
Полная версия:
Maqsadjon Murodjonovich To'xtasinov All sciences. №4, 2023. International Scientific Journal
- + Увеличить шрифт
- - Уменьшить шрифт

All sciences. №4, 2023
International Scientific Journal
Authors: Aliyev Ibratjon Xatamovich, Karimov Boxodir Xoshimovich, Karimov Shavkat Boxodirovich, Usmonov Yakub Usmonovich, Axmedov Tursun Axmedovich, Yuldoshaliyev Dilshod Quldoshaliyevich, Sayitov Shavkat Samiddinovich, Xolmatov Erkinjon Soliyevich, Obidov Foziljon Oripovich, Abdusalyamova Tilloxon, Karimova Dilorom Shavkatovna, Tulyaganov Abdumannop Abdujabbarovich, Baratov Mirodiljon Xamudjanovich, Begatov Jasurbek, Qo'shqorov Ahliddin Mirzoxidovich, Raxmonjonov Xasanboy, To'xtasinov Maqsadjon Murodjonovich
Editor-in-Chief Ibratjon Xatamovich Aliyev
Illustrator Ibratjon Xatamovich Aliyev
Illustrator Obbozjon Xokimovich Qo'ldashov
Illustrator Sultonali Mukaramovich Abduraxmonov
Illustrator Boxodir Xoshimovich Karimov
Cover Designer Ibratjon Xatamovich Aliyev
Cover Designer Ra'noxon Mukaramovna Aliyeva
Cover Designer Boxodir Xoshimovich Karimov
Scientific supervisor Boxodir Xoshimovich Karimov
Deputy Scientific Director Sultonali Mukaramovich Abduraxmonov
Economic Manager Farruh Murodjonovich Sharofutdinov
Economic Consultant Botirali Rustamovich Jalolov
Proofreader Gulnoza Muxtarovna Sobirova
Proofreader Abdurasul Abdusoliyevich Ergashev
Proofreader Ekaterina Aleksandrovna Vavilova
© Ibratjon Xatamovich Aliyev, 2023
© Boxodir Xoshimovich Karimov, 2023
© Shavkat Boxodirovich Karimov, 2023
© Yakub Usmonovich Usmonov, 2023
© Tursun Axmedovich Axmedov, 2023
© Dilshod Quldoshaliyevich Yuldoshaliyev, 2023
© Shavkat Samiddinovich Sayitov, 2023
© Erkinjon Soliyevich Xolmatov, 2023
© Foziljon Oripovich Obidov, 2023
© Tilloxon Abdusalyamova, 2023
© Dilorom Shavkatovna Karimova, 2023
© Abdumannop Abdujabbarovich Tulyaganov, 2023
© Mirodiljon Xamudjanovich Baratov, 2023
© Jasurbek Begatov, 2023
© Ahliddin Mirzoxidovich Qo'shqorov, 2023
© Xasanboy Raxmonjonov, 2023
© Maqsadjon Murodjonovich To'xtasinov, 2023
ISBN 978-5-0060-3821-9 (т. 4)
ISBN 978-5-0059-5900-3
Created with Ridero smart publishing system
PHYSICAL AND MATHEMATICAL SCIENCES
OPTICAL AND SOUND MEMORY IN LITHIUM NIOBATE CRYSTALS
UDC 535.215.31
Karimov Boxodir Xoshimovich
Candidate of Physical and Mathematical Sciences, Associate Professor of the Faculty of Physics and Technology of Fergana State University
Karimov Shavkat Bakhodirovich
Candidate of the Faculty of Physics and Technology of Fergana State University
Aliev Ibratjon Xatamovich
3rd year student of the Faculty of Mathematics and Computer Science of Fergana State University
Ferghana State University, Ferghana, Uzbekistan
Annotation. PHOTOEDC (or photovoltage) in semiconductors, regardless of its nature, cannot exceed the band gap width, i.e. several volts/cm.
Keywords: PHOTOEDC, photovoltaic current, crystals without a center of symmetry, semiconductors, third-rank tensors, Fermi-level energies.
Аннотация. Фото-ЭДС (или фотонапряжение) в полупроводниках независимо от ее природы не может превышать ширину запрещенной зоны, т.е. несколько Вольт/см.
Ключевые слова: фото-ЭДС, фотовольтаический ток, кристаллы без центра симметрии, полупроводники, тензоры третьего ранга, энергии уровня Ферми.
For example, in a homogeneous semiconductor, the Dember (diffusion) photo voltage for an arbitrarily high intensity of exciting light does not exceed the value [1].

