
Полная версия:
Valijon Azamov All sciences. №9, 2023. International Scientific Journal
- + Увеличить шрифт
- - Уменьшить шрифт
It should be noted that during corona discharge, the activation energies of the deep level (0.7 eV) change significantly depending on the potential of the corona discharge (see Figure 2 in the box). This change is due to the influence of the optical ionization energy of the deep level located in the region of the volume charge near the SiO2 layer (this is indicated by experimental results). If we assume that this change occurs due to the Pool – Frenkel effect [5], then the mixing (delta-E) level can be estimated using the formula

where, is the dielectric constant of CdTe, is the charge of the electron. Then, according to our estimates, the electric field strength in the vicinity of the defect is 105 V/s, which is quite reliable.
The situation arising in a CdTe film under the action of an embedded field corresponds to the model developed for a polysilicon field effect transistor [6]. The model considered in this paper is similar to the model [6], if identified with the control electrode of a field-effect transistor. Therefore, the numerical calculations of the potential distribution in a polycrystalline semiconductor are quite applicable for the embedded charge of a CdTe film. From the calculation results, the effect of an external field on the polycrystalline structure follows that a weak field only deforms the distribution of carriers, while a strong field leads to a decrease in the value of intercrystalline barriers due to the unification of the volume of the crystallite. These results show that the built – in field can lead to a decrease in the height of the barrier in the film (at U <10 V), and even to its disappearance (at U> 60 V) (on one of its surfaces), and then the remaining potential barrier becomes predominant, in the other – its opposite near-surface region.
Conclusion
Summing up the analysis of the results, it is shown that the spectral photosensitivity of the CdTe layer by short – circuit current and photo EMF can be controlled by the induced built – in electric charge of the dielectric created by the external corona discharge potential in the CdTe (film) – SiO2 (dielectric) – Si (semiconductor) heterostructure.
This opens up new possibilities for the creation of semiconductor devices sensitive to electromagnetic radiation, used in optoelectronics as a photosensitive device with a spectral characteristic in a wide sensitivity range. This effect is also associated with fundamentally new capabilities of semiconductor devices with variable spectral characteristics and matching it with an emitter, which is important for robots (the visual organ of a robot, where color vision is needed), for devices and information recording systems.
Literature
1. Maslov V. V. MNOP matrix for permanent storage devices with electrical rewriting. Electronic equipment series 3.-1974.No.21501 p.
2. Ginover A. S., Rzhanov A.V. Storage devices based on multiple structures. Microelectronics -1973. Vol. 2. No.5.-379s.
3. Ivanov R. N. Reprography. Methods and means of copying and reproducing documents. – M.: Sov. Radio. 1977. – 384 p.
4. In Gaidyalis I., Markevich N. N., Montrimas E. A. In the physical processes of electrophotographic layers of ZNO. Vilnius, 1968. – 367 p.
5. Juodvirshis A., Mikalkevicius M., Vyangris S., Fundamentals of semiconductor physics. Vilnius. Moxlas, 1985. – 352 p.
6. Guerrieri R., Giampolini P., Gnidi A., IEEE transactions on electronic devices. 1986., V. ED -33. No.-8., pp.1201—1206.
7. Vaitkus, Yu. Yu. The influence of excess tellurium and lead on the deformation characteristics of polycrystalline films. Yu. Yu. Vaitkus, S. M. Otazhonov, M. M. Khalilov, N. Yunusov. Scientific bulletin. Volume of physical and mathematical research. 3 Iss. 1. June 2021. Andijon. Uzbekistan.
8. Otazhonov, S. M. The effect of deformation on the migration of defects in photosensitive thin films of cadmium silver telluride: Ag and PP. / S. M. Otazhonov, K. A. Botirov, M. M. Khalilov. // ISSN number 2308—4804. Science and Peace. – 2021. – №6 (94).
9. Akhmedov T. Effective dielectric constant and electrical conductivity of polycrystalline PbTe films with impaired stoichiometry. T. Akhmedov, S.M. Otazhonov, M.M. Khalilov, N. Yunusov, U. Mamadzhanov, N.M. Juraev. Physical Journal: A series of conferences. 2131 (2021) 052008. doi:10.1088/1742—6596/2131/5/052008
10.Akhmedov, T. Optical properties of polycrystalline lead telluride films with distributed stoichiometry. T. Akhmedov, S. M. Otajonov, Ya. Usmonov, M.M. Khalilov, N. Yunusov and A.K. Amonov. Physical Journal: A series of conferences. 1889 (2021) 022052. doi:10.1088/1742—6596/1889/2/022052
11. Dashevsky, Z. Thermoelectric efficiency in graduated PbTe crystals doped with indium / Z. Dashevsky, S. Shuzterman, M.P. Dariel, I. Drabkin // Journal of Applied Physics. – 2002. – vol. 92, No. 3. – pp. 1425—1430.
