
Полная версия:
Максим Тимурович Саблин Как погасить кредит? На примере ипотеки
- + Увеличить шрифт
- - Уменьшить шрифт

Как погасить кредит?
На примере ипотеки
М. Т. Саблин
© М. Т. Саблин, 2016
© Мария Бангерт, дизайн обложки, 2016
ISBN 978-5-4483-5492-2
Создано в интеллектуальной издательской системе Ridero
От автора
Многолетнее сопровождение взыскания задолженности с заемщиков физических лиц дало огромный материал не только для помощи кредиторам, но и для помощи заемщикам. Как оказалось, есть тысячи различных историй попадания в долговую яму, начиная от краха бизнеса и до потери работы. И есть столько же способов решить эти проблемы.
Книга адресована не только «просрочнику», но и обычному заемщику, у которого все нормально, но который хотел бы обезопасить себя от любых рисков при погашении кредита. Да, почти каждый из заемщиков думает про себя – «Это со мной не случится», «Я сам и так все знаю». Но очень многие «просрочники» тоже думали именно так.
Можно задать себе для проверки вопрос: «А как я погашу кредит, если потеряю работу и не смогу быстро найти новую?» Ведь бывают же кризисы, когда и самые классные специалисты вынуждены затягивать пояса потуже.
Цель книги – рассказать заемщику, что такое кредит, как его погашать, как быть, если возникла просрочка – на примере ипотечного кредита. Сложно поверить, но больше половины заемщиков, вышедших на просрочку свыше 30 дней, не берут трубку телефона, когда им звонит банк. Разве это выход? Или же некоторые заемщики считают, что кредиты за них должно возвращать государство. Они до сих пор так считают, но уже без квартиры, как бы цинично это не звучало.
Другие заемщики слушают разного рода недобросовестных финансовых консультантов и антиколлекторов, которые говорят им: «Не платите кредиты! Скоро государство защитит вас и можно будет не платить!» К сожалению, подобного рода советы, да еще и платные, даются людьми далекими от понимания истинного положения дел и норм действующего законодательство. Как результат – заемщик не может устроиться на официальную работу (там его находит исполнительный лист и удержания), не может выехать за границу, не может получить новые кредиты, хотя мог бы погасить кредит и спокойно жить дальше и зарабатывать деньги, выстроив с банком конструктивный диалог.
Хотя вы, наверное, опять скажете – «Это не про меня». Но в критических ситуациях даже самый нормальный человек порой находит объективно нерациональные решения. Поэтому в книге мы описали всю ситуацию, чтобы заемщик понимал ее объективно, включая понимание мнение кредитора по каждому действию заемщика.
Но выход из тяжелой ситуации зависит не только от заемщика, но и от политики банка в отношении своих клиентов. В частности, от банка зависит – готов ли он рассматривать отсрочку платежа, пока заемщик не найдет работу. К сожалению, в текущей ситуации не все банки готовы идти на внесудебное урегулирование задолженности. Например, нередко добросовестный заемщик обращается в банк с просьбой дать ему отсрочку платежа, предоставляет документы, подтверждающие потерю работы, но в банке нет ни технологии рассмотрения такого заявления, ни подразделений ответственных за реструктуризацию, в связи с чем клиент даже не получает ответа. Это неправильно. Кроме того, и банки, и коллекторы, иногда перегибают палку в своем желании уменьшить просрочку.
Но таковы российские реалии на текущий момент и надо быть готовым «выживать» в них, а лучше не только «выживать», но и «выживать хорошо», побеждать свои проблемы и достигать финансового успеха. Поэтому и заемщикам, и банкам, еще надо учиться быть на высоком уровне сотрудничества и эта книга – один из проверенных рецептов успешного взаимодействия заемщиков и банков.
Как правильно получить кредит?
Остерегайтесь незначительных расходов;
маленькая течь потопит большой корабль.
Бенджамин ФранклинНа какую сумму кредита можно рассчитывать: пять правил расчета своих возможностей, ипотечный калькулятор, таблица предельных лимитов кредитования в зависимости от зарплаты
Разумный гонится не за тем, что приятно,
а за тем, что избавляет от неприятностей.