(1)
where Eg is the band gap of the semiconductor, n1 and n0 are, respectively, nonequilibrium and equilibrium carrier concentrations, Nc is the density of states.
Another example is the resulting photovoltage during illumination of the p-n junction [2].

(2)
which also does not exceed Eg. Here nn and pp are, respectively, electron concentrations in the n—region and holes in the p—region. EFn and EFp are Fermi—level energies in the n— and p-regions.
The exception to this rule was only semiconductor textures in which the effect of abnormally high photo voltages (AFN effect) is observed, due to the addition of elementary photo-EMF of the Dember (1) or elementary photo-EMF (2), developing at individual p-n transitions of the texture [3].
In such textures from sprayed layers of CdTe, Ge, Si, GaAs, PbS, CdSe, etc., photo voltages can reach values of the order of several hundred Volts per centimeter of length in the direction of addition of elementary photo-EMF (1) or (2).
In recent years it has become clear that currents are possible in thermodynamic nonequilibrium conditions of a different nature, due to the absence of a center of symmetry environment. The most important of this class of effect is the anomalous photovoltaic effect (AF effect).
The AF effect is that with uniform illumination of a short-circuited ferroelectric, a stationary current flows through it, which in [4,5] was called photovoltaic. It has been shown that it is the photovoltaic current that leads to the anomalous photovoltaic effect (AF effect) in ferroelectrics.
The anomalous photovoltaic effect detected for ferroelectrics for the first time in [4,5] is a special case of the AF effect described for crystals without a center of symmetry by the third rank aijk tensor [5,6]:

(3)
According to (3), with uniform illumination by linearly polarized light of homogeneous crystals without a center of symmetry (ferroelectric, pyro, or piezoelectric crystal), a photovoltaic current Ji arises in it, the sign and magnitude of which depend on the orientation of the polarization vector of light with projections EJ, EK*.
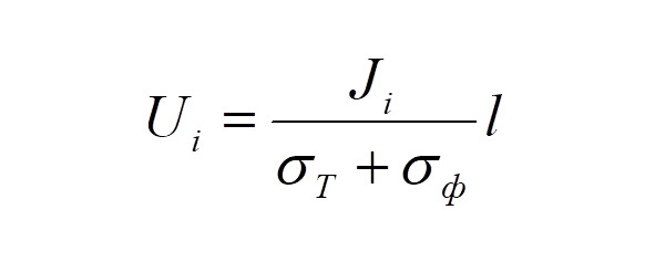
The components of the aijk tensor are nonzero for 20 acentric symmetry groups. If the electrodes of the crystal are opened, the photovoltaic current Ji generates photovoltaic voltages

where σt and σf, respectively, are dark and photoconductivity, l is the distance between the electrodes. Generated photovoltage in crystals without a center of symmetry of the order (103—105). In/see In accordance with (3) and the symmetry of the point group of the crystal, expressions can be written for the photovoltaic current Ji. Comparison of the experimental angular dependence Ji (b) with (3) makes it possible to determine the photovoltaic tensor aij or the photovoltaic coefficient

(a* is the light absorption coefficient).
In [10], the photovoltaic coefficient in lithium niobate crystals of the order K = (2-3) * 10—9A * cm* (W) -1 was determined.
This paper reviews and discusses photovoltaic, optical (photorefractive) and sound memory in lithium niobate crystals.
Use in holographic recording in LiNbO3:Fe gives advantages. In this case, the recording is carried out by the photovoltaic effect (FE) corresponding to the photovoltaic current.
Lithium niobate is widely used in holography and storage devices due to its excellent ferroelectric and piezoelectric properties. Just as magnetic materials «remember» the magnetic field, ferroelectrics can «remember» the electric field under certain conditions.
1. OPTICAL MEMORY IN LITHIUM NIOBATE CRYSTALS
The effect of nonequilibrium carriers on birefringence in ferroelectric and piezoelectric crystals has been called the photorefractive effect (FR effect) in the literature and has found wide use for the registration of volumetric holograms. The FR effect is as follows. As a result of local illumination of a ferroelectric or piezoelectric crystal by intense transmitted light (focused laser beam), a reversible change in birefringence occurs in the crystal volume inside the light beam, mainly due to a change in the refractive index of the extraordinary beam ne. The magnitude of this change reaches 10-4 -10-3 for some pyroelectrics (LiNbO3 LiTa03), and its lifetime can vary widely, from milliseconds in BaTiO3 to months in LiNbO3. The hologram is recorded due to the volumetric modulation of the Dn value corresponding to the modulation of the recording beam. The recording resolution is exceptionally high, 102-104 lines/mm. [7, 9].
