
Полная версия:
Иван Андреевич Трещев Методы и модели защиты информации. Часть 1. Моделироваание и оценка
- + Увеличить шрифт
- - Уменьшить шрифт
– Внешнее вторжение
– Внутреннее вторжение
– Masquerader – ложный пользователь.
– Legitimate user – легальный пользователь.
– Clandestine user – скрытый пользователь.
– Злоупотребление полномочиями.
Главным отличием между ложным, легальным и скрытым пользователями заключается в том, что ложный пользователь маскируется под легального пользователя, и, с точки зрения вычислительной системы, неотличим от него. Скрытый пользователь ориентируется на работу с вычислительной системой, при которой он остается незамеченным для систем обнаружения вторжений.
Рассматривая развитие классификационных подходов во времени, можно заметить, что ряд исследователей старались абстрагироваться от свойств состава атак, с целью создания общего списка типов атак. Наиболее известны в данном направлении работы Ноймана и Паркера,,,. Аналогичную цель преследовал в своей работе Саймоном Хансмэном. Важным достоинством данного подхода является прикладная составляющая, так как в большинстве случаев информация о специфики атаки дает существенно больше, нежели знание каких—либо ее свойств. Однако недостатком данного подхода является наличие сильно пересекающихся категорий атак, а полнота классов зачастую недостижима.
В своей работе, П. Нойман и Д. Паркер представили 9 категорий способов вторжений (табл. 2).
Таблица 2 – Категории способов вторжения

На основе данных категорий П. Нойман разработал 26 видов атак (табл. 3)
Таблица 3 – Виды атак


В силу необходимости практической применимости таксономий, наиболее выгодными считаются комбинированные подходы, которые в некоторой степени реализуют все вышеописанные методы,,. Однако, способы комбинирования методов могут быть различны.
Один из способов комбинирования приводится в своей работе Саймон Хэнсмэн, – все анализируемые параметры разносятся отдельно и считаются попарно некоррелированными. Для достижения данной цели, автор использует концепцию «измерений», которая впервые была применена в работе Бишопа о классификации уязвимостей UNIX—систем.
Главную цель, которую преследовал Саймон Хэнсмэн, была разработка «прагматичной таксономии, которая полезна при ведении непрерывной работе над атаками». Первоначально производилась разработка таксономии древовидной структуры, подобно классификациям природного царства, – более общие категории находятся выше по высоте дерева, а нижние по высоте представляют более подробное описание категорий. Но на практике, в применении подобных классификационных схем имеется ряд неудобств. Во—первых, атаки зачастую несут смешанный характер. То есть складывается ситуация, при которой одна атака тесно зависит от другой или вложена в нее. Данная проблема, с одной стороны, решается путем введения межузловых ссылочных дуг между вершинами дерева, то есть при заполнении классификационной схемы образуется нагруженный граф. Однако это неизбежно сводится к беспорядку в структуре и сложностям при классификации. С другой стороны, возможно введение рекурсивных деревьев, где каждый лист дерева также является деревом. Но данное решение также сводится к беспорядочному росту структуры, и ограничению их применения. Во—вторых, атаки, в отличие от животных, не имеют обширного числа общих черт, вследствие чего имеют место сложности в формулировке классификационных групп верхних уровней. Действительно, у вредоносных программ типа «черви» или «вирусы» имеется достаточного много общих черт, однако непосредственных аналогий с атаками типа DoS (Denial of Service – отказ в обслуживании) и троянскими программами у них немного. Данная проблема ведет к разрастанию дерева на некоторое количество несвязанных между собой категорий, то есть до леса. Таким образом, древовидные классификации для практических задач.
Иной подход к созданию таксономий заключается в виде использования списочных структур. Таксономии, основанные на списочных структурах, представляются как совокупность списков категорий атак. С одной стороны, возможна организация общих классов категорий атак, с другой – возможно создание объемного количества списков, каждый из которых детально описывает уникальный класс категорий. Данные подходы также слабо применяются на практике, так как для первого случая организуются наборы крайне обобщенных категорий атак, а во—втором случае, детализация списков категорий бесконечна.
В предлагаемой Саймоном Хэнсмэном таксономии используется иной подход, основанный на концепции «измерений» Бишопа. Введение «измерений» позволяет комплексно рассматривать каждую атаку отдельно. В таксономии рассматривается четыре измерения для классификации атак:
1. Первое (базовое) измерение используется для категорирования атаки относительно классов атак на основе вектора атаки. Под вектором атаки понимается метод, с помощью которого атака достигает своей цели. При отсутствии подходящего вектора, атака классифицируется в ближайшую по смыслу категорию (табл. 4).
Таблица 4 —Значения вектора атак таксономии
Хэнсмэна по уровням детализации

