
Полная версия:
Maurizio Dagradi Kriteri I Leibnizit
- + Увеличить шрифт
- - Уменьшить шрифт
Gjermani shkruajti numrin në ekuacion afër vizatimit të stilizuar të një sfere të veshur nga një guackë koncentrike.
Novak ishte tek dërrasa e zezë me Schultzin dhe filloi të zhvillonte ekuacionet me të dhënat e sapo shtuara.
Nga një banak Maoko u ngrit rrëzëllitëse dhe shkoi tek dërrasa me dispensën në një dorë dhe shënimet e saj në tjetrën. Me gisht tregoi një tabelë në dispensë.
Schultz shkruajti 190*10-6 në vend të x në një formulë dhe bëri llogaritë. Priti pastaj Novak-un, që arriti shpejt në fund të llogarive të saj dhe gjeti disa rezultate. Schultz i përdori menjëherë së bashku me të vetat, në një ekuacion të ri.
Punoi si në ethe për disa minuta, i vëzhguar nga kolegët.
Arriti në hapin përfundimtar dhe hezitoi.
Ekuacioni tashmë ishte pakësuar në pak faktorë, dhe ai ishte thuajse i frikësuar të bënte hapin e fundit dhe të njihte rezultatin.
Fshiu sytë e skuqur dhe me rrathë të zinj, morri frymë thellë dhe zgjidhi hapin.
Ndaloi të shikonte numrin e fundit që kishte shkruar në të djathë të barazimit, sikur nuk po e shihte në të vërtetë.
Nuk mund ta besonte.
Po ishte pikërisht kështu.
Novak pohonte, e ndjekur nga Kamaranda dhe Drew. Maoko dhe Kobayashi po i buzëqeshnin njëri-tjetrit, duke parë herë dërrasën herë kolegët. Marron u mbështet në një banak, i sfilitur.
Profesoreshë Bryce u afrua.
Biologia e kishte kuptuar vetëm në vija të trasha fjalimin e Drew-së, por i mjaftonte. E rëndësishme ishte që të funksiononte.
tha Schultz, dhe edhe të tjerët iu bashkuan duke pohuar të kënaqur.
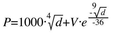
Marron qe i fundit që doli. Tek pragu i derës u kthye të shikonte dërrasën e zezë, mbi të cilën ekuacioni final për llogaritjen e fuqisë po shfaqej bukur. Ishte pabesueshmërisht e thjeshtë, krahasuar me punën e tmerrshme që kishte kushtuar, dhe në formën e tij të thjeshtuar paraqitej kështu 23:


ku:
P = fuqia në Watt
d = largësia e shkëmbimit, në metra
V = vëllimi i shkëmbyer, në metra kub
Bryce kishte ngrënë tashmë, natyrisht, ndaj qëndroi në laborator të korrigjonte disa punime të studentëve të saj që kishte me vete në çantë.
Gjithë të tjerët shkuan me hapa të shpejtë në mencën e Universitetit, të lodhur dhe të uritur.
Duke hyrë dhe duke parë sallën pothuajse të zbrazët Marron u kujtua që, duke mos shkuar për drekë në kohë, nuk kishte mundur të takonte Charlene-ën. Ndoshta do të ishte mërzitur, por shpresonte se duke i shpjeguar që kishte qenë i zënë me ‘eksperimentin e tij delikat’ do i kishte kaluar.
Menca ofronte akoma një zgjedhje diskrete dhe të gjithë vetëshërbyen bujarisht. U ndanë në disa tavolina për të shpërndarë tensionin e asaj zhytjeje totale, gju më gju, që kishin jetuar për shumë orë. Për më tepër hëngrën në qetësi, dhe të paktat fjalë të këmbyera ishin për klimën, argument klasik jo impenjativ dhe qetësues.
E morrën me qetësi dhe nga ora katër u kthyen me dembelizëm në laborator. Atë ditë kishin revolucionarizuar shkencën, nuk kishin pse të nxitoheshin më tepër.
Gjetën Bryce që po shkundte kokën e stresuar, ndërsa hiqte vija të kuqe në detyrën e një nxënësi.
U kthye nga grupi që po hynte dhe tundi në ajër fletën me shkrim dore.
Fizikanti buzëqeshi mospërfillës dhe u ul gjysmë i nderur në një karrige, duke kryqëzuar gishtat mbi bark dhe duke parë Bryce me një shprehje gjakftohtë paqeje të brendshme.
Nxorri një kuti të vogël transparente nga kutia. Brenda kishte një ndarje që mbante një përbërje të lëngshme.
<Është një ekzemplar i vetëm, i zhytur në një përbërje ushqyese. Nëse shkëmbimi nuk e dëmton do të vazhdojë të ushqehet siç bën zakonisht.>
Ia çoi kutinë Drew-së, që pa nga Kobayashi.
Japonezi tregoi makinerinë dy, prandaj Drew mbështeti mostrën mbi atë pllakë.