The main advantage of this optical memory method in comparison with photographic layers is the possibility of parallel recording, reading and erasing.
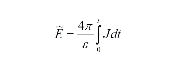
As shown by the sign, and the magnitude of the photovoltaic current depends on the symmetry of the crystal and the polarization of light. Photovoltaic current leads to the generation of abnormally large photovoltaic voltages in the same direction. Thus, during the exposure time t, a macroscopic field appears in the crystal.

(5)
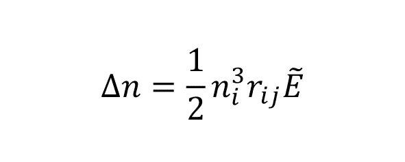
Due to the linear electric effect, the field leads to the FR effect:

(6)
where rij are electro—optical coefficients. Equation (6) is written in the main coordinate system. After illumination, the field remains in the crystal for a long time due to the capture of nonequilibrium electrons and holes. This capture mechanism is responsible for optical memory.
Use in holographic recording in LiNbO3:Fe gives advantages. In this case, the recording is carried out by the photovoltaic effect (FE) corresponding to the photovoltaic current. The generated photon voltage of the order (103-105) V/cm is responsible for the optical memory in LiNbO3:Fe crystals.
Erasure can be carried out by annealing the crystal at 1700C. There are other methods of erasing.
2. SOUND MEMORY IN LITHIUM NIOBATE CRYSTALS
Slightly yellowish single crystals of lithium niobate LiNbO3 have been used in technology for quite a long time. This is a surprisingly "talented" material: ferroelectric (its permittivity depends on the electric field strength, temperature and pre-polarization). The crystal contains special microscopic regions – ferroelectric domains that differ in the direction of polarization. The dimensions of the domains are 10-7-10-5 m, or 0.1—10 microns. By acting with an electric field, the domains can be moved around the crystal, in a strong field, the direction of polarization of all domains can be made the same (the crystal becomes monodomain). When the temperature rises to a certain value, the ability to polarize and form domains disappears. Lithium niobate has a very high temperature (Curie point) of 1210°C. Polarization occurs as a result of the mismatch of the "centers of gravity" of positive and negative charges in the crystal, a small and consistent displacement of ions from the position at which the charges completely compensate each other.
Physicists from the University of Mississippi M. McPherson, I. Ostrovsky and M. Breazil. studying the passage of short pulses of ultrasound through a thin plate of lithium niobate (LiNbO3), a new physical effect of "sound memory" in crystals was discovered [11].
Unexpectedly, scientists discovered that another ultrasonic signal with the same frequency and phase is emitted by the crystal seventy milliseconds after the passage of the main pulse. The study showed that the volume of the "echo" depends on the temperature of the crystal and the frequency of ultrasound. The effect is maximal at 26 megahertz and disappears at temperatures above 75 degrees Celsius, but it was reproduced at lower temperatures.
The acoustic quirk of lithium niobate may be related to its very unusual and extremely useful electrical properties: when compressed, it creates an electric field. Electric fields change the trajectory of light passing through it. Therefore, the substance is used in fiber-optic communication media and in holographic memory.
Each lithium niobate crystal consists of patches of so-called ferroelectric domains. Brizil suspects that the frequency of the delayed echo generated by the crystal is related to the size of these domains, which determine the suitability of the material for various purposes.
Just as magnetic materials "remember" the magnetic field, ferroelectrics can "remember" the electric field under certain conditions. This feature is widely used in the manufacture of electromagnetic detectors and other devices.
According to scientists, it is closely related to the properties of domains (regions with the same electrical polarization) inside the crystal and is explained by the formation and subsequent relaxation of electric charges near the boundaries of the domains.
The effect has not yet found a reliable theoretical explanation and needs to be rechecked, but it is already clear that it can be successfully used to control the quality of lithium niobate plates.
It appears that lithium niobate stores sound energy temporarily. How this happens is not yet clear, but researchers and we note that the sound wave compresses the substance through which it passes. This creates electric fields in the crystal, which moves the electrically charged atoms that the crystal contains. When the incoming sound from the outside stops, the ions return back, but not all in the same direction – the movement is divided by domains that define the boundaries at which the direction changes.
According to the law of conservation of energy, when the ions return, they release the received energy in the form of a delayed acoustic wave. This makes every domain sound. A stronger echo is associated with the resonance frequency of the domains, which depends on their size.