2. Вторым измерением, атака классифицируется по цели атаки. Степень детализированности измерения достигается указанием конкретной версии продукта, например Linux Kernel 3.5.1rc—1, или же покрывается определенным классом возможных целей, например Linux Kernel (табл. 5).
Таблица 5 – Список целей атак таксономии
Хэнсмэна по уровням детализации

3. Третье измерение используется для описания уязвимостей и эксплоитов, которыми реализуется данная атака. Измерение представляется списоком номеров CVE (Common Vulnerabilities and Exposures) известных уязвимостей по классификации проекта CVE [12].
Идея проекта CVE была предложена Мэнном (Mann) и Кристли (Christley) [24] и предлагает унифицированный способ представления определений уязвимостей. На данный момент, проект является стандартом де—факто описания уязвимостей, и его применение является желательным в таксономиях прикладного направления.
Дополнительно, в таксономии Хэнсмэна предполагается ситуация, когда на момент классификации атаки не существует ее описания (CVE—номера) уязвимости. В этом случае, предлагается использовать общие классы категорий атак процессной таксономией компьютерных и сетевых атак Ховарда [13], – уязвимость в реализации (логические ошибки в текстах программ), уязвимость в проекте, уязвимость в конфигурации. В данной таксономии рассматривается в качестве центрального понятия инцидент – совокупность атакующего, атаки и цели атаки. Главным ее отличием является наличие структурных элементов: инцидентов и события, – совокупности действия и целевого объекта. Предусматривается возможность комбинирования событий. Таким образом, в инциденте возможно вложение последовательность атак. Полезным свойством таксономии Ховарда является возможность описания неатомарных (составных) атак и учет их сценариев проведения. Однако, как указывается в тезисах докторской диссертации Лауфа, процессная таксономия привносит двусмысленность при классификации атаки на практике, так как нарушается свойство взаимного исключения.
4. Четвертое измерение используется для классификации атаки по наличию и виду полезной нагрузки (payload) или реализуемого эффекта. В большинстве случаев, в результате своей работы, с атакой привносится дополнительный эффект. Например, «вирус», используемый для установки потайного входа (backdoor) очевидно остается «вирусом», но несет в качестве полезной нагрузки программу потайного входа.
В качестве классов категорий полезной нагрузки, Хэнсмэн выделяет:
– Полезная нагрузка первого измерения – собственно полезная нагрузка является атакой;
– Повреждение информации;
– Раскрытие информации;
– Кража сервиса (подмена сервиса);
– Subversion – полезная нагрузка предоставляет контроль над частью ресурсов цели и использует их в своих целях.
В 1995 году, Бишоп [10] предложил классификацию относительно уязвимостей для UNIX—систем. Отличительная особенность его работы заключается в создании принципиально новый схемы классификации. Шесть «осей координат» представляются компонентами [7], [10]:
– Природа уязвимости – описывается природа ошибки в категориях протекционного анализа;
– Время появления уязвимости;
– Область применения – что может быть получено через уязвимость;
– Область воздействия – на что может повлиять уязвимость;
– Минимальное количество – минимальное количество этапов, необходимых для атаки;
– Источник – источник идентификации уязвимости.
Особенностью классификации Бишопа является использование подхода на основе концепции измерений, вместо табличных и древовидных классификаций. Каждая координатная ось представляется классификационной группой, отсчеты по которой являются элементы группы, а уязвимость описывается в виде некоторой точке в «пространстве» координатных осей. Данная схема именуется таксономией уязвимостей в концепции измерений. Таксономия Бишопа является ярким представителем групп таксономий уязвимостей.
Важной основой для разработки новых таксономий уязвимостей в области информационной безопасности послужили работы Бисби (Bisbey) и Холлингворса (Hollingworth), посвященные протекционному анализу [25], а также работы по исследованию защищенных операционных систем (RI SOS) Аббота (Abbott), Вебба (Webb) и др. [4]. Обе таксономии фокусируют внимание на классифицировании ошибок в программном обеспечении и приблизительно схожи между собой.
Непригодность практического применения таксономий [25], [4] в своей дальнейшей работе описали Бишоп и Бэйли [11] . Проблемой предложенных таксономии является двусмысленность в определениях своих классов, то есть в определениях нескольких классов некоторые уязвимости равносильны, что приводит к нарушению правила взаимоисключения между классами, и тем самым представляются малопригодными в прикладном смысле. Однако, данные работы [25], [4] заложили основу ценным концепциям, которые получили свое развитие в последующих исследованиях [10], [26], [].
Комбинированный подход к классификации уязвимостей прослеживается и в нормативно—распорядительной документации ФСТЭК России. В классификации уязвимостей, предлагаемой базовой моделью угроз ИСПДн (рисунок 1), также применяется комбинированный подход, основанный на идеях работ Ховарда, Хэнсмэна, Бишопа и др.
Более того, для систематизации уязвимостей в соответствии с классификацией на практике, в документах предлагается использовать существующие зарубежные базы данных (БД) уязвимостей в качестве источников информации. Наиболее распространенной базой данных об уязвимостях является БД National Vulnerability Database (NVD), которая основывается на объединении информации из более ранних баз данных (CPE, CVE, и др.)
1.3 Математические модели систем защиты информации
В работе [23] рассматривается вероятностная модель, в которой система защиты информации (СЗИ) представлена неконтролируемыми преградами вокруг предмета защиты. В общем случае модель элементарной защиты предмета может быть в виде защитных колец (рисунок 2). В качестве предмета защиты выступает один из компонентов информационной системы (ИС).

