
Полная версия:
Коллектив авторов Устойчивое развитие особо охраняемых природных территорий и сохранение биологического разнообразия. Материалы Международной научно-практической конференции (г. Ставрополь, 23 апреля 2013 г.)
- + Увеличить шрифт
- - Уменьшить шрифт

Устойчивое развитие особо охраняемых природных территорий и сохранение биологического разнообразия: материалы Международной научно-практической конференции
© Авторы, 2013
© Министерство природных ресурсов и охраны окружающей среды Ставропольского края, 2013
© ГКУ «Дирекция особо охраняемых природных территорий», 2013
© ФГБОУ ВПО Ставропольский государственный аграрный университет, 2013
* * *Приветственное слово
Борис Валентинович Кабельчук
Министр природных ресурсов и охраны окружающей среды Ставропольского края
Устойчивость природных экосистем различного иерархического уровня к внешним воздействиям, в том числе и антропогенным, не безгранична. Существует некоторый предел, при превышении которого любая естественная система разрушается, что неизменно ведет к процессам деградации окружающей природной среды.
Одновременно с сокращением площади живого покрова Земли происходит его упрощение. Информация, имеющая место в рамках осуществления Конвенции по биоразнообразию, в очередной раз предостерегает: богатство жизни сокращается на всех уровнях ее организации – от генетического разнообразия внутри отдельных популяций до разнообразия видов и экосистем в биосфере. Темпы этого разрушительного процесса не снижаются. Согласно критериям Международного союза охраны природы (МСОП) под угрозой исчезновения находятся от 10 до 50 % видов из числа хорошо изученных групп растений и животных.
В настоящее время данный вопрос находит широкое подтверждение на всех уровнях взаимодействия: каждое государство реализует свою политику в области охраны окружающей природной среды, вырабатываются общие международные принципы и механизмы ее сохранения и устойчивого развития. Устойчивое развитие обеспечивается через взаимосвязанную систему экономических инструментов, действующих в направлении достижения паритета экономических, экологических и социальных ценностей общества.
Реализация принципов устойчивого развития осуществляется, в том числе, через создание особо охраняемых природных территорий, основной целью которых является охрана естественной природы и всего ее биологического разнообразия.
Выделение особо охраняемых природных территорий позволяет решать как целый комплекс природоохранных задач национального масштаба, так и отдельные задачи социально-экономического характера в регионах, городах и сельских местностях.
Создание особо охраняемых природных территорий обеспечивает сохранение ресурсов, в том числе, уникальных и невосполнимых, ценность которых в современном мире постоянно возрастает. Таким образом, можно рассматривать особо охраняемую природную территорию как регулируемую ресурсосберегающую систему.
С учетом возрастания угроз природных катаклизмов, интенсивного освоения природных ресурсов и иных современных тенденций в экономике особо охраняемые природные территории и оказываемые ими экосистемные услуги, будут все более востребованы обществом.
Концептуальный подход к рассмотрению роли особо охраняемых природных территорий предполагает и новое видение их развития и определенные ориентиры, к которым нужно стремиться.
Во всем мире последовательно проводится работа по расширению круга решаемых особо охраняемыми природными территориями задач, их встраивание в региональные экономические системы как полноценного участника социально-экономического развития, что является залогом их устойчивости.
Министр природных ресурсов и охраны окружающей среды Ставропольского края

Б. В. Кабельчук
Б. В. Кабельчук
Министр природных ресурсов и охраны окружающей среды Ставропольского края, профессор
Роль особо охраняемых природных территорий (ООПТ) в сохранении биологического разнообразия на Ставрополье
Аннотация: проведен анализ состояния биологического разнообразия на особо охраняемых природных территориях Ставропольского края. Установлена высокая степень репрезентативности биоты на ООПТ по сравнению с прилегающими к ним территориями.
Ключевые слова: особо охраняемые природные территории, Ставропольский край, биологическое разнообразие, памятники природы, заказники, природоохранная ценность территории, репрезентативнось.
Биологическое разнообразие – главный природный и генетический ресурс биосферы, обеспечивающий возможность ее устойчивого развития. Оно является непреходящей ценностью, имеющей ключевое экологическое, социальное, экономическое и эстетическое значение. Являясь потенциалом самоорганизации биосферы, биологическое разнообразие обеспечивает ее регенерацию, устойчивость к негативным природным и антропогенным воздействиям, ресурсом для компенсации потерь отдельных биотических компонентов (Тишков А.А., 2005).
Сохранение биоразнообразия является не просто новым направлением охраны природы, это – неотъемлемая составная часть концепции перехода человечества на принципы устойчивого развития.