It is assumed that the magnitude of the echo depends on the concentration of domains and that the effect can be used to determine the quality of crystals. What the actual nature of the effect is remains to be seen.
Maybe the stones will really talk?
CONCLUTION
This paper reviews and discusses photovoltaic, optical (photorefractive) and sound memory in lithium niobate crystals. Coefficients in lithium niobate crystals of the order K = (2-3) × 10—9A ×cm× (W) -1.
Use in holographic recording in LiNbO3: Fe. gives advantages. In this case, the recording is carried out by the photovoltaic effect (FE) corresponding to the photovoltaic current. The generated photon voltage in LiNbO3:Fe crystals of the order (103-105) V/cm is responsible for optical memory.
Lithium niobate is widely used in holography and storage devices due to its excellent ferroelectric and piezoelectric properties. Just as magnetic materials «remember» the magnetic field, LiNbO3 ferroelectric can «remember» the electric field under certain conditions.
LITERATURE
1. Ryvkin. S. M. Photoelectric phenomena in semiconductors. M.: Fizmatgiz. 1963. 494C.
2. Bub R. Photoconductivity of solids. M.: ILL. 1962. 558C.
3. E.I.Adirovich. Photoelectric phenomena in semiconductors and optoelectronics. Tashkent: Fan. 1972. 343 P.
4. Glass A.M., Voh der Linbe D., Nerren T.J.//High- voltage Bulk Photovoltaic effect and the Photorefractive process in LiNbO3. J. Appl. Phys. Let, 1974. N4. v.25. p.233-236.
5. Fridkin V. M. Photosegnetoelectrics. M.: Nauka. 1979. pp.186—216.
6. V.I. Belinicher. Studies of photovoltaic effects in crystals. Diss. for the job application. Doctor of Physical and Mathematical Sciences. Novosibirsk. 1982. 350S.
7. Levanok A. P., Osipov V. V. Mechanisms of the photorefractive effect. // Izv. An. Russia, 1977. Vol.41. No. 4. C.752—769.
8. Sturman B. I., Fridkin V. M. Photovoltaic effects in media without an inversion center. M.: Nauka. 1992. 208 P.
9. Friedkin V. M. //Volumetric photovoltaic effect in crystals without a center of symmetry. Crystallography. 2001. Vol. 46 No.4. pp.722—726.
10. Fridkin V. M., Magomadov R. M. Anomalous photovoltaic effect in LiNbO3: Fe in polarized light. //w. Pisma ZhETF. 1979.t30.P.723-726.
11. Encyclopedia. The entry was published on 27.09.2002 at 00:00 in the following headings: …news archive 2002—2007.
TECHNICAL SCIENCES
TECHNOLOGY OF OBTAINING AND STUDYING A FILM THERMOGENERATOR
UDC 621.362
Yuldashaliev Dilshod Kuldoshalievich
lecturer of the Department of "Professional Education" of Fergana State University
Usmanov Yakub
Associate Professor of the Department of "Professional Education" of Fergana State University
Akhmedov Tursunakhmedovich
Associate Professor of the Department of "Professional Education" of Fergana State University
Karimov Bahodir Hashimovich
Associate Professor of the Department of "Professional Education" of Fergana State University
Ferghana State University, Ferghana, Uzbekistan
Annotation. The Seebeck effect (thermo-EMF) is used to convert thermal energy into electrical energy. The transfer of heat by electric current (Peltier effect) underlies the action of solid-state cooling and thermostatic devices. Thermoelectric energy converters have unique combinations of design and operational characteristics, such as the absence of moving parts, working fluids and gases, high reliability, the ability to operate for several years without maintenance or with minimal periodic maintenance, etc.
Keywords: thermogenerator, thermoelements, Peltier effect, thermoelectric materials, film thermogenerator, thermo-EMF, application of film thermogenerator.
Аннотация. Эффект Зеебека (термо-ЭДС) используется для преобразования тепловой энергии в электрическую. Перенос тепла электрическим током (эффект Пельтье) лежит в основе действия твердотельных охлаждающих и термостатирующих устройств. Термоэлектрические преобразователи энергии обладают уникальными сочетаниями конструктивных и эксплуатационных характеристик, таких, как отсутствие движущихся деталей, рабочих жидкостей и газов, высокая надёжность, возможность эксплуатации в течение нескольких лет без обслуживания или при минимальном периодическом обслуживании и др.
Ключевые слова: термогенератор, термоэлементы, эффект Пельтье, термоэлектрические материалы, плёночный термогенератор, термо-ЭДС, применение плёночного термогенератора.