12. Dzundza, B. Transport and thermoelectric characteristics of PbTe n-type films / B. Dzundza, L. Nikiruy, T. Paraschuk, E. Ivakin, Yu. Yavorsky, L. Chernyak, Z. Dashevsky. Condensed Matter Physics In April 2020. DOI:10.1016/j.physb.2020.412178
13. Otazhonov, S.M. The effect of internal stress on the deformation characteristics of polycrystalline PbTe films with an excess of tellurium and lead /S.M. Otazhonov. Otajonov S.M., Akhmedov T., Usmonov Ya., Botirov K.A., Khalilov M.M., Yunusov N. ISSN 2308—4804. Science and the World. 2021. No.3 (91). Volgograd, 2021.
14. Otazhonov, S.M. Influence of group VII elements on the deformation sensitivity of polycrystalline films PbTe, PbS Otazhonov S.M., Rakhmonulov M.Kh., Khalilov M.M., Botirov K.A., Yunusov N. Scientific journal European Science Review No.1—2 2021 (January – February), doi.org/10.29013/ESR-21-1.2-35-38.
MECHANICAL INTERPRETATION OF THE PHENOMENON OF INTERFERENCE PATTERN FORMATION IN JUNG’S EXPERIMENT FOR THE THEORY OF WAVE-PARTICLE DUALISM
UDC 577.332
Aliev Ibratjon Khatamovich
3rd year student of the Faculty of Mathematics and Computer Science of Ferghana State University
Ferghana State University, Ferghana, Uzbekistan
Annotation. The theory of wave-particle dualism is well-known today, along with many other theories aimed at explaining various types of phenomena. However, it is worth noting that until recently, the method of explaining the phenomena of wave-particle dualism in a more visual form, which appeared from Jung’s experiment, was questioned. The present study is aimed at presenting this model.
Keywords: particle-wave dualism, wave, particle-corpuscle, wave function, probability distribution, potential well, two-slit experiment.
Аннотация. Теория корпускулярно-волнового дуализма сегодня является общеизвестной, наряду с многими другими теориями, направленные на объяснение различных типов явлений. Однако, стоит отметить, что до последнего времени ставилось под вопрос метод объяснения в более наглядной форме явлений корпускулярно-волнового дуализма, появившаяся из эксперимента Юнга. На представление этой модели и направлено настоящее исследование.
Ключевые слова: корпускулярно-волновой дуализм, волна, частица-корпускула, волновая функция, вероятностное распределение, потенциальная яма, эксперимент с двумя щелями.
The so-called two-slit experiment is widely known, in which a stream of corpuscle particles was directed, as originally assumed, towards a plate with two thin slits, and a screen was located behind it. It was logical that after directing the flow of particles, initially photons from coherent laser radiation, two bands should have been observed on the screen, but instead the so-called interference pattern was observed on the screen. It consisted of a large number of bands with different sizes and brightness, while the maximum was determined in the middle.
Such a picture could only be obtained if the particle behaved like a wave, then it could form with itself and at the moments of opposite peaks extinguish each other, forming dark areas and in reverse positive moments, on the contrary, reinforcing each other, creating the above – described bands.
However, the corpuscular properties of particles are also highlighted, for example, in experiments with the photoelectric effect, it is the corpuscular nature of particles that acts. Based on the above, we had to conclude that particles are both waves and corpuscles, but how could this happen when it contradicted itself? In the quantum world, this was a reality, but for the macrocosm it still remained a mystery until the so-called dense “walking droplets” were used as an explanation.
This effect is formed when a medium-density liquid, for example oil, begins to vibrate and during the interaction of the liquid surface with a pointed object, it begins to divide into droplets, which immediately have to connect with the liquid, but this does not happen due to vibrations and they literally jump on the surface. Each of these drops is held under the influence of vibration, but moreover, such drops have the property of moving, because under the influence of vibrations they create standing waves that propagate across the surface, however, during the interaction of the drop with it, it begins to change its direction, which is why the effect of the movement of the drop is formed.