Сохранение отдельного вида возможно лишь при условии охраны его среды обитания со всем комплексом входящих в нее видов, климатических, геофизических и других условий (Кондратьева А. А., 1995, 1999; Лысенко И.О., Шейкина Н.Н., 2009; Пелипенко Ю.Г., Лысенко И.О., 2012).
Поскольку способность экосистем к самовосстановлению обеспечивается отрицательными обратными связями во взаимоотношениях между эволюционно коадаптированными (то есть аборигенными) видами, заполняющими экологические ниши в пределах всей амплитуды условий, то наиболее важной задачей ООПТ следует признать поддержание естественного (нативного) биологического разнообразия.
Ставропольский край по своим климатическим и природным условиям и при минимальной лесистости обладает значительными ресурсами объектов растительного и животного мира.
В биотопах ландшафтных комплексов Ставропольского края можно встретить растительность почти всех природных зон, имеющихся на Европейской территории России – от полупустынных сухих степей до хвойных лесов и альпийских лугов. Флору края составляют более 2400 видов, (без учета мхов, водорослей и грибов).
По флористическому разнообразию край занимает второе место в Российской Федерации после Краснодарского края, и это ставит его в особое положение среди других аналогичных регионов, как одного из самых емких хранителей растительного генетического фонда.
Среди видов растений имеются кормовые, лекарственные, пищевые, декоративные, медоносные, витаминные и др., имеющие незаменимую ценность для выведения новых и улучшения старых сортов. Такое богатство объясняется многими причинами: южным расположением территории, особенностями рельефа, разнообразием геологических отложений и местного климата.
Большая часть территории края относится к степной зоне. Но значительное пространство бывших степей уже занято сельскохозяйственными культурами. Естественная растительность здесь сохранилась лишь по балкам, на крутых склонах, в местах с неглубоким залеганием каменистых пород, на пастбищах (в восточных районах края).
Степи края неоднородны. По мере продвижения в направлении с запада на восток увеличивается засушливость степей, травяной покров становится более разряженным. Северо-восточная и восточная части края заняты полынно-злаковой полупустынной степью. Травянистый покров здесь невысокий и редкий, местами видны участки обнаженной почвы. Для этой части характерно наличие пустынных растений Средней Азии.
К западу от полупустынных степей расположены дерново-злаковые степи. Больше половины территории края принадлежит к равнинно-злаковым степям, которые отличаются густым и высоким травостоем. Здесь появляются более влаголюбивые виды злаков и обильное разнотравье.
Высокие места Ставропольской возвышенности заняты лесостепью, где участки влаголюбивых луговых степей перемешиваются с массивами дубовых лесов.
Предгорная лесостепь схожа с лесостепью Ставропольской возвышенности и отличается от нее появлением других видов растений.
На высоте 1200–1500 м предгорные луговые степи переходят в субальпийские высокотравные луга, где отдельные растения достигают высоты 1–2 м. Еще выше располагаются альпийские луга, достигающие снеговой линии.
Площадь лесов Ставропольского края составляет 129,1 тыс. га, в том числе: лесной фонд – 114,1 тыс. га и леса, расположенные на землях городских поселений (городские леса) – 15,0 тыс. га.
Большая часть лесов сосредоточена в регионе Кавказских Минеральных Вод. Относительно крупные лесные массивы расположены на горе Стрижамент, Ставропольской возвышенности. В других частях края преобладают мелкие байрачные леса, растущие в балках, либо пойменные леса в речных долинах.
Причина разнообразия животного мира Ставропольского края – большое многообразие ландшафтов, позволяющих на относительно небольшой территории обитать животным с разными экологическими требованиями к условиям существования.
Наземные позвоночные в Ставропольском крае распределены по классам следующим образом: земноводные – 8 видов, пресмыкающиеся – 22 вида, птицы – 324 вида, млекопитающие – 89 видов. В крае гнездится 220 видов, а на зимовку остается 173 вида птиц. Большое количество птиц мигрирует через территорию Ставропольского края.
Интенсивный характер сельскохозяйственного производства, загрязнение окружающей природной среды, лесные пожары, сельскохозяйственные палы и другие причины оказывают существенное влияние на численность и видовое разнообразие объектов растительного и животного мира.
Одним из путей сохранения биоразнообразия является создание системы особо охраняемых природных территорий (ООПТ), позволяющей вести особый режим хозяйственного использования экосистем, направленный на сохранение природных сообществ (Амельченко В. П. и др., 2009).
На сегодняшний день на территории Ставропольского края существует 112 особо охраняемых природных территорий различного профиля, общая площадь которых составляет 107 тыс. гектаров или 1,6 % от общей площади края.
