
Полная версия:
Tulan Dadajonov All sciences. №8, 2023. International Scientific Journal
- + Увеличить шрифт
- - Уменьшить шрифт
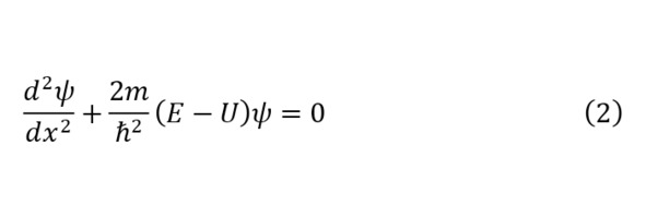
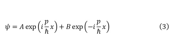
For a better understanding of the present effect, we point out that let the definition of the kinetic energy of a particle be set initially according to (1), from which it can be seen that if the conditions of the quantum tunneling effect are met, it turns out that the momentum of such a particle satisfying the conditions set should become an imaginary quantity and it would seem that this could not be in reality, but together with this, the solution of the famous Schrodinger equation (2), where the potential energy of the particle is a constant, has a solution (3), from which the value for the momentum is derived as (4).




And although in this case the momentum becomes imaginary when the value of the potential barrier begins to exceed the total energy of the particle, as it was indicated. To understand the nature and causes of this phenomenon, you can resort to presenting a separate model with three potential barriers, for each of which your wave equations will be defined, after which the final expression will be derived, or you can use a more visual Heisenberg uncertainty relation. As can be seen from the first relation for inaccuracies of coordinates and momentum, with a more accurate determination of the coordinates of a particle, the accuracy of its momentum decreases, due to which we can talk about finding the magnitude of the momentum of particles in any suitable set of quantities at this time, which allows the particle to have a complex momentum value, which causes the tunnel effect. However, in this case, there will be a determination of the magnitude determining the probability of a particle passing through this barrier.
So the present transmission coefficient is determined according to the initial model, according to which let there be three potential barriers, the first and third of which have zero height, and the second is high enough to exceed the value of the total energy of the particle. In this case, during the approach of a particle to a potential barrier, the definition of its coordinate increases, due to which, according to the uncertainty ratio, the value of its momentum decreases, after which a certain number of its components can pass through the barrier, and a certain one can be reflected. It is the ratio of these two components that gives a certain definition of the probability current, where the probability current of the wave incident on the barrier acts as the numerator, and the probability current of the part of the wave passing through the barrier acts as the denominator. Also, the inverse value of this value is the reflection current, from where it is appropriate to determine their sum equal to one.
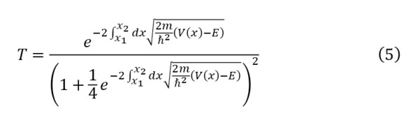
In addition, the value of these quantities, according to the laws of quantum mechanics, can be determined through a quasi-classical approximation, where the relations are determined according to (5).

In this case, we can say that if there is a particle with a certain energy value less than the value of the potential barrier, it also becomes possible to determine the probability with which this particle can pass through this potential barrier. So, for an electron with varying kinetic energy, to pass a potential barrier of 1 GeV, when its energy increases to this value, the probability function changes according to Graph 1.
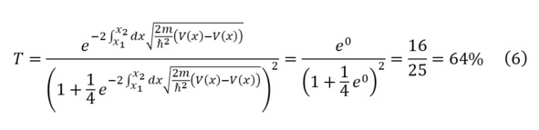
In this case, it will be possible to visually observe how the probability of passage begins to change and already when the value becomes equal to the value of the potential barrier, even then it is no longer possible to talk about complete passage (6).

