
Полная версия:
Нурмурад Какамурадович Нурмурадов Оценочные средства по биохимии. Учебное пособие для студентов ветеринарных специальностей
- + Увеличить шрифт
- - Уменьшить шрифт

Татьяна Лобаева, Ирина Смирнова, Нурмурад Нурмурадов
Оценочные средства по биохимии. Учебное пособие для студентов ветеринарных специальностей
Список сокращений и условных обозначений
АДФ – аденозинтрифосфат
АМК – аминокислота
АМФ – аденозинмонофосфат
цАМФ – циклический АМФ
АТФ – аденозинтрифосфат
АТФаза – аденозинтрифосфата
ВЖК – высшая жирная кислота
ГАФ – глицеральдегид-3-фосфат
ГДФ – гуанозиндифосфат
ГМФ – гуанозинмонофосфат
ГТФ – гуанозинтрифосфат
ДАГ – диацилглицеролы
ДАФ – диоксиацетонфосфат
α-КГ – α-кетоглутаровая кислота
КоА – кофермент (коэнзим) А
КоQ – кофермент (коэнзим) Q
КФ – классификация ферментов
ЛП – липопротеины
ЛПВП – липопротеины высокой плотности
ЛПНП – липопротеины низкой плотности
ЛПОНП – липопротеины очень низкой плотности
МАГ – моноацилглицеролы
МАО – моноаминооксидаза
НАД+ – никотинамидадениндинуклеотид окисленный
НАДН(Н+) – никотинамидадениндинуклеотид восстановленный
НАДФ+ – никотинамидадениндинуклеотидфосфат окисленный
НАДФН(Н+) – никотинамидадениндинуклеотидфосфат восстановленный
ПВК – пировиноградная кислота
ПФ – пиридоксальфосфат
СДГ – сукцинатдегидрогеназа
ТАГ – триацилглицеролы
ТХУ – трихлоруксусная кислота
УДФ – уридиндифосфат
УМФ – уридинмонофосфат
УТФ – уридинтрифосфат
ФАД – флавинадениндинуклеотид окисленный
ФАДН2 – флавинадениндинуклеотид восстановленный
ФЕП – фосфоенолпируват
ФМН – флавинаденинмононуклеотид
Фн – неорганический фосфат
ФФн – неорганический пирофосфат
ФФК – фосфофруктокиназа
ФЭК – фотоэлектроколориметр
ХЭ – холинэстераза
ЦТК – цикл трикарбоновых кислот (цикл Кребса)
ЩУК – щавелевоуксусная кислота
D – оптическая плотность
Dоп – оптическая плотность опытного образца
Dст – оптическая плотность стандартного образца
Dк – оптическая плотность контрольного образца
КМ – константа Михаэлиса
Vmax – максимальная скорость реакции
Раздел 1. Аминокислоты, простые и сложные белки, нуклеиновые кислоты, ферменты, витамины и коферменты (тестовые задания)
1. Заменимая аминокислота для человека:
1. фенилаланин
2. тирозин
3. триптофан
4. треонин
2. Гидрофобная аминокислота:
1. глутамин
2. серин
3. треонин
4. фенилаланин
3. При денатурации белка не разрушаются связи:
1. 1.дисульфидные
2. водородные
3. пептидные
4. ионные
4. Величина Rf при бумажной хроматографии будет наибольшей для амиинокислоты:
1. глицина
2. треонина
3. серина
4. валина
5. Отрицательно заряженной АМК является:
1. глутамин
2. аланин
3. глутамат
4. лизин
6. Биуретовая реакция не дает окраски с:
1. простыми белками
2. дипептидами
3. трипептидами
4. альбуминами
7. Наиболее прочные связи в молекуле белка:
1. водородные
2. дисульфидные
3. пептидные
4. ионные
8. Нуклеотидом является:
1. аденин
2. аденозингидролаза
3. цитидин
4. аденозинмонофосфат
9. В молекуле ДНК неверно:
1. А+Ц=Г+Т
2. А=Т
3. Г=Ц
4. А+Т=Г+Ц
10. Молекула гемоглобина:
1. мономер
2. димер
3. триммер
4. тетрамер
11. Незаменимая аминокислота для человека:
1. аспарагин
2. глутаминовая кислота
3. валин
4. орнитин
12. Денатурация белка может произойти при добавлении:
1. конц. азотной кислоты
2. сульфата меди
3. азотнокислого серебра
4. любого из вышеперечисленных соединений
13. Простетической группой гликопротеинов могут быть:
1. галактоза
2. глюкозамин
3. глюкуроновая кислота
4. все вышеперечисленные вещества
14. Нуклеиновые кислоты отличаются от белков тем, что:
1. это высокомолекулярные соединения
2. имеют сложную пространственную структуру
3. не содержат аминокислотных остатков
4. состоят из мономеров
15. Нуклеозидом является:
1. гуанозин
2. урацил
3. тимин
4. аденозинтрифосфат
16. Сульфгидрильную группу (тиогруппу) содержит аминокислота:
1. аспарагин
2. гистидин
3. цистеин
4. глутамин