Созданные на территории Ставропольского края ООПТ служат резерватами с достаточным уровнем репрезентативности естественных ландшафтов и биологического разнообразия. Сохранение биологического разнообразия на ООПТ заключается в определении и изучении редких видов, оценке состояния популяций данных видов, а также разработке и внедрению рекомендаций по их охране.
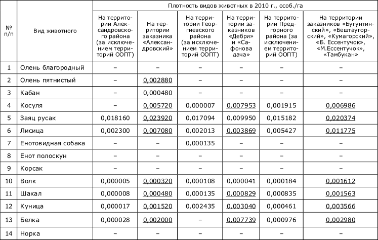
Неопровержимым доказательством положительной роли ООПТ в сохранении биологического разнообразия, являются результаты сравнительной оценки видовой представленности и показателей численности каждого вида.
Например, при сравнении видового состава и численности охотничьих животных на всей территории Ставропольского края и непосредственно на ООПТ, становится очевидным, что показатели численности видов животных в заказниках превалируют над таковыми других территорий, табл. 1. Для достоверности информация представлена в относительных величинах. Результаты получены при сравнении показателей плотности видов в охотугодьях края и на территориях заказников.
По данным В.Д. Друп (2012) на территории заказника «Александровский» плотность всех приведенных животных стабильно выше, чем таковая в прилегающих угодьях Александровского района.
На территории заказника плотность (на 1 тыс. га) таких охотничьих видов, как заяц-русак (Lepus europaeus), серая куропатка (Perdix perdix), фазан в среднем выше в 1,5; 8 и 5 раз соответственно.
На наш взгляд, важным является не только определение роли ООПТ в сохранении биологического разнообразия. Необходимо учитывать и то, что само биологическое разнообразие обладает индикационными способностями, которые можно и необходимо использовать для оценки состояния экосистем ООПТ, их мониторинга.
При оценке значения ООПТ в сохранении каждого вида необходимо учитывать: сведения об обитании вида на ООПТ; соответствие местоположения и размера ООПТ, а также установленного для неё режима природопользования условиям сохранения вида; фактическое состояние ООПТ. Основными показателями слабой нарушенности зооценозов ООПТ является присутствие в них популяций охраняемых, редких или уязвимых видов (Лагунов А. В., Смагин А. И., 2007).
Несмотря на достаточно обнадеживающие данные, полученные при анализе состояния биологического разнообразия на ООПТ Ставропольского края, на наш взгляд существующая сеть ООПТ не в состоянии обеспечить долговременное сохранение природного разнообразия региона. В настоящее время особо остро стоит задача скорейшего завершения землеустройства существующих ООПТ и продолжения работ по подготовке материалов для создания новых ООПТ регионального значения на территориях, нуждающихся в срочном повышении их природоохранного статуса. Необходимо проектирование системы ООПТ, гарантирующей охрану основных центров биоразнообразия края, которая послужит основой для экологического каркаса. Помимо этого требуется принятие целого комплекса мер по охране живой природы на преобразованных, хозяйственно используемых территориях с целью предотвращения их дальнейшей деградации.
Таблица 1 – Сравнительная оценка плотности популяций животных, обитающих на территории муниципальных районов Ставропольского края и обитающих на территориях заказников, находящихся в пределах этих районов (анализ проведен по данным Министерства природных ресурсов и охраны окружающей среды CK на основании зимнего учета численности охотничьих животных на территории Ставропольского края (2010 г.)


Примечание: данные плотности популяций животных представлены из расчета отношения численности их популяций к площадям муниципальных районов и площадям заказников Ставропольского края. Подчеркнуты показатели плотности популяций тех видов животных, которые превосходят таковые на территориях заказников по сравнению с остальной площадью муниципальных районов Ставропольского края.
Указанные проблемы требуют комплексного решения, основанного на глубокой программной проработке всех вопросов.
Список использованных источников:1. Амельченко В. П. Колесниченко Сохранение биоразнообразия редких видов растений в составе остепненных сообществ на особо охраняемых природных территориях Юга Тюменской области / В. П. Амельченко, Т. А. Рыбина, Л. И. Герасько, Л. Г. // Вестник Томского государственного педагогического университета, 2009, № 11. С. 132–139.
2. Друп В. Д. Сравнительный анализ биоразнообразия на территории ООПТ «Александровский» и прилегающих к нему охотничьих угодьях // Современные проблемы науки и образования. – 2012. – № 6; URL: www.science-education.ru/106-7500 (дата обращения: 04.02.2013).
3. Исаченко А.Г. Экологическая география России. – СПб.: Изд-во Петерб. ун-та, 2001. – 328 с.