And although, on the one hand, the analysis of the present effect may be, in the original understanding, made to describe more well-known practical phenomena, but as it turned out, there are new methods according to which it is possible to transmit energy/information over an almost unlimited distance using this technology. The fact is that today it is possible to transfer to a particle a huge amount of energy up to tens of TeV, which is already equal to the value of a potential barrier consisting of 1,000 atoms standing in the way of the particle, that is, it can pass through a thousand atoms without expending energy with a probability of 64%, while initially giving a certain direction in space a real particle. And since the particle does not change its energy after passing the barrier, unless resources can be spent only as a means of overcoming probability, then we can talk about transferring the remaining amount of energy to a huge, cosmic distance.
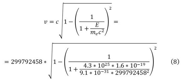
So if the energy of 1 TeV becomes sufficient to overcome thousands of hydrogen atoms, with a diameter of 10—11 m, how can we say that this energy will be enough to overcome 10—8 m. It would seem that the distance is too small and the technology itself is not too cost – effective, but it is worth considering at least that such a method does not require the use of conductors and for transmitting, for example, energy to the ISS, the distance to which is estimated at a maximum point of 430 km, it is worth sending particles with energies of 4.3 * 1025 eV.
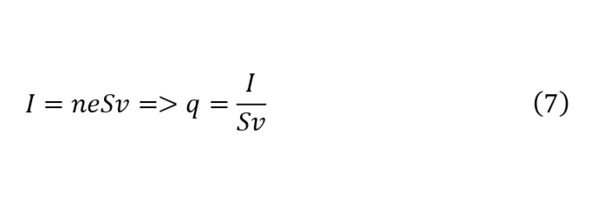
A value that becomes almost unrealistic given modern devices, but this definition is suitable if we take into account that the particle current will be measured in mA or MC, which can determine the charge through (7).

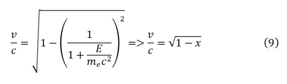
Where, from the available energy value, the velocity (8) can be calculated, but for a sufficient solution, it is necessary to initially decompose the resulting root with the transformation (9—10) into a Taylor series (11), from where it will be possible to obtain a percentage value.




Thus, it was possible to determine the approximation of the speed of light, which can be taken to be almost equal to the speed of light. And indicating that 1 micron is taken as the beam diameter, we can talk about the resulting charge value and the number of particles (12).

Therefore, we can say that it is possible to direct energy to a distance of 430 km in the amount of 4.3 * 1019 watts instantly, when the same value can be sent for 1.43 microseconds to the same distance, when acting with light radiation with the same power. And if, at such a relatively close distance, this method again does not seem to be cost-effective, then you can resort to the case when the distance is 1 light-year. Then it is worth resorting to a different definition.
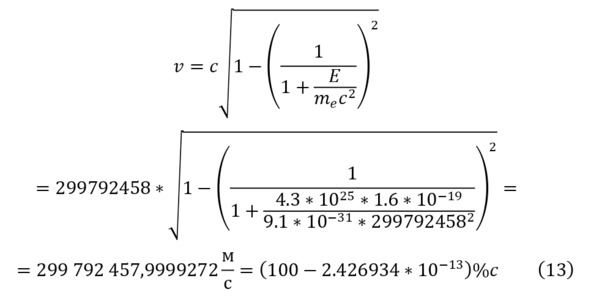
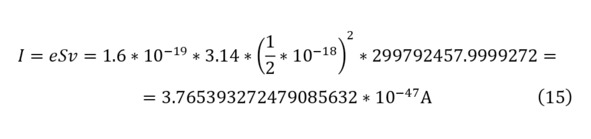
Initially, it is worth pointing out that the density of matter in space is 3 * 10—28 kg/m3, which in turn is 2.9967* 1026 times less dense than the density of the estimated hydrogen, equal to 0.0899 kg/m3, from which we can say that with an already defined energy of 1025 eV, a particle can overcome in space as much the same distance or, by analogy, 1.288567 * 1029 km, which is 13,629,492,816,374.85 light-years, which is even more than the radius of the observable universe by 137,927.5 times. Therefore, in order to send energy to a distance of 1 light-year, it is sufficient to use the energy of a particle equal to 733.7 GeV at the available velocity in (13), it is possible to determine the magnitude of the charge (14).


Thus, it became possible to talk about the creation of a new method of transmitting energy over huge distances almost instantly, without spending several years on it, while the minimum value, of course, is equal to the value of the elementary charge charge, and hence the current (15), with a minimum energy for 1 light year of 733.7 GeV.