17. Методом ионообменной хроматографии нельзя разделить одну из следующих пар аминокислот:
1. глутамат и лизин
2. глутамат и лейцин
3. лейцин и лизин
4. лейцин и валин
18. Вторичную структуру белков стабилизируют химические связи:
1. амидные
2. гидрофобные
3. водородные
4. ионные
19. Нингидриноая реакция не дает окраски с:
1. карбоновыми кислотами
2. дипептидами
3. трипептидами
4. свободными аминокислотами
20. Неокрашенный белок:
1. пепсин
2. каталаза
3. миоглобин
4. гемоглобин
21. В состав РНК не входит:
1. АМФ
2. ГМФ
3. ТМФ
4. ЦМФ
22. Серповидно-клеточная анемия связана с заменой в молекуле гемоглобина:
1. глу на вал
2. глу на асп
3. вал на лей
4. вал на цис
23. Заменимая аминокислота:
1. лейцин
2. лизин
3. фенилаланин
4. пролин
24. Гидрофобная аминокислота:
1. серин
2. треонин
3. триптофан
4. аспартат
25. Смесь белков с различной молекулярной массой нельзя разделить:
1. гель-фильтрацией
2. ионообменной хроматографией
3. диализом
4. электрофорезом
26. В образовании третичной структуры белков непосредственно не участвуют связи:
1. дисульфидные
2. гидрофильные
3. ионные
4. пептидные
27. Положительную ксантопротеиновую реакцию дает:
1. цистеин
2. метионин
3. триптофан
4. аргинин
28. Молекулярную массу белков можно определить:
1. ультрацентрифугированием
2. диализом
3. ионообменной хроматографией
4. колориметрически
29. Незаменимая аминокислота для человека:
1. изолейцин
2. аланин
3. глицин
4. цистеин
30. Гидрофильная аминокислота:
1. валин
2. фенилаланин
3. лейцин
4. лизин
31. К простым белкам нельзя отнести:
1. протамин
2. гемоглобин
3. гистоны
4. альбумины
32. Для очистки белков от низкомолекулярных примесей используют метод:
1. гель-фильтрации
2. электрофореза
3. ионообменной хроматографии
4. гидролиза
33. Положительную реакцию Фоля дает:
1. триптофан
2. гистидин
3. цистеин
4. треонин
34. Чем отличаются разные типы РНК:
1. первичной структурой
2. молекулярной массой
3. последовательностью нуклеотидов
4. всеми вышеперечисленными параметрами
35. Гемопротеином не является:
1. миоглобин
2. каталаза
3. гемоглобин
4. казеин
36. Белки с различной молекулярной массой можно разделить, используя:
1. трихлоруксусную кислоту
2. сульфат меди
3. сульфат аммония
4. все вышеперечисленные соединения
37. Олигомерные белки:
1. состоят из нескольких полипептидных цепей
2. не содержат α-спиральных участков
3. проходят через полупроницаемую мембрану
4. не обладают четвертичной структурой
38. Молекулы ДНК:
1. заряжены положительно
2. находятся в лизосомах
3. находятся в ядре и митохондриях
4. связываются с положительно заряженными белками
39. Азотистые основания могут входить в состав:
1. полипептидов
2. нуклеотидов
3. глобулинов
4. альбуминов
40. Молекулы тРНК:
1. содержат полиаденилатную последовательность
2. содержат более 500 мононуклеотидов
3. содержат много минорных нуклеотидов
4. содержат антикодон
41. Гемоглобины ответственны за:
1. транспорт железа
2. транспорт кислорода
3. поддержание постоянного рН крови
4. поддержание постоянной температуры тела
42. Серповидно-клеточная анемия связана с:
1. изменением первичной структуры альфа-цепей гемоглобина
2. изменением первичной структуры бета-цепей гемоглобина
3. недостаточно интенсивным синтезом альфа-цепей гемоглобина
4. недостаточно интенсивным синтезом бета-цепей гемоглобина
43. Молекула гема состоит из производных:
1. пиррола
2. пурина
3. пиримидина
4. имидазола
44. Участку ДНК – ГТАЦАГ будет комплементарна последовательность РНК:
1. ЦУГУАЦ
2. ЦАУГУЦ
3. ЦТГТАЦ
4. ЦАТГТЦ
45. Простетические группы гликопротеинов:
1. галактоза
2. глюкозамин
3. глутаминовая кислота
4. нуклеиновая кислота
46. Интерфероны – это молекулы:
1. простых белков или гликопротеинов
2. одноцепочечной РНК
3. двухцепочечной РНК
4. гемопротеинов
47. Какие типы связей формируют первичную структуру нуклеиновых кислот?