Liruan zonën e pikës B dhe vendosën poshtë një stol të mbuluar me një peshqir, për të pritur mostrën në mbërritje dhe të evitonin që të përplasej, duke rënë kështu në tokë.
Pa ndryshuar asnjë parametër, Maoko aktivizoi shkëmbimin.
Kutiza transparente u materializua atje ku pritej. Marron e morri dhe ia dha Bryce, që e vendosi menjëherë në mikroskop.
Shtrëngoi sytë tek okularët dhe mbeti disa sekonda në vëzhgim, pastaj u ngazëllye.
Fizikanti pa në mikroskop, rregulloi vendosjen në qendër dhe në fund pa dy paramecë të vegjël që zhyteshin të fortë në substancën ushqyese.
Ia la mikroskopin të tjerëve, të paduruar për të admiruar formën e parë të jetës së kafshëve transferuar me makinerinë.
Ishte një rezultat historik.
Të gjithë buzëqeshnin entuziastë dhe u komplimentuan.
Ajo ditë do kishte qenë një moment i rëndësishëm në historinë njerëzore.
<Ç’ ka tjetër, atje brenda?> pyeti Drew duke treguar kutinë.
Bryce nxorri një kutizë që mbante një krimb, një tjetër kutizë me një bretkosë të vogël dhe në fund një kafaz të vogël në brendësi të të cilit një brejtës i vogël bridhte andej këtej mbi një tapet të vogël kashte.
Shkëmbim.
Perfekt.
Krimbi arriti në destinacion i gëzuar si më parë, me ndihmën e madhe të eksperimentuesve.
Tashmë kishte besim total tek makineria dhe teoria që e drejtonte, prandaj kaluan shpejt tek bretkosa e vogël.
Ajo po rrinte e qetë në kutinë e saj me vrima, dhe pas arritjes lumturisht në pikën B kërceu pak për të ardhur në vete pas rënies mbi stol. Bryce i ofroi një mizë duke e kaluar nga një vrimë e kutisë, dhe bretkosa me një lëvizje të gjuhës e kapi shpejt dhe e gëlltiti.
Ai i tregoi drejtpërsëdrejti pllakën A, dhe Bryce me pamje pompoze e vendosi sipër personalisht kafazin.
Maoko shtypi tastin e aktivizimit.
Kafazi mbeti atje ndërsa brejtësi, i lirë, u shfaq në pikën B dhe ra mbi peshqir, u hodh poshtë nga stoli dhe kërceu shpejt drejt këndit të kundërt të laboratorit.
Gjithë të pranishmit u kthyen të habitur drejt saj.
Pas disa çastesh Drew reagoi.
Brejtësi u fsheh poshtë një dollapi duke iu ikur nga shikimi, ndaj vajza pushoi së gërthituri.
<Ç’farë?> tha Drew duke shtrënguar sytë kërcënueshëm.
Vajza pa me dyshim drejt vendit të fshehtë të brejtësit dhe u avit shpejt drejt derës.
Marron s’ishte në vete. Kishte vënë një dorë mbi ball dhe vazhdonte të shkundte kokën. Po djersinte bollshëm dhe nuk dinte nëse të mbante anën e Charlene-ës apo të Drew-së. Ishte një rrëmujë, dhe ndjente që përgjegjësia ishte e tij.
Drew e injoroi.
<Ç’bëni ju këtu?> e morri në pyetje Charlene-ën me ashpërsi.
Marron i ngriti të tijtë në qiell dhe hapi krahët, i mundur.
<Ç’farë mund të të thoja?> provoi t’i shpjegonte.
<Ç’farë keni parë, zonjushë?> e ndërpreu thatë Drew, duke iu kthyer Charlene-ës.
Të gjithë në laborator kishin bërë një rreth përreth saj dhe e shikonin me armiqësi, përveç Marronit që rrinte i veçuar, zemërthyer.
Charlene i shtrëngoi dorën profesorit, që ia ktheu me një shtrëngim të fortë dhe të sinqertë.
Maoko e pa Charlene-ën me shikim kritik, pastaj ia ktheu me një shtrëngim dore shumë të ngrohtë.
Charlene buzëqeshi, dhe në të njëjtin moment Bryce e kapi nga brryli dhe e çoi mbrapa, drejt vendit të fshehtë të brejtësit.
Charlene u zverdh.
<Është një brejtës, jo një mi!> e korrigjoi e thartuar Bryce,
Brejtësi ishte shumë mirë, duke gjykuar nga paramendimi i sjelljes së tij.
Charlene bëri disa hapa prapa e tronditur nga kafsha, pavarësisht të gjithave.
Bryce e futi kavien në kutinë e mostrave, që tashmë ishte pajisur me vrima për të marrë frymë ekzemplarët e transportuar.
<Është e thjeshtë, profesoreshë.> u përgjigj Kobayashi.
Bryce psherëtiu.
Marron, ndërkaq, i ishte afruar Charlene-ës. E tërhoqi veçmas dhe e pyeti me zë të ulët.
Grupi u shpërbë dhe secili iu drejtua banesës së tij.
Një ditë tjetër historike arriti në fundin e saj.
