Виктор Михайлович Корякин Гражданское и торговое право зарубежных стран в схемах и таблицах. Учебное пособие

Полная версия:
Виктор Михайлович Корякин Гражданское и торговое право зарубежных стран в схемах и таблицах. Учебное пособие
- + Увеличить шрифт
- - Уменьшить шрифт

В. М. Корякин
ГРАЖДАНСКОЕ И ТОРГОВОЕ ПРАВО ЗАРУБЕЖНЫХ СТРАН В СХЕМАХ И ТАБЛИЦАХ
Учебное пособие

СОДЕРЖАНИЕ

1. ПРЕДМЕТ И СИСТЕМА ГРАЖДАНСКОГО И ТОРГОВОГО ПРАВА ЗАРУБЕЖНЫХ СТРАН

6

7

8

9

10

11

12

2. ИСТОЧНИКИ ГРАЖДАНСКОГО И ТОРГОВОГО ПРАВА ЗАРУБЕЖНЫХ СТРАН

14

15

16

17

18

19

20

21

22

23

24

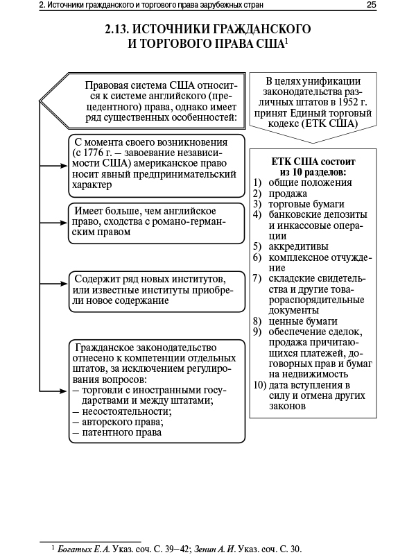
25

3. ГРАЖДАНЕ КАК СУБЪЕКТЫ ГРАЖДАНСКОГО И ТОРГОВОГО ПРАВА ЗАРУБЕЖНЫХ СТРАН
Конец ознакомительного фрагмента.
Текст предоставлен ООО «Литрес».
Прочитайте эту книгу целиком, купив полную легальную версию на Литрес.
Безопасно оплатить книгу можно банковской картой Visa, MasterCard, Maestro, со счета мобильного телефона, с платежного терминала, в салоне МТС или Связной, через PayPal, WebMoney, Яндекс.Деньги, QIWI Кошелек, бонусными картами или другим удобным Вам способом.





