Два.
У: (выходит из терпения). Но почему же два?! Я же добавила клубничку!
Г: Потому что клубника – ягода.
У: О, Господи! (достает два связанных банана). Сколько?
Г: Два.
У: Ура! На тебе один банан за это!
Г: (жуя банан). Эх, если бы знал, сказал бы 10!
У: (выходит из класса, приносит несколько пластмассовых фруктов). Надеюсь, это ты есть не будешь. Сколько всего фруктов?
Г: Нисколько.
У: (полностью выходит из себя). Но почему «нисколько»?!
Г: Потому что это не фрукты. Это муляжи.
У. в трансе. Немая пауза.
Школьный хакер
Действующие лица: Учительница (У), Глеб (Г), хакер (Х), два телохранителя.
Место действия: переменка, школьный класс.
Реквизит: планшет.
Возраст: 11–15 лет.
Сложность постановки: средняя.
Использование: чтение, съемка.
Перемена. Входят два телохранителя в черных костюмах и очках. Между ними худой подросток. Он подходит к Г.
Х: Я хакер, буду учиться в вашем классе.
Г: Хиляк? Не расслышал (делает вид, что прислушивается).
Х: Сейчас ты все хорошо услышишь.
Х. вытаскивает из ранца планшет, что-то отстукивает на нем. Неожиданно начинает выть тревога в ритме симфонии Бетховена и в такт мигать лампочки в коридоре.
Х: Может, хочешь пожар? (тянется к планшету).
Г: (испуганно). Не надо! Я все понял! Ты чем угодно можешь управлять?
Х: Ага. Как-то я на спор ломанул Красноярскую ГЭС, слышал, наверное. С тех пор меня и охраняют.
Г: А что ты к нам?
Х: Да надоело работать на конторы. Хочу учиться в нормальной школе. На самом деле завалюсь на последней парте и буду в игры резаться. Мне учиться не надо, я Департамент Образования ломанул и поставил себе везде отличные оценки.
Г: Это у тебя вряд ли получится. Наша классная кого хошь работать заставит.
Х: А вот посмотрим.
Звенит звонок, все входят в класс, Х. садится рядом с Г. на последнюю парту. Входит У.
У: (смотрит на телефон). У нас новенький, Коля. Очень умный мальчик, одни пятерки, член разных научных обществ. Даже не верится… (звонит сотовый, У. берет трубку). И директор нашей школы подтверждает. Конечно, такому ученику незачем учиться…
Х. снисходительно и торжествующе смотрит на Г.
У: …но он может много научить нас. Поэтому я решила сделать его учителем информатики!
У Х. отвисает челюсть.
Ответ на любой вопрос
Действующие лица: Саша (С), Глеб (Г), учительница (У).
Место действия: школьный класс.
Реквизит: смартфон с маленьким блютус-наушником.
Возраст: 12–15 лет.
Сложность постановки: легкая.
Использование: чтение, театр, съемка.
Перемена, С. достает большой смартфон, вставляет в ухо наушник.
Г: Что за телефон?
С: Умный голосовой помощник, знает ответы на все вопросы. Короче, пятерка по всем предметам обеспечена.
Звенит звонок, входит У. С. тянет руку.
У: Храбро, Саша, учитывая твои оценки. Иди к доске (С. выходит к доске). Напиши формулу дискриминанта квадратного уравнения.
Нам показывают экран смартфона. На нем картинка браузера с надписью: «Поиск сети… Повторите запрос».
С: (прислушивается к наушнику). Повторите запрос.
У: Чего? Вроде громко говорю. Ты не заболел, Саша? Хорошо, другой вопрос. Графиком какой функции является гипербола?
На экране смартфона: «Гипербола – преувеличение».
С: Это преувеличение.
У: Мы не на уроке литературы, а математики. Учитывая твою храбрость, оценку ставить не буду. Но готовиться надо лучше. Садись.
С. садится.
Г: Ну, и где пятерка?
На экране смартфона «Магазин «Пятерочка», адрес ул. Сельская, 4»
Г: Чего?! Ну он у тебя тупой.
С: Фигня! В следующий раз налажу так, что смартфон и отвечать за меня будет!
Металлический голос: И буду за тебя ходить в школу.
У С. отвисает челюсть.
Любовный треугольник
Действующие лица: Катя (К), учительница (У).
Место действия: школьный класс, урок математики.
Реквизит:
Возраст: 14–17 лет.
Сложность постановки: очень легкая.
Использование: чтение, театр.
Урок математики.
У: Кто расскажет нам о треугольнике?
К. тянет руку.
К: В любовном треугольнике обычно два парня и одна девушка. Во главе угла, конечно, девушка…
У: Садись, два!
К: (недоуменно). Конечно два. Если парень один, это же не треугольник.