These advantages determine the variety of use of thermogenerators as power sources, mainly for autonomous systems – in space, in hard-to-reach areas of land and sea, etc. Thermoelectric refrigerators and thermostats are used in instrumentation, IR technology, medicine, biology, household appliances. There is also a wide range of applications of thermoelectric devices in measuring technology, thermometry, pyrometry, electrical measurements, etc.
Many of the tasks that practice sets for developers of thermoelectric devices can be successfully solved with the use of film thermogenerators (PTG). The obvious advantage of PTG is the ability to fundamentally increase the number of elements while maintaining the volume of the converter, and, if necessary, create microminiature devices. Small-sized power supplies, low-current micro-coolers and thermostats, highly sensitive and sufficiently low-inertia temperature and heat flow sensors, etc. can be manufactured on the basis of PTG. Vacuum technology significantly simplifies the assembly process and shortening the manufacturing time of thermogenerators, allows combining elements and circuits of radio and optoelectronics with thermoelectric devices in a single design and manufacturing in a single technological cycle.
The results of physical and technological research, design developments have made significant progress in the field of film thermoelectric converters.
To date, the fundamental possibility of creating PTGS with energy characteristics close to volumetric ones has been proven, the technology of their mass production has been developed, a number of devices based on them have been created. The new thermoelectric temperature and radiant flux sensors have an order of magnitude higher sensitivity.
The successes achieved in the creation of highly efficient PTGS will undoubtedly lead to their wide technical application, which in turn will require further development of physical and technological research, expansion of the front of design developments. In this regard, it is urgent to develop a technology for obtaining PTG and new design developments, as well as to investigate electro and thermophysical properties.
The working substance in modern thermoelectric converters are semiconductors, the selection and optimization of the properties of which are based on the theory developed by academician A.F.Ioffe. The quality of the material is characterized by thermoelectric efficiency z = α2 σ/χ, where α is the coefficient of thermo-EMF, σ and χ are their specific electrical and thermal conductivity. The higher the value of the dimensionless parameter zT (T is the operating temperature), the greater the efficiency of the thermogenerator.
The technology for producing a film thermogenerator is based on the thermal evaporation of semiconductor materials in vacuum or in an atmosphere of various gases.
The technological mode of obtaining a film thermogenerator depends on a large number of parameters, such as the temperature of the evaporator and the substrate, the thickness of the film, the composition and pressure of residual gases in the vacuum chamber, the conditions of thermal and chemical treatment of films after spraying. At the same time, each semiconductor material has its own optimal mode, and often small deviations from it even by one of the parameters lead to the disappearance of the thermal effect in the manufactured films. For this reason, the development of a technology for obtaining a film thermogenerator from a particular material requires a lot of experimental work, a large number of test spraying with successive variation of several technological parameters, their combinations and finding parameters specific to obtaining a tarmoeffect on films from this semiconductor material.
We have developed a technology for producing a thermogenerator from Bi-Sb materials.
Film thermogenerators were obtained by spraying a semiconductor material from a crucible in a vacuum of ~10-5 mmHg on various substrates (aluminum, honey, brass, iron, mica, sapphire and ceramics) heated from 20-250 ° C and located at an angle of 90 ° in the direction of the molecular beam.
An optimal mode has been developed and a substrate for a Bi-Sb-based film thermogenerator has been selected.
The resulting thermogenerators generate 60 mA and 50 mV at a temperature of 200-2500 C.
The front of design developments is expanding and the electro and thermophysical properties of the obtained thermogenerators based on Bi-Sb are being investigated.
Literature
1. Liner D. I. et al. Thermoelectric properties of semiconductors. – Moscow: ANSSSR, 1963.
2. Berchenko M.A. et al. Electronic processing of materials. – Chisinau, 1975.
3. Nabiev MB., Usmonov Ya., Atakulov Sh. B., Onarkulov K. E. Alloying additive for thermoelectric material of p —type triple alloy B12Te3- B123e3. – Bulletin of FerGU, 2012, issue No.2.
4. Yuldashalievd. K, Usmonov. I, Akhmedov, B.H.Karimov. Production and research of thermoelectric materials under inert gas pressure for a thermal converter. Science and peace. International Scientific Journal, Volgograd.No. 1 (89), 2021, volume 1C.30-35.
5. Yuldashalievd. K, Usmonov. I, Akhmedov, B. H. Karimov. Investigation of physical parameters of thermoelectric materials Bi2Te3-Sb2Te3.Science and peace. International Scientific Journal, Volgograd.№11 (99), 2021.