Kapitulli XV
Midori pa jashtë nga dritarja dhe fiksoi një pikë të largët, për të e padukshme.
Atje, ishte kopshti i qershive, në atë park ku kishte takuar të dashurin e saj Noboru.
Ishte perëndim, dhe vajza po i shkruante të dashurit.
“Sot jam vërtet e lodhur.
Mësimi i Historisë së Japonisë së Mesme Lindore është vërtet i padurueshëm. Ç’më intereson nga ajo epokë?Tani është koha që unë po jetoj. Tani nuk mund të të takoj, dhe zemra më dhemb, aq shumë më mungon.
Për dy javë kam provimin e Historisë dhe nuk arrij të ngulis në kokë nocionet. Do shkojë keq, e ndjej. Dhe prindërit e mi do pyesin përse, pas një karriere të mirë universitare, rendimenti im të bjerë kaq dukshëm.
Jo, nuk është e drejtë, as për ata, që sidoqoftë më duan shumë dhe shpresojnë që unë të ndërtoj një pozitë të mirë sociale, as për mua, pasi nëse nuk mbaroj studimet do mund të kryej vetëm punë poshtëruese, të pasigurta dhe të paguara keq. Përse gruaja në Japoni duhet të jetë kaq e getoizuar? Është një shoqëri lëvizëse, e dominuar nga ata meshkuj autoritarë që vendosin gjithçka dhe lënë gruan të shikojë atë tavan transparent përtej të cilit ata qeverisin jetët tona.
Po unë nuk dua të qëndroj në hije.
Do studioj, po, do studioj si asnjëherë, edhe Histori, po, kështu do të arrij tek diplomimi dhe do të bëhem mësuese, do të fitoj mirë dhe do të martohemi, ti do të zbresësh nga ajo varkë dhe nuk do jesh më i varfër. E do të studiosh letërsi, si mua, dhe do të bëhesh poet: ke talent, Noboru, dhe duhet ta plotësosh me studime.”
Midori ngriti penën nga fleta dhe vendosi duart mbi sytë, për të tharrë lotët që i vijëzonin fytyrën duke i rrjedhur vrullshëm. Vuante jashtëzakonisht. Por ishte edhe e fortë dhe racionale. Dinte të luftonte.
Maoko morri shaminë dhe fshiu sytë. Fatkeqësia e Midorit e kishte mallëngjyer. Ajo dashuri torturonjëse derdhej nga faqet e romanit dhe e prekte në zemër, duke e bërë për të qarë gjithmonë.
Me një psherëtimë, por pikërisht në atë moment dëgjoi të trokisnin në derë.
Një trokitje e butë, pothuajse e ndrojtur, do kishte thënë.
Në mëdyshje pa orën në dritën e abat-jour-it: ishte dhjetë e darkës; kush mund të ishte, në atë orë?
U ngrit nga shtrati, uli librin dhe iu drejtua derës. Nuk kishte sy magjik, ndaj u afrua me kujdes.
Maoko ngriti sytë nga qielli, duke psherëtirë, ndezi dritën kryesore, hapi derën dhe la të hynte norvegjezen; mbylli pastaj derën me çelës, duke parashikuar vijimin.
Kishte të drejtë.
Jasmine Novak kishte veshur një pallto kafe të hapur me detaje skoceze, të shtrenjtë. Këpucë kafe me takë të ulët dhe flokët të kapura bisht. Nuk kishte çantë.
Ishte ndalur sapo hyri brenda. Priti që Maoko t’i vinte përpara, pastaj me një gjest të matur shkopsiti pallton duke filluar nga lart, një kopsë pas tjetrës, me ritëm të rregullt. Kur arriti në fund, me duar kapi dy fletët në lartësinë e gjoksit dhe dalngadalë i hapi, në mënyrë perfektshërisht simetrike.
Poshtë ishte plotësisht lakuriq.
Maoko e dinte që skandinavet ishin të hapura, por nuk e priste një sjellje të tillë.
Novak ndau dy fletët e palltos derisa veshja filloi t’i binte poshtë nga shpatullat. E la t’i rrëshqiste butësisht mbi krahë, prapa vetes, dhe kur ishte duke i rënë përtokë e mbajti me duar, e palosi përgjysëm dhe e vendosi me rregull mbi mbështetësen e një divani të vogël aty afër.
Fiksoi pastaj sytë e saj tek ata të japonezes dhe shtriu krahët përpara vetes, duke kryqëzuar kyçet me njëra-tjetrën.
Maoko ia ktheu shikimin, thatë, pastaj vëzhgoi ato kyçe: mbetej vetëm një skuqje e lehtë atje ku ishin shtrënguar nga litarët mbrëmjen e kaluar. Kjo ishte për të një kënaqësi e madhe, pasi konfirmonte mjeshtërinë e saj në Shibari, artin japonez të litarit. I kushtohej paralelisht me studimin universitar, duke patur parasysh përmbajtjen e madhe estetike që ai art antik paraqiste, dhe donte të bëhej Nawashi, mjeshtër.