У: Ладно, «четыре».
К: Четыре – это уже квадрат.
Запорожец Валуева
Действующие лица: Глеб (Г), учительница (У), Николай Валуев (В).
Место действия: школьный класс.
Реквизит:
Возраст: 14–16 лет.
Примечание: Необходим боксер Николай Валуев или актер, загримированный под него.
Сложность постановки: средняя (требуется массовка).
Использование: чтение, театр, съемка.
Школьный класс. Г. – школьный хулиган внушительной комплекции. Звонок, входит У.
У: Здравствуйте, ребята. Я ваша новая учительница по математике, Любовь Михайловна.
Г: А я Глеб Иванов. А как ваша фамилия?
У: Вот что, Глеб Иванов, в следующий раз, когда захочешь задать вопрос, поднимай руку. А фамилия моя Запорожец.
Г: (тянет руку, У. разрешает). А ваша фамилия «Запорожец» – она от казаков произошла или автомобиля?
У: У нас урок математики, Глеб, а не русского языка
Г: Значит, от автомобиля.
У: Иванов! Я рада, что ты хорошо осведомлен в советской истории! Сядь!
Г: А у вас правда багажник спереди? И сзади ничо так, потому что там двигатель?
У: Дурак ты, Глеб. Эту фамилию мне еще недолго носить. Я выхожу замуж.
Г: А он кто? Москвич или Жигули? Я бы с ним познакомился.
У: Да ты его наверняка знаешь.
Звенит звонок. В класс входит Николай Валуев.
У: (к Валуеву). Коля, вот этот ученик (показывает) хотел с тобой познакомиться.
В: (внимательно смотрит на Г.). Правда?
Г: (заикаясь). Ну… я… думал…
Г. пулей вылетает из класса.
В: (в камеру). Вот так всегда. Сначала хотят познакомиться, а как прихожу – убегают (разводит руками).
Пифагор был прав
Действующие лица: Глеб (Г), Маша (М), учительница (У), Василий (В), уборщица-таджичка (Т).
Место действия: школьный класс.
Реквизит: две школьных доски, мел.
Возраст: 12–14 лет.
Сложность постановки: средняя (требуется массовка).
Использование: чтение, театр, съемка.
Школьный класс, урок математики. Рядом с У. сидит В.
У: Сегодня у нас проверяющий из РОНО Василий Сергеевич, кандидат математических наук. Покажем ему, чего мы достигли. Маша, расскажи нам о теореме Пифагора.
М: (выходит к доске, пишет). a2+b2=c2. В прямоугольном треугольнике сумма квадратов катетов равна квадрату гипотенузы.
В: Правильно. Но я вижу, не все в вашем классе внимательно слушают урок (показывает на Г. на последней парте).
У: Это Глеб, двоечник, весь урок отвлекается, играет на планшете…
В: Глеб, что ты можешь добавить к ответу Маши?
Г: (с удивлением отрывается от планшета). Неправильно она ответила. Не сумма, а разность.
У: Да что ты говоришь! Может, докажешь?
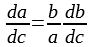
Г: (нехотя выходит к доске, пишет, см. рис. 1). Да легко. Берем бесконечно малые приращения катетов a, b и гипотенузы с, сохраняющие подобие с исходным прямоугольником и получаем такие дифференциальные соотношения:


Откуда

Применяя формулу разделения переменных, получаем диффур:
сdc = ada – bdb [3]
Интегрируем:

c2=a2—b2 [6]
В: (обалдело смотрит на доску). Это неверная формула! Сейчас я найду ошибку…
Г: Ищите. Я пока поиграю (уходит к своей парте).

Смена картинки. Звенит звонок, никто не обращает на него внимания. Все смотрят на В., покрывшего соседнюю доску мелкими формулами (рис. 2). В класс входит Т.
Т: Звонок давно, последний урок. Что не выходите?
В: (с взъерошенными волосами и безумными глазами). Не мешайте, мы здесь решаем мировую проблему математики! Неужели Пифагор ошибался?!
Т: (быстро просматривает «доказательство» Г.). В дифференциальном уравнении неправильно разделены переменные. Будет плюс, а не минус (исправляет минус на плюс в 3-й формуле). Давайте выметайтесь все. Мне убираться надо.
Практическое доказательство
Действующие лица: Глеб (Г), Саша (С).
Место действия: квартира.
Реквизит: линейка, мухобойка, ножницы.
Возраст: 11–14 лет.
Сложность постановки: легкая.
Использование: чтение, театр, съемка.
Лето, квартира, С. и Г. сидят за столом.
С: Меня прикрепили к тебе подтянуть геометрию и я это сделаю. Времени у нас много – все летние каникулы. Начнем с азов. Любые три точки всегда лежат в одной плоскости.
Г: Доказательство?