АристотельПо мнению ряда экспертов, в среднем сложности с погашением кредита испытывают около 10% заемщиков. В период кризиса в просрочку попадает от 15 до 30% заемщиков. Из этого следует, что 10—15% ипотечных заемщиков неправильно оценивают свои силы при получении ипотечного кредита.
Первый раздел данной книги посвящен анализу собственных возможностей будущего заемщика по погашению кредита на этапе еще его выдачи. Правильный анализ позволит не допустить просрочку в дальнейшем.
Есть пять основных правил расчета собственных возможностей при получении кредита:
Ежемесячный платеж по кредиту не должен превышать 1/3 от доходов семьи до вычета расходов, но с таким расчетом, чтобы оставшихся после погашения кредита средств было достаточно на определенный прожиточный минимум (еда, коммунальные платежи, транспортные расходы, одежда). Для тех, у кого высокая заработная плата рекомендуется исчислять 1/3 не от текущей зарплаты, а от минимальной зарплаты, которую такой человек легко может найти за период в 6 месяцев. В этом смысле, даже если банк готов дать кредит больше, с более высоким платежом, то целесообразно взять меньше.
Ежемесячный платеж по кредиту целесообразно изначально или путем досрочных погашений довести до размера арендной платы (или даже ниже), которую можно получить при сдаче квартиры в аренду: на случай временной невозможности исполнять обязательства появится крайний, но надежный вариант – сдать временно квартиру в аренду, а заемщику найти иное временно место жительства.
Первоначальный взнос в размере 30% от цены квартиры должен быть накоплен самостоятельно (не за счет потребительского кредита). Есть порочная практика получать потребительский кредит на сумму первоначального взноса, но это целесообразно лишь для тех, кто имеет высокие зарплаты, позволяющие легко оплачивать два кредита.
На вкладе всегда должна находиться сумма в 6 зарплат, или, как минимум, 6 ежемесячных платежей. Цель заемщика – не только получить, но и погасить кредит. Поэтому при получении кредита уже необходимо подумать о будущем. Понятно, что при получении кредита все деньги уйдут на первоначальный взнос, но в перспективе года с момента получения кредита необходимо иметь финансовую возможность накопить подобный депозит на случай потери работы. Для тех, кто не брал ипотечный кредит рекомендуется держать «про запас» три зарплаты, но у ипотечных заемщиков ситуация острее.
На случай потери трудоспособности необходимо страховать жизнь и трудоспособность. Это тоже важное направление страхования риска невозврата кредита. Если что-нибудь случается с тем заемщиком, который приносит в семью доход, то для остальных членов семьи это будет означать необходимость продажи квартиры. А при наличии страхования кредит будет погашен страховой компанией.
Если эти условия не соблюдаются, то следует снижать размер кредита и соответственно требования по цене квартиры, либо быть готовым оперативно продать квартиру при недостаточности средств для погашения кредита.
Для того, чтобы купить квартиру за счет кредитных средств самому заемщику нужно определить следующие моменты, связанные с доходами и источниками средств:
Сколько зарабатывает семья заемщика ежемесячно. Размер ежемесячных доходов считается исходя из чистой зарплаты и регулярных премий на всех членов семьи (супруги и дети), а не по одному заемщику. Очевидно, это позволяет взять кредит больше, если вся семья работает. Но если супруга и дети не работают, то это уменьшит лимит кредитования, так как будут учтены расходы на этих членов семьи. Оценивается стабильность работы заемщика на перспективу и востребованность собственной профессии на рынке. То есть следует понять, на какую заработную плату может рассчитывать заемщик, если искать работу 2—3 месяцев.
Каковы расходы на семью ежемесячно. Каждый месяц у каждого человека есть расходы. На еду, на одежду, на отдых, на коммунальные платежи, на детей. Это постоянные расходы, ограничивать которые нельзя. Эти расходы следует исключить из доходов. Исходя из этого заемщик должен определить, сколько готов безболезненно вносить ежемесячно. Это пригодится, когда банком будет определен лимит кредитования и ежемесячный платеж по кредиту. Заемщик должен проследить, чтобы ежемесячный платеж по кредиту не превышал того максимума, который заемщик готов отдавать ежемесячно. Если превышает, то необходимо снижать размера кредита и увеличивать срок его возврата.