Рисунок 2 – Модель элементарной защиты
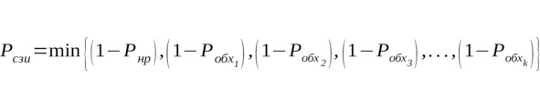
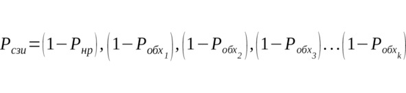
Вероятность невозможности преодоления преграды нарушителем обозначается как Рсзи, вероятность преодоления преграды нарушителем через Рнр соответственно сумма вероятностей двух противоположных событий равна единице, то есть:


В модели рассматриваются пути обхода преграды. Вероятность обхода преграды нарушителем обозначается через Робх, которое представляется в виде:
(1)

В случае, когда у преграды несколько путей обхода:
(2)

где – k количество путей отхода.
Для случая, когда нарушителей более одного, и они действуют одновременно (организованная группа) по каждому пути, это выражение с учетом совместности событий выглядит как:
(3)

Учитывая, что на практике в большинстве случаев защитный контур (оболочка) состоит из нескольких «соединенных» между собой преград с различной прочностью, рассматривается модель многозвенной защиты (рисунок 3).
Выражение прочности многозвенной защиты из неконтролируемых преград, построенной для противостояния одному нарушителю, представлено в виде:
(4)

где – Рсзи прочность i—й преграды, Робх – вероятность обхода преграды по k —му пути.

Рисунок 3 – Модель многозвенной защиты
Выражение для прочности многозвенной защиты, построенной из неконтролируемых преград для защиты от организованной группы квалифицированных нарушителей—профессионалов, с учетом совместности событий представляется в виде:
(5)

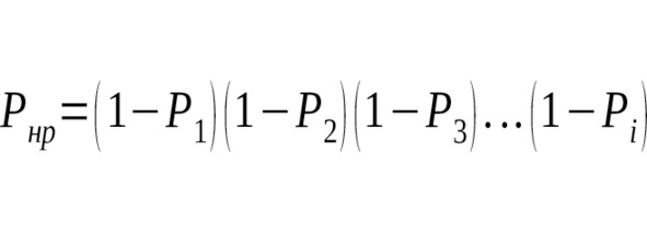
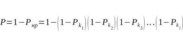
В случае, когда какие—либо преграды дублируются, а их прочности равны соответственно Р1,Р2,Р3,…,Рi то вероятность преодоления каждой из них нарушителем соответственно равна (1 – Р1), (1 – Р2), (1 – Р3),…, (1 – Рi).
Учитывая, что факты преодоления этих преград нарушителем события совместные, вероятность преодоления суммарной преграды нарушителем формально представляется в виде:
(6)

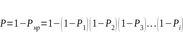
Вероятность невозможности преодоления дублирующих преград (прочность суммарной преграды) как противоположное событие определяется выражением:
(7)

где – i порядковый номер преграды, Pi прочность i– й преграды.
Также в работе представлена модель многоуровневой системы защиты (рисунок 4).