4. Кондратьева А. А. Природно-экологический каркас степной зоны (на примере ландшафтов Ставропольского края): автореф. дис. … канд. геогр. наук. – Ростов-н/Д., 1999. – 18 с.
5. Кондратьева А. А. К разработке природного каркаса Ставрополья//Вестник СПГУ, № 2, 1995. – С. 27–30.
6. Лагунов А. В., Смагин А. И. Восточно-уральский государственный заповедник в системе особо охраняемых природных территорий Челябинской области // Вопросы радиационной безопасности. – 2007. – № S. – С. 45–67.
7. Лысенко И. О., Шейкина Н. Н. Особенности экологического каркаса г. Ставрополя и прилегающих территорий // Вестник Тамбовского ун-та. Серия: Естественные и технические науки. 2009. Т. 14. № 1. —С. 140–142.
6. Лысенко И. О., Емельянов А. В., Зеленская Т. Г. Разработка системы биотехнических мероприятий по содержанию и разведению пятнистого оленя (Сervus nippon) в заказнике “Стрижамент” Ставропольского края // Вестник АПК Ставрополья, 2012. № 1 (5). С. 100–102.
8. Пелипенко Ю. Г., Лысенко И. О. Научный подход в организации экологической тропы на основании расчета индекса си-нантропизации флоры заказника «Александровский» // Вестник АПК Ставрополья. 2012. № 4. – С. 107–110.
9. Тишков А. А. Биосферные функции природных экосистем России. М.: Наука, 2005, 309 с.
Е. В. Диреганов
директор ГКУ «Дирекция особо охраняемых природных территорий Ставропольского края», г. Ставрополь
И. О. Лысенко, А. В. Лысенко, М. В. Билько
ФГБОУ ВПО «Ставропольский государственный аграрный университет», г. Ставрополь
Сравнительная оценка заказников Ставропольского края на основе расчета показателя их природоохранной ценности
Аннотация: проведена сравнительная оценка заказников Ставропольского края на основе расчета показателя их природоохранной ценности. Установлено, что наиболее значимыми в природоохранном плане (по данному показателю) являются Прикалаусско-Саблинский, Подкумско-Золкинский и Верхнеегорлыкский природные комплексы.
Ключевые слова: заказники, Ставропольский край, природоохранная ценность особо охраняемых природных территорий (ООПТ), ландшафтно-экологические комплексы.
Сбалансированное экономическое, социальное и экологическое развитие любого региона зависит от сохранения в его пределах пространственно связной системы территориальных образований, имеющих регламентированный режим природопользования, обеспечивающих определенное качество окружающей среды. Эту систему территориальных образований определяют в качестве экологического каркаса.
Сущность концепции природно-экологического каркаса определяют следующие положения: создание развитой системы охраняемых природных территорий как основы природного каркаса; оптимизация структуры ландшафтно-земельного фонда, т. е. формирование и поддержание оптимального соотношения природных и антропогенных ландшафтов, при котором обеспечиваются необходимое биоразнообразие и устойчивость ландшафта; сохранение природного и культурного наследия; сохранение и воссоздание эстетических, исторических, рекреационных и информационных качеств природной среды. Задачи каркаса, формируемого в зоне преобладания степных ландшафтов: сохранение от распашки целины, стабилизация водного режима рек, оптимизация нагрузки на естественные пастбища, охрана и восстановление естественных ландшафтов (Кондратьева А. А., 1995, 1999; Лысенко И.О., Шейкина Н.Н., 2009; Пелипенко Ю.Г., Лысенко И.О., 2012).
Одной из составляющих при ландшафтно-экологической оценке территории является анализ экологической (природоохранной) ценности выделенных природных комплексов. Эта оценка может проводиться с разных позиций. А. Г. Исаченко (2001) провел подобную оценку на основе экологического потенциала ландшафтов, под которым понимается их способность обеспечивать потребность во всех необходимых первичных средствах существования (воде, тепле, воздухе, источниках пищи), а также в природных условиях трудовой деятельности, отдыха, лечения, духовного развития. Эта методика достаточно хорошо зарекомендовала себя на мелкомасштабном уровне, при оценке экологического потенциала ландшафтов всей России.
Другой часто используемый подход – выявление экологической ценности ландшафтов через степень их антропогенной трансформации по сравнению с фоновыми, ненарушенными ландшафтами. В этом случае анализируется один или несколько структурно-функциональных параметров, определяющих естественное состояние геосистем (биомасса, продуктивность, биогеохимические особенности живых организмов и др.) и отклонения этих параметров под влиянием деятельности человека. Чем больше площадь естественных и слабоизмененных природных комплексов, тем выше их экологическая ценность.