Каков размер накоплений. Определяется сколько уже накоплено денежных средств. Первоначальный платеж за квартиру составляет 20—30% от цены квартиры.
Какие еще можно найти источники для покупки квартиры. Размер собственных накоплений не является единственным источником получения денежных средств, необходимых для покупки квартиры, к примеру, можно продать имущество либо получить субсидию.
Каков размер дополнительных разовых расходов. Вся сумма накоплений не пойдет на оплату первоначального взноса за квартиру. Из суммы накоплений следует вычесть разовые расходы на покупку квартиры и получение ипотечного кредита (риэлтор, госпошлина и пр.).
В итоге мы получаем точный размер имеющегося первоначального взноса, ежемесячного дохода и ежемесячного платежа, который готов платить заемщик. А по этим данным можно примерно узнать размер кредита, который может предоставить банк и примерную цену квартиры, на которую может рассчитывать заемщик.
Для этого используется ипотечный калькулятор. Обращаться в банк с официальной заявкой пока преждевременно, ведь мы хотим получить выгодную программу, а для этого нужно подготовиться.
Ипотечный калькулятор – это онлайн интернет сервис, позволяющий рассчитать лимит кредитования, цену квартиры и ежемесячный платеж по кредиту в зависимости от таких параметров как срок кредитования, процентная ставка, размер первоначального взноса, размер доходов, размер ежемесячного платежа. Можно использовать калькуляторы с сайтов, посвященных ипотеке, либо калькуляторы конкретных банков.
Отметим, что в калькуляторе при указании дохода необходимо указывать доход семьи после вычета налогов (то есть получаемый на руки), но до вычета ежемесячных расходов. В итоге заемщик примерно определит лимит кредитования.
Лимит кредитования напрямую влияет на выбор вида недвижимости. Если готовое жилье можно найти по низкой цене, то новостройки благодаря большому метражу оказываются в среднем дороже, несмотря на то, что квадратный метр в них стоит дешевле. Выбор вида недвижимости важен для заемщика, ведь от этого зависит, сколько он будет платить в месяц, сколько потребуется на ремонт и когда заемщик сможет жить в приобретенном объекте. Новостройка, к примеру, не дает возможности сразу вселиться в квартиру и требуют дорогостоящего ремонта.
Если вкратце, то новостройка может строиться долго и вообще не достроится, но жилье будет классом выше и без «истории». Готовое жилье позволяет сразу вселиться, но имеет определенную историю сделок и юридические риски, помимо того, что порой хуже классом, чем новостройка1. Также заемщик может купить за счет кредитных средств жилой дом либо пустой земельный участок для постройки, хотя немного банков готовы на это кредитовать, а ставка будет достаточно высокой.
Если заемщик определился между новостройкой и готовой квартирой, необходимо корректировать по ипотечному калькулятору процентную ставку – по новостройкам, как правило, ставка выше, чем по готовому жилью. Это повлияет на размер кредита и ежемесячных платежей. Также, если лимит кредитования уже одобрен в банке, не стоит ставить себе цель использовать лимит полностью. Можно купить квартиру и дешевле.
При оценке максимального лимита кредитования следует ориентироваться не на установленный лимит, а на собственное мнение о максимальном ежемесячном платеже, с учетом того, что необходимо есть, покупать одежду, ездить в путешествия и отдыхать. По сути именно размер ежемесячного платежа по кредиту является итоговым мерилом выгодности ипотечной программы.
Иногда лимит кредитования весьма значителен, допустим 30 млн. рублей. Да, заемщик может взять подобный кредит и поселиться в отличной просторной квартире, но платеж будет 300—400 тыс. в месяц. Уверен ли такой заемщик, что все 20—30 лет сможет гасить подобную сумму ежемесячно? Если не уверен, то лучше не рисковать.