1. ионные
2. гидрофобные
3. водородные
4. гликозидные и сложноэфирные
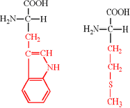
48. На рисунке изображены аминокислоты:

1. фенилаланин и цистеин
2. лейцин и валин
3. лизин и пролин
4. аргинин и лизин
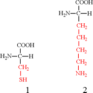
49. На рисунке изображены аминокислоты:

1. фенилаланин и аргинин
2. лейцин и валин
3. триптофан и метионин
4. валин и лизин
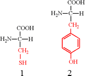
50. На рисунке изображены аминокислоты:

1. аспарагин и цистеин
2. лейцин и валин
3. триптофан и метионин
4. глутамин и глицин
51. Какая аминокислота даёт положительную реакцию Фоля?

52. Какая аминокислота даёт положительную ксантопротеиновую реакцию?

53. При формировании какой белковой структуры проявляются нативные биологические свойства мономерных белков?
1. Первичной структуры
2. Вторичной структуры
3. Третичной структуры
4. Четвертичной структуры
54. Как называется отдельная полипептидная цепь, входящая в состав четвертичной структуры белка?
1. Протомер
2. Домен
3. Глобулин
4. Пептид
55. Что такое фолдинг белка?
1. Расщепление на пептиды
2. Присоединение к лиганду
3. Сворачивание полипептидной цепи в трехмерную структуру
4. Ковалентная модификация белка после трансляции
56. Какими связями в молекуле белка стабилизируются β-складчатые слои?
1. Водородными
2. Ковалентными
3. Ионными
4. Пептидными
57. На каком уровне формирования структуры белка происходит образование доменов?
1. Первичной структуры
2. Вторичной структуры
3. Третичной структуры
4. Четвертичной структуры
58. Какой фактор вызывает обратимое осаждение белков сыворотки крови?
1. Кипячение
2. Раствор сульфата меди
3. Органические кислоты
4. Насыщенный раствор сульфата аммония
59. Через какие аминокислотные остатки белков связываются углеводные остатки с помощью О-гликозидных связей?
1. Лизина
2. Аргинина
3. Валина
4. Треонина
60. Выберите неокрашенный белок
1. Амилаза
2. Каталаза
3. Миоглобин
4. Гемоглобин
61. Выберите простетическую группу гликопротеинов
1. Галактоза
2. Глицерин
3. Глутаминовая кислота
4. Нуклеиновая кислота
62. Выберите верное утверждение
1. Домен белка – элемент третичной структуры белка, фолдинг которого происходит независимо от остальных частей белка
2. Домен белка – элемент вторичной структуры белка, представленный α-спиралями и β-складчатыми слоями
3. Домен белка – элемент третичной структуры белка, расположенный внутри мембраны
4. Домен белка – элемент четвертичной структуры белка, сформированный одной полипептидной цепью
63. С помощью каких связей связаны нуклеотиды в составе нуклеиновых кислот?
1. Гликозидные
2. 3’, 5’-фосфодиэфирные
3. Водородные
4. Гидрофобные
64. Какая связь присутствует в нуклеозиде?
1. N-гликозидная связь
2. O-гликозидная связь
3. Пептидная связь
4. Сложноэфирная связь
65. Какие соединения являются мономерами нуклеиновых кислот?
1. Нуклеозиды
2. Азотистые основания
3. Нуклеотиды
4. Аминокислоты
66. В каком типе нуклеиновых кислот присутствует тимин?
1. рРНК
2. мРНК
3. ДНК
4. тРНК
67. Что такое кодон?