Рисунок 4 – Модель многоуровневой защиты
При расчете суммарной прочности нескольких оболочек (контуров) защиты в формулу (7) вместо Pi, включается Pki – прочность каждой оболочки (контура), значение которой определяется по одной из формул (4), (5) и (6):
(8)

При Pki = 0 данная оболочка (контур) в расчет не принимается. При Pki = 1, остальные оболочки защиты являются избыточными. Данная модель справедлива лишь для замкнутых оболочек защиты, перекрывающих одни и те же каналы несанкционированного доступа к одному и тому же предмету защиты.
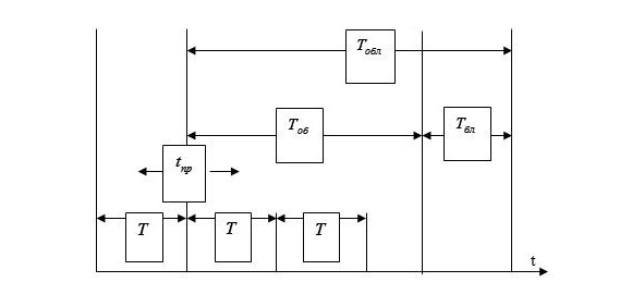
В случае контролируемой преграды, т.е. когда преграда связана с каким—либо тревожным датчиком, который может подать сигнал в случае попытки преодоления преграды.
Исходя из данной временной диаграммы процесса контроля и обнаружения несанкционированного доступа (НСД) (рисунок 5), в работе [27] приводятся формулы для расчета вероятности обнаружения и блокировки НСД Робл и Ротк вероятности отказа системы обнаружения :
(9)

(10)

где λ – интенсивность отказов группы технических средств, составляющих систему обнаружения и блокировки НСД, t – рассматриваемый интервал времени функционирования системы обнаружения и блокировки НСД.

Рисунок 5 – Временная диаграмма процесса контроля НСД
(T – период опроса датчиков; Tоб – время передачи сигнала и обнаружения НСД; Тбл – время блокировки доступа; Тобл – время обнаружения и блокировки; – время простоя)
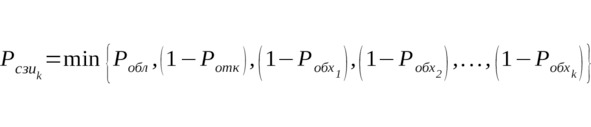
Учитывая, что отказ системы контроля и НСД могут быть совместными событиями, формула прочности контролируемой преграды для элементарной защиты принимает вид:
(11)

где Робл и Ротк определяются соответственно по формулам (9) и (10), Робх и количество путей обхода к определяются экспертным путем на основе анализа принципов построения конкретной системы контроля и блокировки НСД.
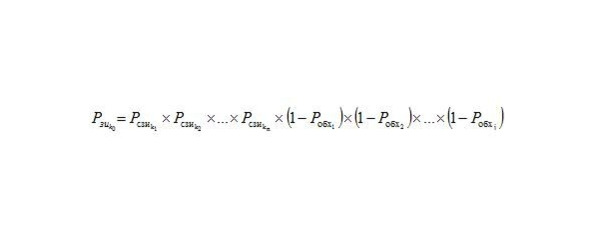
Выражение для прочности многозвенной защиты с контролируемыми преградами для защиты от одного нарушителя будет в следующем виде
(12)

где Рсзиkn прочность n—й преграды, Робхn – вероятность обхода преграды по j —му пути.
Формула для расчета прочности защитной оболочки с контролируемыми преградами для защиты от организованной группы нарушителей представлена в виде:
(13)

В работе [28] приводится вероятностная модель оценки уязвимости информации. В данной модели выделяется пять зон, в которых возможны несанкционированные действия:
Конец ознакомительного фрагмента.
Текст предоставлен ООО «ЛитРес».
Прочитайте эту книгу целиком, купив полную легальную версию на ЛитРес.
Безопасно оплатить книгу можно банковской картой Visa, MasterCard, Maestro, со счета мобильного телефона, с платежного терминала, в салоне МТС или Связной, через PayPal, WebMoney, Яндекс.Деньги, QIWI Кошелек, бонусными картами или другим удобным Вам способом.