Еще один часто встречающийся в научных исследованиях биоценотический подход основан на выявлении мест локализации редких и исчезающих видов растений и животных (часто занесенных в Красные книги разных уровней), видов животных, находящихся на верхних уровнях трофической пирамиды, а также природных объектов, играющих ключевую роль в сохранении этих видов и популяций (места массовых скоплений, участки размножения, миграционные коридоры и т. п.). Предполагается, что чем больше число краснокнижных видов встречается в природных комплексах, тем выше их экологическая ценность.
Выбор определяется решаемыми задачами и наличием и/или доступностью источников информации по тем или иным природным объектам, отражающим их экологическую ценность.
В настоящей работе в качестве основы для анализа использованы данные о наличии в пределах ландшафтно-экологических комплексов существующих и перспективных особо охраняемых природных территорий – заказников, имеющих краевой статус. При этом принимается допущение, что площадь ООПТ и жесткость вводимых природоохранных ограничений (зависящая от категории ООПТ) коррелирует с экологической ценностью территории, в частности с ненарушенностью природных комплексов, высоким биоразнообразием и т. п. Необходимо отметить, что данный подход может быть использован лишь в староосвоенных регионах с достаточно развитой сетью существующих и перспективных ООПТ. Ставропольский край, безусловно, входит в число таких регионов. В Ставропольском крае развита сеть природных заказников краевого значения, но большинство из них было организовано без соблюдения основных ландшафтно-географических принципов. Отчасти, именно это стало причиной нарушения их функциональных способностей, а впоследствии привело и к частичной дегрессии.
Основными параметрами, которые использовались при оценке, являлись площадь и категория ООПТ в пределах ландшафтно-экологических комплексов. При оценке не учитывалось состояние ООПТ (погрешность методики). Для расчетов использовалась формула 1:

где Ip – индекс природоохранной ценности,
R – коэффициент, зависящий от категории ООПТ,
Si – площадь той или иной категории ООПТ внутри ландшафтно-экологического комплекса,
S – общая площадь комплекса.
Для определения коэффициента R использовали международную классификацию ООПТ, содержащую шесть существующих категорий (таблица 1), по которой установили, что искомый коэффициент будет иметь значение – 3, поскольку изучаемые нами ООПТ относятся к управляемым природным резерватам. Все сравниваемые нами заказники носят статус ООПТ краевого значения.
Как видно из формулы 1, для расчета природоохранной ценности ООПТ необходима не только площадь самой охраняемой территории, но и общая площадь природного ландшафтного комплекса.
Данные о площадях ООПТ и природных ландшафтных комплексов, на территории которых они расположены приведены в таблице 2.
Рассчитали индекс экологической (природоохранной) ценности ландшафтно-экологических комплексов в пределах которых находятся изучаемые ООПТ (табл. 2).
Таблица 1 – Соотношение ООПТ России с международной классификацией

Таблица 2 – Индекс природоохранной ценности для ландшафтно-экологических комплексов



Таким образом, сравнивая индекс природоохранной ценности для ландшафтно-экологических комплексов Ставропольского края, установили, что наиболее значимыми в природоохранном плане (по данному показателю) являются Прикалаусско-Саблинский, Подкумско-Золкинский и Верхнеегор-лыкский природные комплексы.
На наш взгляд, для достоверности получаемой информации сравнивали изучаемые ООПТ, не только по показателям индекса природоохранной ценности, но и другим их характеристикам: размерам, местоположению, степени хозяйственного освоения, состоянию биологического разнообразия.
Список использованных источников:1. Исаченко А. Г. Экологическая география России. СПб.: Изд-во Петерб. ун-та, 2001. – 328 с.
2. Кондратьева А. А. Природно-экологический каркас степной зоны (на примере ландшафтов Ставропольского края): Автореф. дис. … канд. геогр. наук. – Ростов-н/Д., 1999. – 18 с.
3. Кондратьева А. А. К разработке природного каркаса Ставрополья // Вестник СПГУ, № 2, 1995. – С. 27–30.
4. Лысенко И. О., Шейкина Н. Н. Особенности экологического каркаса г. Ставрополя и прилегающих территорий // Вестник Тамбовского университета. Серия: Естественные и технические науки. 2009. Т. 14. № 1. —С. 140–142. 5. Пелипенко Ю. Г., Лысенко И. О. Научный подход в организации экологической тропы на основании расчета индекса синантропизации флоры заказника «Александровский» // Вестник АПК Ставрополья. 2012. № 4. – С. 107–110.