Если первоначального взноса еще недостаточно для получения кредита, а может быть и иные требования к заемщику пока не соответствуют банковским (стаж, возраст), либо нужно время для получения субсидии, то стоит отложить вопрос, чтобы в дальнейшем получить наиболее выгодные условия кредитования.
Но ждать, когда все обстоятельства сложатся идеально и наступит момент покупки идеальной для покупателя квартиры тоже не стоит, если к тому нет предпосылок. Каждый день промедления на жилищном рынке стоит дорого – если сегодня не купить квартиру, то завтра за эту же квартиру нужно будет заплатить больше.
Поэтому иногда лучше купить не совсем то, что хотелось бы, но с перспективой покупки в дальнейшем другого жилья. К примеру, может быть куплена комфортная квартира в пригороде, а не в городе, может быть куплена доступная, хотя и небольшая квартира, но в городе. Это будет правильнее, чем ждать пока вырастет доход или накопиться значительный первоначальный взнос.
В дальнейшем приобретенная квартира будет использоваться как актив для улучшения жилищных условий, ведь разница в цене между сегментами квартир не столь велика, допустим в Москве лишние десять квадратных метров (одна комната) обойдется в 1—1,5 млн. рублей в среднем при общей цене квартиры в 6—8 млн.
Поэтому, если по данным ипотечного калькулятора лимит кредитования заемщика устраивает, то целесообразно начать анализировать ипотечные программы, требования банков к заемщику, к предмету ипотеки, чтобы перейти к стадии отправки заявки на получение кредита.
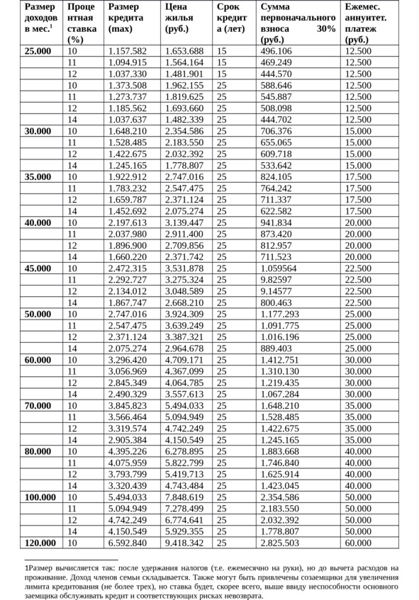
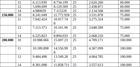
Для случая если под рукой нет интернета, чтобы узнать параметры кредита по ипотечному калькулятору или нет номера телефона, чтобы позвонить в банк и уточнить примерную сумму кредита, приведем таблицу, по которой можно составить представление о размере кредита в зависимости от различных параметров.
Сразу оговоримся, что данные примерные и не учитывают все особенности расчета лимитов кредитования. Суммы могут быть как больше, так и меньше. Точные параметры кредита может сказать только банк или иной кредитор после анализа всех документов.
Отметим, что по сроку кредита можно найти программу на 30 лет, а не 25 лет, как указано в таблице. Это повлечет увеличение размера кредита. Сумму первоначального взноса также можно найти в размере 10—20%, а не 30%, как в таблице. Снижение первоначального взноса не повлияет на размер платежа, но может уменьшить размер предоставляемого кредита и увеличить процентную ставку
Таблица позволяет по доходу, по цене квартиры, по величине первоначального взноса, по ежемесячному платежу, по размеру кредита определить иные требуемые параметры. Допустим, зная, сколько стоит желанная квартира, можно определить каков требуется доход и первоначальный взнос и как ставка влияет на эти параметры. Обратим внимание, что в таблице указаны максимальные значения2:


Как узнать свою кредитную историю: для чего это надо, что такое бюро кредитных историй, цена получения сведений, пример оценки банком факта наличия просрочки, как получить и исправить кредитную историю
Лучший способ догадаться, что будет,
– припомнить, что уже было.
