
Полная версия:
Николай Петрович Морозов Операции над матрицами средствами MS Excel
- + Увеличить шрифт
- - Уменьшить шрифт

Операции над матрицами средствами MS Excel
Николай Петрович Морозов
© Николай Петрович Морозов, 2024
ISBN 978-5-0064-6046-1
Создано в интеллектуальной издательской системе Ridero
Этой книгой я продолжаю курс практических занятий по Линейной алгебре, которые я проводил со студентами университета культуры и искусств в городе Санкт – Петербурге. но уже с широким применением приложения MS Ofice Excel.
1.Определители матрицы
1.1.Определители 2-го порядка
Пусть дана квадратная таблица из следующих чисел:

Матрица A
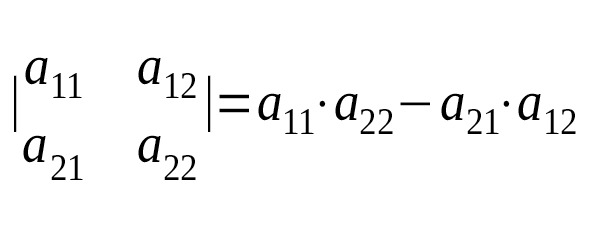
Число A = а11∙а22 – а12∙а21 называется определителем 2-го порядка и соответствует приведенной выше матрице Этот определитель обозначается символом det A и вычисляется по следующему правилу:

Правило вычисления определителя второго порядка.
Числа а11,а22, а12,а21 являются элементами определителя. Говорят, что элементы а11,а22 лежат на главной диагонали определителя, а а12,а21 – на побочной.
Таким образом определитель 2-го порядка равен разности между произведениями элементов, лежащих на главной и побочной диагоналях.
1.2.Определители 3-го порядка
Рассмотрим таблицу из 9-ти элементов:

Определитель 3-го порядка.
Определителем 3-го порядка, соответствующим зтой таблице, называется число, равное:
а11∙а22∙а33 + а21∙а23∙а31 + а21∙а32∙а13 – а13∙а22∙а31 – а11∙а32∙а23 – а21∙а12∙а33
Этот определитель обозначается символом det:
При вычислении определителя 3-го порядка удобно пользоваться правилом треугольника (правилом Саррюса):
1.3.Свойства определителей
1) Равноправность строк и столбцов: определитель не изменится, если его строки заменить столбцами или наоборот.

Первое свойство определителя (2-го порядка).

Первое свойство определителя (3-го порядка).
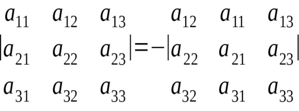
2) При перестановке двух параллельных рядов, определитель меняет знак.

Второе свойство определителя (3-го порядка).
3) Определитель, имеющий два одинаковых ряда, равен 0

Третье свойство определителя (3-го порядка).
4) Общий множитель элементов какого-либо ряда определителя можно выносить за знак определителя.

Четвертое свойство определителя (3-го порядка).
Из свойств 3 и 4 следует, что если все элементы некоторого ряда пропорциональны соответствующим элементам параллельного ряда, то такой определитель равен 0

Следствие из свойств 3 и 4.
5) Если элементы какого-либо ряда определителя представляют собой суммы двух слагаемых, то определитель может быть разложен на сумму двух соответствующих определителей.

Пятое свойство определителя (3-го порядка).
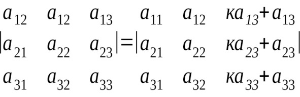
6) Элементарные преобразования определителя.
Определитель не изменится, если к элементам одного ряда прибавить соответствующие элементы параллельного ряда, умноженные на любое число:

Элементарные преобразования определителя (3го порядка)..
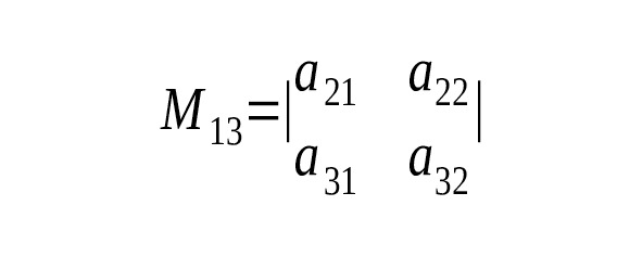
Минором некоторого элемента аij определителя n-ого порядка называется определитель n-1 —ого порядка, полученный из исходного, путем вычеркивания i – строки, j – столбца
Обозначается Мij

Минор элемента аij

Минор элемента а13
Алгебраическим дополнением элемента Аij определителя называется его минор (Мij), взятый со знаком «+», если сумма i+j – четное число, «-» если i+j – нечетное число.
Конец ознакомительного фрагмента.
Текст предоставлен ООО «Литрес».
Прочитайте эту книгу целиком, купив полную легальную версию на Литрес.
Безопасно оплатить книгу можно банковской картой Visa, MasterCard, Maestro, со счета мобильного телефона, с платежного терминала, в салоне МТС или Связной, через PayPal, WebMoney, Яндекс.Деньги, QIWI Кошелек, бонусными картами или другим удобным Вам способом.