The present explanation can be applied to Jung’s experiment by directing the droplets towards two slits. It is worth clarifying before this that the drop itself expresses in this case a corpuscle-particle, when vibrations are the probabilistic nature of the existence of quantum objects – the particles under study in the person of photons, electrons, ions and others. When a particle begins to move towards the slit, its wave, which begins to oscillate at the level of spacetime, due to the vibrational nature of the particle – the variable probability of its being at a specific point, since its movement is discrete, according to the tunneling effect, begins to interact with the particle itself.
So, when it approaches the gap, it passes through one of the slits, when its wave passes through both, as a result of which, after passing through the barrier, the particle begins to interact with the formed wave, changing its trajectory. Thus, one can clearly see how the interference pattern is formed using the example of explaining Young’s experiment with two slits by means of jumping droplets.
In addition, during the explanation of the experiment, the concept of tunneling was demonstrated, which can also be represented by jumping droplets. The fact is that any space, according to the quantum vacuum model, has an infinite number of particles that are immediately born, annihilate with each other, disappear, etc., that is, according to the quantum vacuum model, there is practically no particle – free space, from which it can be concluded that in order for a particle to be able to overcome no matter how small the distance, it needs energy through which it could overcome this distance, but it also happens that a particle overcomes the same distance without practically losing energy, which is called tunneling.
In this case, there is a barrier in front of the particle that is moving, which it must overcome by making a certain leap through it, but without expending energy to overcome it. Surprisingly, this effect can also be represented in the form of a drip model, according to which, if a certain wall is placed in front of a drop, then each time it will try to jump over it, but it will not work, however, at a certain moment, interaction with its own standing wave may be sufficient to obtain additional energy and to overcome the barrier. In such a phenomenon, the probability is surprisingly determined in the macrocosm in the same way as it is determined in the quantum measurement and description of the phenomenon of quantum tunneling of particles.
Moreover, the generality of the described phenomena for a wide variety of particles, from elementary particles to ions, is important, which in a sense makes the droplet model of demonstration almost universal. However, a large number of phenomena still remain unexplained, which means that not a few works should be done on the basis of available data and the drip model, as one of the most progressive analogies, will have to overcome quite a few tests on the way to achieving the goals set.
The literature used
1. Boyarkin, O. M. Particle Physics – 2013: Quantum electrodynamics and the Standard Model / O. M. Boyarkin, G. G. Boyarkina. – M.: CD Librocom, 2015. – 440 p.
2. Boyarkin, O. M. Particle Physics – 2013: from electron to Higgs boson. Quantum theory of free fields / O. M. Boyarkin, G. G. Boyarkina. – M.: Lenand, 2018. – 296 p.
3. Boyarkin, O. M. Particle physics – 2013: Quantum electrodynamics and the Standard model / O. M. Boyarkin, G. G. Boyarkina. – M.: CD Librocom, 2016. – 440 p..
4. Voronov, V. K. Physics at the turn of the millennium: Physics of self-organizing and ordered systems. New objects of atomic and nuclear physics. Quantum information / V. K. Voronov, A.V. Podoplelov. – M.: KomKniga, 2014. – 512 p.
5. Gribbin, J. In search of Schrodinger’s cat. Quantum physics and reality / J. Gribbin. – M.: Ripoll-classic, 2019. – 352 p.
6. Zhuravlev, A. I. Quantum biophysics of animals and humans: A textbook / A. I. Zhuravlev. – M.: Binom. Laboratory of Knowledge, 2011. – 398 p.
7. Irodov, I. E. Quantum physics. Basic laws: A textbook / I. E. Irodov. – M.: Binom, 2014. – 256 p.
8. Irodov, I. E. Quantum Physics. Basic laws: A textbook / I. E. Irodov. – M.: Binom. Laboratory of Knowledge, 2010. 256 p.
9. Irodov, I. E. Quantum Physics. Basic laws: A textbook / I. E. Irodov. – M.: Binom. Laboratory of Knowledge, 2004. – 272 p.
10. Irodov, I. E. Quantum physics. Basic laws / I. E. Irodov. – M.: Binom. Laboratory of Knowledge, 2010. – 256 p.
11. Irodov, I. E. Quantum physics. Basic laws: A textbook for universities / I. E. Irodov. – M.: Binom. LZ, 2013. – 256 p.
12. Kamalov, T. F. Physics of non – inertial reference systems and quantum mechanics / T. F. Kamalov. – M.: KD Librocom, 2017. – 116 p.
13. Karmanov, M. V. Course of general physics. Vol. 3. Quantum optics. Atomic physics. Solid state physics In 4 tt T: 3 / M. V. Karmanov. – M.: KnoRus, 2012. – 384 p.