С: Нет. Это аксиома.
Г: (водит руками в воздухе). Что-то мне не верится (осматривается, берет мухобойку). Смотри, ведь плоскость? А мухи ведь как точки? Давай проверим твое утверждение (передает мухобойку С.)
С. бьет мухобойкой.
Г: (осматривает мухобойку). Две мухи. Не подтверждено.
С. бьет мухобойкой.
Г: (осматривает мухобойку). Вообще одна.
С. бьет мухобойкой.
Г: (осматривает мухобойку). Три. Но это может быть случайность. Нужно набрать статистику.
Смена картинки. Утомленный С. полулежит на диване.
С: Ох, утомился я с этой проверкой!
Г: (подходит к С. с ножницами и линейкой). Теперь осталось доказать, что пифагоровы штаны во все стороны равны. Ты не Пифагор, но штаны снимай – отрежем как надо и измерять будем!
С. обалдело смотрит на Г.
Логика невозможного
Действующие лица: Глеб (Г), учитель (У).
Место действия: школьный урок.
Реквизит:
Возраст: 9–14 лет.
Сложность постановки: легкая.
Использование: чтение, театр.
На доске надпись: «Основы математической логики». Г. шепчется с соседом по парте.
У: Глеб, ты хочешь отвечать?
Г: Нет, вы же сказали, что хотите неожиданно меня вызовите в этой четверти. А это невозможно.
У: Почему?
Г: Давайте рассуждать логически. До каникул осталась ровно неделя, поэтому в субботу вы меня вызвать не можете. Иначе в пятницу я буду знать, что меня вызовут в субботу, а значит, неожиданность будет нарушена. Так?
У: Согласна.
Г: Итак, в субботу меня не вызовут. Но меня не вызовут и в пятницу, потому что тогда в четверг я буду знать, что меня вызовут в пятницу и опять неожиданность нарушится. И так далее для четверга, среды и вторника. А сегодня понедельник.
У: Все верно, Иванов. А теперь иди к доске отвечать.
Г: Это так неожиданно! Я не подготовился.
У: Двойка тебе за логику!
Три тетрадки
Действующие лица: Глеб (Г), учитель (У).
Место действия: школьный урок.
Реквизит: три тетрадки.
Возраст: 12–14 лет.
Сложность постановки: легкая.
Использование: чтение, съемка.
Урок математики.
У: Сдаем домашнее задание (ученики передают тетради, она считает). Глеб, а где твоя тетрадь?
Г: (встает, подходит к столу У., кладет тетрадь). Вот. Только я не сделал домашнее задание.
У: Тогда зачем сдаешь?
Г: Мне математика не нужна, я в цирковое училище поступаю.
У: У тебя есть способности?
Г: Да, я буду фокусником. Давайте я на ваших глазах перемешаю три тетради. Если вы хоть раз угадаете мою, то пусть будет двойка. А если нет, то ничего не поставите.
У: Глеб, ну ты точно фокусник. Ладно, попробуем, мне интересно.
Г. берет еще две тетради из стопки (одинаковые с обратной стороны, как и его тетрадь), кладет на стол.
Г: Запоминайте мою.
У. кивает. Г. переворачивает три тетради и быстро их перемешивает, как делают мошенники с тремя картами.
Г: Где моя?
У: (показывает пальцем). Эта.
Г: (переворачивает тетрадь). Фокус-покус! Не угадали. Вот моя! И гарантирую, сколько бы мы не повторяли этот фокус, вы не угадаете.
У: Ладно, забирай.
Г. переворачивает свою тетрадь и забирает. По дороге к своей парте открывает ее, там стоит крупная красная двойка. Он удивленно оборачивается на У.
У: (разводит руками). Фокус-покус!
О пользе геометрии для танкиста
Действующие лица: Тимофей (Т) – майор танковых войск лет 30-ти, учитель (У), Саша (С) – ученик.
Место действия: школьный кабинет математики.
Реквизит:
Возраст: 12–16 лет.
Сложность постановки: легкая.
Использование: чтение, театр, съемка.
Перемена. К У. подходит Т.
Т: Здравствуйте, Мария Васильевна!
У: Здравствуй, Тимофей! Спасибо, что пришел. Расскажи какую-нибудь историю из своего боевого опыта, в которой тебе пригодились школьные знания.
Т: Хорошо.
Т. и У. входят в класс.
У: Сегодня я к нам пришел в гости выпускник нашей школы, майор танковых войск Тимофей Иванов. Когда-то он был самым отъявленным хулиганом моего класса. Сколько он окон разбил, сколько парт поломал – не сосчитать. Он даже стену в спортзале умудрился проломать!
Т: (смущенно). Да, было дело. Любил я разрушать.
У: А теперь вы видите перед собой героя, образцового танкиста. Тимофей, расскажи интересную историю из своего боевого опыта.