Маркиз ГалифаксПрактически все банки, выдающие ипотечные кредиты, проверяют заемщика на предмет исполнения им прежних обязательств по кредитным договорам. Если просрочек по другим кредитным договорам не было – это одна процентная ставка, а если были, то ставка выше, либо отказ в выдаче кредита. Речь идет о кредитной истории заемщика – информации, характеризующей исполнение заемщиком принятых на себя обязательств по договорам займа (кредита).
После получения от заемщика заявки на кредит Банк запрашивает сведения о кредитной истории заемщика в бюро кредитных истории (далее – БКИ). Заодно банк проверяет анкету заемщика – правильно ли заемщик указал сведения о полученных им кредитах, или что-то скрыл. Данные об отсутствии/наличии просрочки и сумме ежемесячных обязательств заемщика по другим кредитным договорам учитываются при определении процентной ставки, лимита кредитования и принятии итогового решения по кредиту.
А если это такой важный показатель неплохо было бы и самому заемщику до обращения в банки проверить свою кредитную историю, даже если он никогда не брал кредитов или расплатился за все кредиты. Есть несколько ситуаций, когда заемщик и не знает, что у него есть просрочка, причем речь не идет о мошенничестве.
Допустим, бесплатно оформлена банковская кредитная карта. Казалось бы, где в данном случае спрятан кредит, если этой картой не пользуешься? Однако условиями банков может быть предусмотрено, что бесплатно кредитная карта заемщика обслуживается только один год, а за второй ему необходимо оплатить комиссию. Естественно, заемщик забывает об этом и на следующий год банк начисляет комиссию и выдает на ее оплату заемщику кредит с кредитной карты, который заемщик по условиям выдачи кредитной карты должен вернуть в течение месяца.
Заемщик и не знает, что ему выдан кредит и выходит на просрочку. Если же заемщик сменил адрес и телефон, то может вообще стать злостным неплательщиком, так как банк не сможет уведомить его о просрочке. По нашему мнению, это незаконная комиссия, если картой заемщик не пользовался, но вопрос не в этом – у заемщика испортиться кредитная история, но он об этом может и не знать.
Другой вариант – заемщик думает, что кредит полностью погашен, а оказывается, какие-нибудь копейки остались (допустим, банк посредник или терминал вычел комиссию за перечисление средств и сумма на оплату дошла не в полном объеме). А для военнослужащих, взявших ипотечный кредит ситуация интереснее – если Росвоенжилье не вовремя оплатит за них ипотечный кредит (а кредит по военной ипотеке сам заемщик не гасит), то у них возникает просрочка, о которой банк обязан сообщить в бюро кредитных историй. Также история «портится» если страховая компания вовремя не выплатила страховое возмещение, на которое рассчитывал заемщик.
Помимо этого бывают и обычные мошенничества, когда кредит берут на другое лицо, допустим, утерявшего паспорт и вовремя не сообщившего об утере в правоохранительные органы.
Нередко так и портятся кредитные истории, заемщик не знает об этом, обращается в банк и получает отказ или высокую ставку. Поэтому необходимо до обращения в банк узнать свою кредитную историю, а при необходимости скорректировать ошибочные данные, путем обращения в банк и к заинтересованным лицам.
Отметим, что просрочка по кредиту не во всех случаях является основанием для отказа в выдаче кредита. Допустим, если срок просрочки не превышает 30 дней, то банк будет считать ее приемлемой и не повысит ставку. С другой стороны если заемщик три-четыре раза выходит на просрочку до 30 дней, то это может свидетельствовать о недисциплинированности заемщика и повлечет увеличение ставки.
Свыше 30 дней просрочки, как правило, считаются уже отрицательной кредитной историей, что определяет отказ в выдаче кредита. Но если последняя длительная просрочка была три года назад, а затем все обязательства исполнялись, то банк может посчитать такую кредитную историю приемлемой и не повысить ставку. В данном вопросе все зависит от отношения банков к такой просрочке, прописанного в требованиях к заемщику.
Как получить свою кредитную историю
Кредитная история передается в бюро кредитных историй только при наличии на это письменного или иным способом документально зафиксированного согласия заемщика. Поэтому при получении кредитов в типовой анкете банков или в кредитном договоре заемщик проставляет отметку о согласии/несогласии с передачей данных в БКИ3. Банк может передавать данные в несколько БКИ, с которыми сотрудничает.