14. Kvasnikov, I. A. Thermodynamics and statistical physics. Vol. 4. Quantum statistics: Textbook / I. A. Kvasnikov. – M.: KomKniga, 2010. – 352 p.
15. Kvasnikov, I. A. Thermodynamics and statistical physics: Vol. 4: Quantum statistics / I. A. Kvasnikov. – M.: Lenand, 2017. – 352 p.
16. Kvasnikov, I. A. Thermodynamics and statistical physics. Vol. 4: Quantum statistics / I. A. Kvasnikov. – M.: KomKniga, 2014. – 352 p.
TECHNICAL SCIENCES
DETERMINATION OF THE SURFACE RECOMBINATION RATE IN POLYCRYSTALLINE FILMS FROM THE CDTE-SIO2—SI-AL COMPOUND BY THE MW-PC METHOD
UDC 544.22
Alimov Nodir Esonalievich
Doctor of Philosophy in Physical and Mathematical Sciences, Lecturer at the Department of Physics, Faculty of Physics and Technology, Ferghana State University
Ferghana State University, Ferghana, Uzbekistan
E-mail: alimov.nodir.esonaliyevich@gmail.com
Annotation. In this article, the rates of surface recombination in polycrystalline CdTe films obtained on oxidized substrates are studied, and the results of the action of corona discharge into the CdTe-SiO2—Si-Al structure are presented. In the static mode, a shift of the short-circuit current spectra to the short-wave region was observed. To analyze the displacement of the short-circuit current spectra, the microwave probe photoconductivity (MW-PC) method was used and contactless registration of transient decay processes for redundant carriers was performed. From the data obtained, it was found that the rate of surface recombination was estimated at 19 ns. It was determined that filling of surface traps in CdTe leads to a decrease in the effect of surface recombination.
Keywords: semicrystalline structures, surface recombination rate, polycrystalline films, spectrum shift.
Аннотация. В данной статье изучено скорости поверхностной рекомбинации в поликристаллических пленках CdTe полученных на окисленных подложках, Приведены результаты действия коронного разряда в структуру CdTe-SiO2—Si-Al. в статическом режиме наблюдался смещение спектров тока короткого замыкания в коротко волновую область. Для анализа смещения спектров тока короткого замыкания использован метод микроволновой зондовой фотопроводимости (MW-PC) и проведена бесконтактная регистрация переходных процессов распада для избыточных носителей. Из полученных данных установлено что скорость поверхностной рекомбинации была оценена 19 нс. Определено, что заполнение поверхностных ловушек в CdTe приводит к уменьшению воздействия поверхностной рекомбинации.
Ключевые слова: полукристаллические структуры, скорость поверхностной рекомбинации, поликристаллические плёнки, смещение спектров.
CdTe semiconductor films are an important material for the creation of photodetector devices based on its heterostructures operating in the near (up to 3 microns) and far (8—14 microns) The IR range. This paper presents studies of the heterostructure obtained from growing CdTe on the surface of SiO2 – Si. This CdTe – SiO2 – Si heterostructure is interesting because using the built-in charge in the SiO2 layer, it is possible to control the PHOTOEMF and the short-circuit current spectrum.
Polycrystalline CdTe films with a grain size of 0.05—0.1 microns were grown on a heated SiO2-Si surface in a vacuum of 105 mmHg. The photosensitivity of the resulting structure is controlled by the action of an electric field or corona discharge, which change the built-in field in the SiO2 layer. To enhance the effect, an Al layer is applied to the Si surface, and we get a “reverse” CdTe – SiO2—Si – Al type field effect transistor, where a control charge is located under the semiconductor layer, and its surface remains open.
When the voltage between the Al layer and the electrode exceeds 6 kV, a corona discharge occurs, while the embedded field inside the structure reaches 100V. At the same time, at the boundary of the CdTe and SiO2 layers, charge carriers (electrons and holes) are tunneled from the semiconductor layer into the deep levels of the dielectric. Charge carriers in the film and at the interface, depending on the magnitude of the built-in charge, change the potential relief, therefore, when this layer is photoexcited, they will be generated under the influence of the built-in charge. This changes the distribution of current carriers generated on the surface in such a way that it draws them into an area that is accessible only to weakly absorbed electromagnetic radiation. Therefore, photoedics also occurs with long-wave excitation. Due to the asymmetry of the barriers, weak absorbed radiation also generates photoedcs of the reverse sign. Then, under the influence of the volume charge, the inversion of the photoedc sign will mix the short-wave region, and the photosensitivity increases in the region of the electromagnetic radiation spectrum we are studying.