That is, it is possible to expend in a general sense, giving a particle only 2,762669 * 10—35 watts of energy, you can direct any amount of energy instantly, starting from this value to infinity to practically any distance from the planet instantly, without spending billions of years to overcome all obstacles with light or other radiation.
Used literature
1. Bondarev, B. V. Course of general physics. In 3 t. t. 2. Electromagnetism. Optics. Quantum physics: A textbook for bachelors / B. V. Bondarev. – M.: Yurayt, 2013. – 441 p.
2. Bondarev, B. V. Course of general physics. In 3 books. Book 2: Electromagnetism, optics, quantum physics: Textbook / B. V. Bondarev, N. P. Kalashnikov, G. G. Spirin. – Lyubertsy: Yurayt, 2015. – 441 p.
3. Bondarev, B. V. Course of general physics. Book 2: Electro-magnetism, optics, quantum physics: Textbook for bachelors / B. V. Bondarev, N. P. Kalashnikov, G. G. Spirin. – Lyubertsy: Yurayt, 2016. – 441 p.
4. Bondarev, B. V. Course of general physics. In 3 kn. Kn. 2. Electromagnetism. Wave optics. Quantum Physics / B. V. Bondarev. – M.: Higher School, 2005. – 438 p.
5. Boyarkin, O. M. Particle Physics – 2013: From electron to Higgs boson. Quantum theory of free fields / O. M. Boyarkin, G. G. Boyarkina. – M.: Lenand, 2016. – 296 p.
6. Boyarkin, O. M. Particle Physics – 2013: Quantum electrodynamics and the Standard Model / O. M. Boyarkin, G. G. Boyarkina. – M.: CD Librocom, 2015. – 440 p..
7. Boyarkin, O. M. Particle Physics – 2013: From electron to Higgs boson. Quantum theory of free fields / O. M. Boyarkin, G. G. Boyarkina. – M.: Lenand, 2018. – 296 p.
8. Boyarkin, O. M. Particle Physics – 2013: Quantum electrodynamics and the Standard Model / O. M. Boyarkin, G. G. Boyarkina. – M.: CD Librocom, 2016. – 440 p..
9. Voronov, V. K. Physics at the turn of the millennia: Physics of self-organizing and ordered systems. New objects of atomic and nuclear physics. Quantum information / V. K. Voronov, A.V. Podoplelov. – M.: KomKniga, 2014. – 512 p.
10. Gribbin, J. In search of Schrodinger’s cat. Quantum physics and reality / J. Gribbin. – M.: Ripoll-classic, 2019. – 352 p.
11. Zhuravlev, A. I. Quantum biophysics of animals and humans: A textbook / A. I. Zhuravlev. – M.: Binom. Laboratory of Knowledge, 2011. – 398 p.
12. Irodov, I. E. Quantum physics. Basic laws: A textbook / I. E. Irodov. – M.: Binom, 2014. – 256 p.
13. Irodov, I. E. Quantum physics. Basic laws: A textbook / I. E. Irodov. – M.: Binom. Laboratory of Knowledge, 2010. – 256 p.
14. Irodov, I. E. Quantum physics. Basic laws: A textbook / I. E. Irodov. – M.: Binom. Laboratory of Knowledge, 2004. – 272 p.
15. Irodov, I. E. Quantum physics. Basic laws / I. E. Irodov. – M.: Binom. Laboratory of Knowledge, 2010. – 256 p.
16. Irodov, I. E. Quantum physics. Basic laws: A textbook for universities / I. E. Irodov. – M.: Binom. LZ, 2013. – 256 p.
17. Kamalov, T. F. Physics of non-inertial reference systems and quantum mechanics / T. F. Kamalov. – M.: CD Librocom, 2017. – 116 p.
18. Karmanov, M. V. Course of general physics. Vol. 3. Quantum optics. Atomic physics. Solid state physics In 4 tt T: 3 / M. V. Karmanov. – M.: KnoRus, 2012. – 384 p.
19. Kvasnikov, I. A. Thermodynamics and statistical physics. Vol. 4. Quantum statistics: Textbook / I. A. Kvasnikov. – M.: KomKniga, 2010. – 352 p.
20. Kvasnikov, I. A. Thermodynamics and statistical physics: Vol.4: Quantum statistics / I. A. Kvasnikov. – M.: Lenand, 2017. – 352 p.
21. Kvasnikov, I. A. Thermodynamics and statistical Physics. Vol. 4: Quantum statistics / I. A. Kvasnikov. – M.: KomKniga, 2014. – 352 p.
22. Kvasnikov, I. A. Thermodynamics and statistical physics: Quantum statistics / I. A. Kvasnikov. – M.: KomKniga, 2010. – 352 p.
23. Kingsep, A. S. Fundamentals of Physics. Course total physics in 2 vols. Volume 2. Quantum and statistical physics: Textbook for universities. / A. S. Kingsep, Yu. M. Tsipenyuk. – M.: Fizmatlit, 2007. – 608 p.
24. Landau, L. Theoretical physics In 10 t. T. 4. Quantum electrodynamics / L. Landau, E. Lifshits. – M.: Fizmatlit, 2006. – 720 p.
25. Landau, L. D. Theoretical physics: A textbook for universities v10t. Volume 4 Quantum electrodynamics / L. D. Landau, E. M. Lifshits. – M.: Fizmatlit, 2006. – 720 p.
26. Landau, L. D. Theoretical physics. In 10 vols. 3. Quantum mechanics (non – relativistic theory) / L. D. Landau, E. M. Lifshits. – M.: Fizmatlit, 2016. – 800 p.
27. Landau, L. D. Theoretical physics in 10 volumes. vol.4. Quantum electrodynamics. / L. D. Landau, E. M. Livshits. – M.: Fizmatlit, 2006. – 720 p.
28. Landau, L. D. Theoretical physics in 10 volumes. vol.3. Quantum mechanics (nonrelative theory) / L. D. Landau, E. M. Livshits. – M.: Fizmatlit, 2016. – 800 p.
INFORMATION AND MEASUREMENT SYSTEM FOR THE STUDY OF EARTHQUAKE PRECURSORS
Asatulla Urmanovich Maksudov
Senior Researcher at the Institute of Physics and Technology of the Academy of Sciences of the Republic of Uzbekistan
Institute of Physics and Technology of the Academy of Sciences of the Republic of Uzbekistan asaduz50@rambler.ru
Nurmamat Umaraliev
Candidate of Technical Sciences, Associate Professor of the Department of “Electronics and Instrumentation” of the Faculty of Computer Design Systems of the Fergana Polytechnic Institute
Ferghana Polytechnic Institute, Ferghana, Uzbekistan
ORCHID-0000-0001-9822-8115
nurmuhammad@bk.ru
Annotation. Currently, earthquake forecasting is one of the most pressing problems. Seismic disasters caused by earthquakes not only cause great economic damage, but also lead to the death of many people.
Keywords: harbinger, earthquake forecast, neutron and charged particle fluxes, measurements, monitoring, information and measurement system.
Аннотация. В настоящее время прогноз землетрясений является одной из наиболее актуальных проблем. Сейсмические катастрофы, вызванные землетрясениями, не только наносят большой экономический ущерб, но и приводят к гибели многих людей.
Ключевые слова: предвестник, прогноз землетрясений, потоки нейтронов и заряженных частиц, измерения, мониторинг, информационно-измерительная система.
The purpose of the study
The study of new earthquake precursors to address issues of short- and medium-term forecasting of the prameters of upcoming earthquakes. To achieve this goal, this work uses an indirect method of measuring controlled parameters, constant monitoring of the studied values and statistical methods of data processing, including regression analysis methods.
An information-measuring system is proposed for studying the correlation between earthquakes and neutron and charged particle fluxes emanating from the Earth’s crust, as well as a method for calibrating this information-measuring system.
This work uses an experimental research method. An indirect method of measuring earthquake parameters, such as magnitude, hypocenter coordinates, is proposed.
The results of preliminary experiments are presented. Informative signs are described, the presence of which makes it possible to predict the parameters of upcoming earthquakes. The minimum number of implementations necessary for constructing regression models of earthquake parameters has been determined. A block diagram of the parts of the information and measurement system, through which preliminary experiments were carried out, is also given. The method of calibration of the entire information and measurement system is described.
The main conclusions. During the analysis of the results of preliminary experiments conducted at different times in the cities of Tashkent and Ferghana, an assumption arose about the existence of a correlation between the parameters of an earthquake and neutron and charged particle fluxes, i.e. neutron and charged particle fluxes carry informative signs about upcoming earthquakes in the near future. According to this assumption, they can be attributed to the precursors of earthquakes.
An information and measurement system is proposed that will allow in-depth study of the relationship between the parameters of the upcoming earthquake and the fluxes of neutrons and charged particles by continuously monitoring them and subsequent statistical processing of accumulated data.
The conditions for the prediction of all parameters of the upcoming earthquake, such as the hypocenter, magnitude and time of the upcoming earthquakes, are determined.
Introduction
Currently, earthquake forecasting is one of the most pressing problems. Seismic disasters caused by earthquakes not only cause great economic damage, but also lead to the death of many people.
The main difficulty in predicting earthquakes is that an earthquake model has not been developed. In practice, there is no reliable method and device that could predict its location, time, energy or intensity, which could meet the practical requirements for both accuracy and speed. However, these requirements are divided not only by the level of knowledge about earthquakes, but also into forecasts for specific purposes, long-term forecasts or short-term forecasts, depending on different types of practical goals. At the moment, the short-term forecast is relevant. This is the basis for a clear warning of an impending disaster and taking urgent measures to reduce earthquake damage. This article presents information about a device and an information system designed to measure the parameters of a physical process that can serve for short-term forecasting.
In the patent of Uzbekistan for a utility model [1], a measuring device for short-term forecasting is proposed. In this device, charged particles and neutron fluxes coming from underground, acting on scintillation detectors, generate optical impulses, which are converted into electrical impulses using photoelectronic multipliers attached to scintillation detectors (Fig. 1). Thus, this device allows you to measure the flow of neutrons and charged particles coming from underground. Despite the insignificance of the magnitude of the flows, the nature of the change is likely to carry information about the main root cause of their occurrence. Continuous monitoring of the flow values will allow for a correlation analysis between them and between earthquake parameters. On the basis of correlation analysis, accurate methods for predicting an approaching earthquake can be created.