1. Последовательность из трёх мононуклеотидов в составе мРНК
2. Мононуклеотид в составе мРНК
3. Последовательность из трёх мононуклеотидов в составе тРНК
4. Три мононуклеотида в ДНК, кодирующие последовательность аминокислот в белке
68. Укажите, что является нуклеозидом
1. Аденин
2. Аденозин
3. Аденозин-5‘-монофосфат
4. Аденозин-5’-трифосфат
69. Укажите, что является нуклеозидом
1. Уридин
2. Урацил
3. Уридин-5‘-монофосфат
4. Уридин-5’-трифосфат
70. Укажите, что является азотистым основанием
1. Уридин
2. Урацил
3. Уридин-5‘-монофосфат
4. Уридин-5’-трифосфат
71. Как называется углевод, который находится в составе РНК?
1. δ-Глюкоза
2. Дезоксирибоза
3. Фруктоза
4. Рибоза
72. Чем отличается нуклеотид от нуклеозида?
1. Не содержит азотистых оснований
2. Содержит остаток рибозы
3. Содержит остаток фосфорной кислоты
4. Имеет меньшую молекулярную массу
73. Какое азотистое основание содержит пуриновое кольцо?
1. Урацил
2. Тимин
3. Цитозин
4. Гуанин
74. Какое азотистое основание содержит пиримидиновое кольцо?
1. Аденин
2. Гуанин
3. Цитозин
4. N6-Метиладенин
75. Какие вещества называются ингибиторами ферментов?
1. Повышающие скорость ферментативных реакций
2. Вызывающие деградацию ферментов
3. Снижающие скорость ферментативных реакций
4. Снижающие растворимость ферментов
76. Как называется ингибирование ферментов по типу отрицательной обратной связи?
1. Конкурентное ингибирование
2. Необратимое ингибирование
3. Ретроингибирование
4. Смешаное ингибирование
77. Выберите верное утверждение
1. Конкурентный ингибитор является структурным аналогом субстрата
2. Конкурентный ингибитор связывается в аллостерическом центре
3. Конкурентный ингибитор уменьшает КМ
4. Конкурентный ингибитор снижает максимальную скорость реакции
78. Выберите верное утверждение
1. Конкурентный ингибитор связывается в аллостерическом центре
2. Конкурентный ингибитор связывается с ферментом необратимо
3. Конкурентный ингибитор повышает КМ
4. Конкурентный ингибитор снижает КМ
79. Как изменяются Vmax и KM при действии конкурентных ингибиторов?
1. Vmaxуменьшается, KM постоянна
2. Vmaxпостоянна, KMуменьшается
3. Vmaxуменьшается, KMувеличивается
4. Vmaxпостоянна, KMувеличивается
80. Какое утверждение является верным?
1. Неконкурентный ингибитор связывается в активном центре
2. Неконкурентный ингибитор снижает Vmax
3. Неконкурентный ингибитор не изменяет Vmax
4. Неконкурентный ингибитор повышает KM
81. В присутствии каких соединений ферменты могут необратимо терять активность?
1. Солей свинца
2. Кофермента
3. Хлорид-ионов
4. Нитрат-ионов
82. Как называются ферменты, катализирующие одну и ту же реакцию, но отличающиеся аминокислотной последовательностью и физико-химическим свойствам?
1. Изоферменты
2. Сопряженные ферменты
3. Ключевые ферменты
4. Аллостерические ферменты
83. Выберите верное утверждение
1. Изоферменты катализируют разные реакции
2. Изоферменты катализируют одну и ту же реакцию
3. Изоферменты кодируются одним и тем же геном
4. Изоферменты не различаются по физико-химическим свойствам
84. Чем определяется субстратная специфичность холофермента?
1. Коферментом
2. Апоферментом
3. Аллостерическим эффектором
4. Всеми перечисленными факторами
85. Как называется полипептидная часть сложного фермента?
1. Апофермент
2. Кофермент
3. Простетическая группа
4. Холофермент
86. Как можно устранить конкурентное ингибирование?
1. Повышением температуры
2. Добавлением продукта реакции
3. Добавлением избытка субстрата
4. Добавлением ионов тяжелых металлов
87. Как называется небелковая часть фермента?
1. Кофермент
2. Холофермент
3. Апофермент
4. Изофермент
88. Что такое аллостерический центр фермента?
1. Участок молекулы ионизирующей субстрат
2. Участок молекулы, обеспечивающий присоединение субстрата
3. Участок молекулы, с которым связываются специфические эффекторы
4. Небелковая часть фермента
89. Что положено в основу принятой классификации ферментов?
1. Тип третичной структуры фермента
2. Тип катализируемой реакции
3. Тип субстрата
4. Тип регуляции активности фермента
90. К какому классу относятся ферменты, катализирующие реакции межмолекулярного переноса групп атомов?