As stated above, when studying the effect of a corona discharge on the CdTe-SiO2—Si-Al structure, it showed that the short-circuit current spectra, depending on the magnitude of the external corona discharge in static mode, their displacement into the short-wave region was observed (Fig.1).
Figure 1 shows the spectral dependences of the short-circuit current (Icz) of the CdTe layer for various values of corona discharge intensity, which were carried out by contact (2) and electric probe contact (3) to the surface of the CdTe semiconductor. It can be seen that in the absence of external influences in the Icz (v) spectra, an inversion of the Icz sign is observed in the vicinity of the light quantum energy value equal to hv= 1.21eV (curve 1) the inclusion of the surface corona discharge potential between the CdTe layer and silicon leads to a significant change in the spectral sensitivity of the short-circuit current (Icz). When the surface potential changes within its value from 0 to 100V, the inversion position of the short-circuit current sign will mix into the short-wave region of the spectrum. In this case, the maximum photo sensitivity of the Icz will be mixed into the short-wavelength region of the spectrum and in the range from 0.93 eV to 1.5 eV. The position of the maximum value of the Icz increases by more than 1000 times at = 70V (curve 3) [63; – p.22—25]. For a qualitative description of the physical nature of the transfer phenomenon occurring in the CdTe-SiO2-Si-Al structure (semiconductor – oxide – semiconductor, i.e. When a voltage is applied to it, consider a model in which a stationary current is a flow of electrons tunneling from the conduction band of a semiconductor into a deep level located in an oxide (including into a trap at the interface). Since the thickness of the silicon oxide in the structure under consideration is 0.4 microns, we estimate that the first contribution and the total flux are insignificant (less than 25%).
It should be noted that during corona discharge, the activation energy of the deep level (0.7eV) changes significantly depending on the potential of the corona discharge. This change is due to the influence of the optical ionization energy of the deep level located in the region of the volume charge near the SiO2 layer (this is indicated by experimental results). If we consider that this change occurs due to the Poole – Frenkel effect [64; p.52], then the mixing of the level can be estimated by the formula

where, is the dielectric constant of CdTe, e is the electron charge. Then, according to our estimates, the electric field strength in the vicinity of the defect reaches 103 V/cm.
To verify and analyze the above, the CdTe layer was separated from the SiO2 surface and installed on the sapphire surface. After that, contactless registration of transient decay processes for excess carriers was carried out using the microwave probe photoconductivity (WPC) method [2]. The parameters of deep traps and the state of their filling are determined by the photoionization of the captured media. Photoionization took place under the action of laser pulses varying in spectrum.
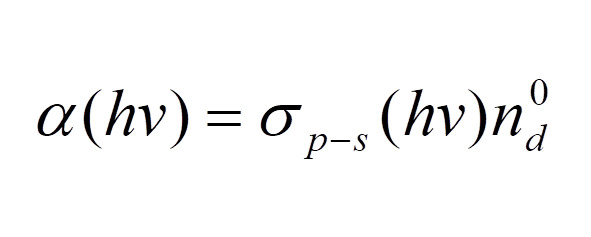
The cross section in the Lukovsky model is expressed in the following form

where B is the multiplicative coefficient [3]. For photons with energy hv, the change in a (hv) absorption coefficient at

it will also be proportional to the density of the captured media. The density of photo-emission carriers

at a fixed surface density F (hv), the incident photons are controlled by the MW probe. At the same time, the density of Nd traps can be independently estimated from the spectra of the absorption coefficient a (hv). The n/N fill factor can be controlled by combined measurements of the peak value of the MW-PC or a (hv) signal depending on F|hv, and saturation of these characteristics indicates complete photoionization of Nd traps.
Depending on the excitation wavelength, transient processes of contact photoconductivity were additionally measured. These measurements were carried out by exciting the interelectrode gap of the photoresistor and registering the photocurrent on a 50 ohm load resistor. The photocurrent and MW response signals were recorded using a Tektronix 1 GHz TDS-5104 oscilloscope.
Figure 2.a shows the recorded MW-PC transients at a relatively low (I1/I2=0.2) Excitation densities for the separated CdTe layer. From Fig. 2.a, it can be concluded that with an increase in the excitation wavelength, the shape of the MW-PC transient process changes from two components to one exponential. For a very thin sample with bare surfaces, this means the manifestation of surface recombination [2].