Fig.1. Device for measuring neutron fluxes and charged particles: a-axonometric view; b-front view in the section; coal α = 450; 1— central scintillation detectors; 2-FEU-84; 3-direction detectors, 4-FEU-125; 5-carbon absorbers; 6-neutron counters.
Such correlation analysis requires the results of very large-scale measurement work. That is, it is necessary to constantly monitor the values of the streams received by the device and record them in the appropriate information base. In addition, to study the dependence of these currents on the distance, at least three devices are necessary and they must be placed in the form of triangles at a distance of at least 200 km from each other in seismically active zones.
The earthquake parameters – magnitude, time, coordinates of the hypocenter, charged particles and neutron fluxes from the devices proposed for prediction should be simultaneously recorded in one information database in chronological order.
In addition, the parameters of all earthquakes that occur during the monitoring of neutron fluxes and charged particles, such as – time, magnitude and coordinates of the hypocenter – should be included in the information base in chronological order.
To build an adequate regression model for predicting the parameters of the upcoming earthquake, the number of experiments should be no less than the number of corresponding sensors of the complex. For example, to build a regression model for predicting hypocenter parameters, based on the number of direction sensors, the number of experiments should be at least 24, and for magnitude prediction, the number of experiments should be at least 3.
This process is the “learning” mode of the proposed measurement and information system. Having collected a sufficient amount of statistical data in this mode, it will be possible to build a mathematical model predicting the parameters of the upcoming earthquake using regression analysis of measurement results. The proposed measurement and information system will then become a complex predicting the parameters of a possible earthquake. Like any SMART system, this system always works in the “forecast-correction” mode, while the accuracy of forecasting earthquake parameters increases.
The proposed measurement and information system is based on modern means of information transmission and information and communication technologies. Below is a block diagram of one channel of the measuring device of the measuring and information system:

Fig. 2. Block diagram of the transmission of information from the measuring device
Here:
• Device to be monitored – the measuring device shown in Figure1.
• UART- universal asynchronous receiver/transmitter – universal asynchronous receiver – transmitter;
• Microcontroller – microcontroller with analog-to-digital converter;
• SPI – serial information transfer interface;
• EtherSield – Ethernet module;
• Hardware – a set of programmable measuring devices.

Fig. 3. Block diagram of the system
Here:
• Hardware – technical means of the system installed in the cities of Fergana, Tashkent, Samarkand;
• A web server is an application server that collects and processes information.
In order to implement the proposed information and measurement system, three “Software and Hardware measuring systems” have been installed in the cities of Fergana, Tashkent and Samarkand. The measurement results obtained from these complexes are entered into the information base through the web server applications on the website pribori.uz. Figure 3 shows a block diagram of the system.

Fig.– 4. Interface for visualization of system data
Figure 4 below shows the data visualization interface of the system.
Conclusions
During the analysis of the results of preliminary experiments conducted at different times in the cities of Tashkent and Ferghana, an assumption arose about the existence of a correlation between the parameters of an earthquake and neutron and charged particle fluxes, i.e. neutron and charged particle fluxes carry informative signs about upcoming earthquakes in the near future. According to this assumption, they can be attributed to the precursors of earthquakes.
The proposed information and measurement system will allow a deep study of the relationship between the parameters of the upcoming earthquake and the fluxes of neutrons and charged particles.