Чтобы получить свою кредитную историю заемщику сначала нужно узнать в каком (каких) БКИ она хранится, направив для этого запрос в Центральный каталог кредитных историй (ЦККИ)4, а затем уже обратиться в конкретное бюро кредитных историй для получения кредитной истории один раз в год бесплатно и неограниченное количество раз за плату. Список БКИ есть на сайте [битая ссылка] http://ckki.www.cbr.ru/print.asp?file=list_BKI.htm. Если вы знаете банк, где брали кредит, то достаточно узнать с каким БКИ сотрудничает этот банк и обратиться в это БКИ.
Чтобы получить данные из ЦККИ через сайт Банка России5, необходимо знать код субъекта кредитной истории. Этот код заемщики, как правило, сами сообщают при заполнении анкеты в банк, в котором брали кредит. Если код забыт или не существует, то достаточно обратиться в любую кредитную организацию или в любое БКИ с просьбой создать такой код. За плату в 100—300 рублей данный код создается.
Без использования кода субъекта кредитной истории данные из ЦККИ могут быть получены через любую кредитную организацию, бюро кредитных историй, отделение почтовой службы, оказывающее услуги телеграфной связи, или нотариуса. Достаточно предъявить паспорт. Как вариант, можно обратиться в компании, являющиеся агентами БКИ (около 1200 рублей).
К примеру, такие услуги для заемщиков оказывает одно из крупнейших БКИ «Национальное бюро кредитных историй»: [битая ссылка] http://www.nbki.ru/serviceszaem/. Запрос можно направить по почте или телеграммой. Что касается предоставления данных из этого БКИ путем личного обращения, то необходимо обращаться к агентской сети этой компании, представленной на сайте НБКИ.
Как исправить свою кредитную историю?
Итак, заемщик получил сведения из БКИ и выяснил, что просрочка была зафиксирована. Если заемщик действительно не платил по кредиту, то прошлую историю изменить или удалить нельзя. Наверное, через несколько лет требования банков к кредитной истории заемщика смягчаться и кредит можно будет получить и при негативной кредитной истории.
Если кредитная история соответствует действительности, но заемщик полагает, что не прав банк в самом факте выдачи кредита (заемщик не давал согласия на кредит, не оформлял карту, не должен был получать кредит на оплату комиссий), то следует предъявлять претензии банку и доказывать, что кредит был выдан незаконно. Только после признания того, что кредит выдан незаконно кредитную историю можно попытаться изменить. Скорее всего, это придется делать через суд. В последнее время ряд банков в добровольном порядке возвращают незаконные комиссии по неиспользованным кредитным картам и исправляют кредитную историю после обращения к ним заемщика.
Однако бывают и технические ошибки, возникающие по вине банка. Это может быть смешение вашей истории и истории вашего полного однофамильца, неверная дата погашения задолженности, неверная сумма просрочки. Или же просрочка давно погашена, а в кредитную историю об этом не сообщено.
Кредитную историю стоит обязательно проверить на предмет таких технических ошибок. Ведь если кредит оплачен вовремя, а в кредитную историю попала просрочка, значит, банк ошибся при направлении сведений.
Если техническая ошибка выявлена, есть два пути. Первый – обратиться в банк с указанием перечня ошибок и требованием скорректировать данные в кредитной истории. Второй путь – обратиться с официальным запросом и перечнем недостоверных данных напрямую в БКИ. БКИ обратиться к банку и если тот признает ошибку, то историю скорректируют и заемщику будет выслана новая кредитная история. В противном случае придется обращаться в суд.
Если исправить кредитную историю все-таки не удалось, а причина просрочки, по мнению заемщика уважительна, то при обращении в банк за получением ипотечного кредита лучше сразу дать письменное пояснение о причинах выхода на просрочку по прежним кредитам. Возможно банк-кредитор учтет это при оценке негативной кредитной истории и посчитает ее нейтральной или даже положительной.