1. Изомеразы
2. Трансферазы
3. Транслоказы
4. Лиазы
91. К какому классу относятся ферменты, катализирующие окислительно-восстановительные реакции?
1. Лиазы
2. Гидролазы
3. Оксидоредуктазы
4. Лигазы
92. К какому классу относятся ферменты, осуществляющие реакции синтеза без участия АТФ?
1. Лиазы
2. Лигазы
3. Оксидоредуктазы
4. Изомеразы
93. Под действием каких ферментов от фосфопротеинов отщепляется фосфат?
1. Протеиназ
2. Фосфатаз
3. Протеинкиназ
4. Фосфорилаз
94. Что входит в состав активного центра сложного фермента?
1. Аминокислотные остатки и аллостерический регулятор
2. Аминокислотные остатки и кофермент
3. Аминокислотные остатки и активатор
4. Аминокислотные остатки и углевод
95. При каком рН большинство ферментов организма человека проявляют максимальную активность?
1. 1,5–2,0
2. 5,0
3. 8,0–9,0
4. 6,0–8,0
96. Благодаря чему при участии фермента ускоряется течение биохимической реакции?
1. Повышению энергии активации
2. Снижению энергии активации
3. Сдвигу равновесия реакции
4. Изменению концентрации продукта реакции
97. Что такое константа Михаэлиса (КМ)?
1. Концентрация субстрата, при которой скорость реакции является максимальной
2. Концентрация субстрата, при которой скорость реакции равна половине максимальной
3. Насыщающая концентрация субстрата
4. Концентрация продукта реакции при максимальной скорости реакции
98. Что характеризует КМ?
1. Сродство фермента к субстрату
2. Эффективность активатора
3. Скорость ферментативной реакции
4. Сродство фермента к продукту
99. Что такое апофермент?
1. Небелковая часть молекулы фермента
2. Белковая часть молекулы фермента
3. Простетическая часть молекулы фермента
4. Домен фермента, связывающий кофермент
100. Что такое холофермент?
1. Белковая часть молекулы фермента
2. Небелковая часть молекулы фермента
3. Белковая часть, соединенная с небелковой частью
4. Домен фермента, связывающий аллостерический регулятор
101. Как измеряют скорость ферментативной реакции?
1. По убыли субстрата в единицу времени
2. По убыли продукта в единицу времени
3. По скорости денатурации фермента
4. По изменению концентрации фермента
102. Каким из способов нельзя разделить смесь ферментов?
1. Высаливание
2. Диализ
3. Гель-фильтрация
4. Электрофорез
103. Что такое 1 катал?
1. Количество фермента, катализирующее образование 1 моль продукта в 1 с при стандартных условиях
2. Количество молекул субстрата, превращающихся на 1 молекуле фермента за 1 с.
3. Число единиц активности фермента, приходящееся на 1 мг белка
4. Количество фермента, превращающее при стандартных условиях 1 ммоль субстрата в 1
104. Какая патология наблюдается у детей при дефиците рибофлавина?
1. Задержка роста
2. Остеопороз
3. Анемия
4. Рахит
105. Какое заболевание развивается при недостатке витамина С?
1. Пеллагра
2. Цинга
3. Рахит
4. Бери-бери
106. При недостатке какого витамина развивается куриная слепота, сухость слизистых оболочек, поражение кожи?
1. Тиамина
2. Кобаламина
3. Витамина А
4. Витамина К
107. Какая патология отмечается при авитаминозе ретинола?
1. Выпадение волос
2. Куриная слепота
3. Остеомаляция
4. Анемия
108. Какое заболевание вызывается у детей при авитаминозе витамина D?
1. Бери-бери
2. Рахит
3. Анемия
4. Цинга
109. Всасыванию какого витамина способствует добавление масла к растительной пище?
1. Тиамина
2. Биотина
3. Рибофлавина
4. Ретинола
110. Какой ион металла специфически связан с витамином В12?
1. Кобальт
2. Медь
3. Цинк
4. Железо
111. Какие витамины содержат атом серы?
1. Пиридоксин и кобаламин
2. Биотин и тиамин
3. Никотиновая кислота и тиамин
4. Аскорбиновая кислота и филлохинон
112. Какой витамин образуется под действием ультрафиолетового излучения из холестерина?
1. Ретинол
2. Кальциферол
3. Филлохинон
4. Кобаламин
113. Выберите функцию витаминов
1. Иммунная
2. Коферментная
3. Энергетическая
4. Терморегуляторная
114. Выберите витамин, участвующий в созревании коллагена
1. Филлохинон