Т: Однажды в одной горячей точке мы наступали в городе. Ночь, пожары, видимость почти на нуле. И тут из штаба просят определить расстояние до какой-то башни. А у меня, как назло, сломался дальномер. Но я же помню школьный курс геометрии! Навел орудие на эту башню, выстрелили фугасным снарядом. Там вспыхнуло так, что на километры стало видно. Я замерил угол (показывает руками) и отъехал в сторону ровно на сто метров. И оттуда еще раз выстрелил. Башня вообще на куски разлетелась. Я снова замерил угол (показывает). После чего, зная два угла и базис, по известной теореме треугольников замерил расстояние до башни, или что там от нее осталось.
У: Молодец, Тимофей! Видите, ребята, школьные знания геометрии могут пригодиться в очень серьезном деле.
Г: (тянет руку, У. разрешает). Товарищ майор, а вас потом за это наградили?
Т: (небрежно). Как же, наградили. Выговор влепили. Они, видите ли, хотели сохранить исторический объект. Короче, пацаны, ну ее эту геометрию. На физкультуру налегайте, учитесь четко выполнять команды старшего по званию!
Дети с восторгом в глазах смотрят на Т.
Литература
Моя любимая книга
Действующие лица: Учительница (У), Глеб (Г), Женя (Ж), Саша (С).
Место действия: школьный класс.
Реквизит: пачка тетрадей.
Возраст: 10–14 лет.
Сложность постановки: легкая
Использование: чтение, театр.
Урок литературы.
У: Разбираем прошлое сочинение «Моя любимая книга». Я думала, вы напишите о произведениях Чехова, Толстого, Гоголя. А что мы видим? (достает пачку тетрадей). Иванов написал, что его любимая книга «Дифференциальная топология». Глеб, ты ее читал?
Г: А зачем? Это моя любимая книга, потому что очень толстая. Мне ее мама всегда подкладывает, когда сажает за стол. Иначе я не достаю до тарелки.
У: А у Жени любимая книга «Уголовный Кодекс». Женя, ты о чем?
Ж: О законе. Мой папа говорит, что это самая важная книга в нашей стране: если ее не знать, можно надолго сесть. Но не за стол, как Глеб, а…
У: …я поняла. Но больше всего меня удивил Саша. Представляете, его любимая книга – комикс «Бэтмен против инопланетян». Там хоть текст есть?
С: Да.
У: Какой?
С: Ну… Бац! Хрясь! Шмяк!
У: Я поняла. И как такая писанина может быть любимой? В ней же нет глубины. Характеры не раскрыты. Одна драка.
С: Не одна драка, а много! Что с инопланетянами цацкаться? Сразу в морду бац! А потом ногой хрясь! И об асфальт шмяк! Чтоб не дергался. А у Гоголя шинель отобрали и он замерз. А был бы у него бэтменский плащ…
У: М-да… А знаешь ли ты, что Бэтмен – знаковый персонаж американской культуры? Он олицетворяет подсознательное желание простого обывателя бороться со злом. У него нет особых способностей, он один из нас. Но герой не боится в одиночку выйти на борьбу с преступностью. Его характер менялся. Сначала Бэтмен жаждал мести, потом стал борцом за справедливость, а в конце – темным рыцарем.
Все школьники слушают У., раскрыв рты.
У: Следующая тема сочинения: «Рахметов, Базаров, Печорин и другие супергерои в русской литературе». А тебе, Саша, особое задание: «Бэтмен, как отражение коллективного бессознательного Нового Света». Справишься?
У С. отвисает челюсть.
Странные сказки
Действующие лица: Учительница (У), Глеб (Г), Саша (С), Катя (К).
Место действия: школьный класс.
Реквизит: пачка тетрадей.
Возраст: 11–14 лет.
Примечание: тексты сказок взяты из моего сборника «50 современных сказок».
Сложность постановки: очень легкая, можно исполнить, как монолог.
Использование: чтение, театр.
У: Вчера я просила вас сочинить сказку. Я думала, это простое задание, но… (достает пачку тетрадей). Глеб написал сказку «У каждого свой скелет в шкафу». Послушаем (читает).
Один мальчик Петя очень боялся скелетов. А потом узнал, что скелет находится внутри него. Он начал плакать, и скелету так стало его жалко, что он ушел. Мальчик сначала был, как медуза, и жил в чемодане. Потом врачи сделали ему новые кости из титана. Он теперь в лифте не ездит – перевес. Просто с девятого этажа прыгает на асфальт и бежит в школу. Пользуясь случаем, передает привет своему скелету за поддержку, которую он ему оказывал все эти годы. Ведь сейчас все знакомые мальчика говорят, что он какой-то бесхребетный стал.





