
Полная версия:
Ibratjon Xatamovich Aliyev All sciences. №6, 2023. International Scientific Journal
- + Увеличить шрифт
- - Уменьшить шрифт

All sciences. №6, 2023
International Scientific Journal
Editor-in-Chief Ibratjon Xatamovich Aliyev
Illustrator Ibratjon Xatamovich Aliyev
Illustrator Obbozjon Xokimovich Qo'ldashov
Illustrator Sultonali Mukaramovich Abduraxmonov
Cover design Ibratjon Xatamovich Aliyev
Cover design Ra'noxon Mukaramovna Aliyeva
Acting Scientific Supervisor Sultonali Mukaramovich Abduraxmonov
Economic Manager Farruh Murodjonovich Sharofutdinov
Economic Consultant Botirali Rustamovich Jalolov
Proofreader Gulnoza Muxtarovna Sobirova
Proofreader Abdurasul Abdusoliyevich Ergashev
Proofreader Ekaterina Aleksandrovna Vavilova
ISBN 978-5-0060-5771-5 (т. 6)
ISBN 978-5-0059-5900-3
Создано в интеллектуальной издательской системе Ridero
PHYSICAL AND MATHEMATICAL SCIENCES
QUESTIONS CONCERNING THE SPECTRAL SOLUTION IN A ONE-DIMENSIONAL STATIONARY LINEAR PARTIAL DIFFERENTIAL EQUATION BY ERWIN RUDOLF JOSEF ALEXANDER SCHRODINGER
UDC 150.145
Nasriddinov Otadavlat Usubzhonovich
Senior Lecturer of the Department of «Natural Sciences» of the Faculty of Computer Engineering of the Ferghana branch of the Tashkent University of Information Technologies
Ferghana Branch of Tashkent University of Information Technologies, Ferghana, Uzbekistan
Annotation. The impossibility of intuitive understanding of the most diverse spectrum of quantum phenomena reduces to the need to use all physical and mathematical methods before all empirical and experimental actions. One of the most popular and important in this vein is a linear partial differential equation describing the change in space and time of the pure state, given by the wave function, in Hamiltonian quantum systems for photonic phenomena expressed in a stationary state.
Keywords: Schrodinger equation, stationary state, spectral problems, quantization, differential equation, physical and mathematical calculation and modeling.
Аннотация. Невозможность интуитивного понимания самого различного спектра квантовых явлений сводит к необходимости использования перед всеми эмпирическими и экспериментальными действиями всех физико-математических методов. Одним из самым популярным и важных в данном ключе является линейное дифференциальное уравнение в частных производных, описывающее изменение в пространстве и во времени чистого состояния, задаваемое волновой функцией, в гамильтоновых квантовых системах для фотонных явлений выражаемое в стационарном состоянии.
Ключевые слова: уравнение Шрёдингера, стационарное состояние, спектральные задачи, квантование, дифференциальное уравнение, физико-математическое вычисление и моделирование.
Before presenting the question itself, it is worth noting the representation of the one-dimensional stationary Schrodinger equation itself, which is a linear ordinary differential equation of the second order (1), which is also used to solve problems of the spectral plan in wave modeling of photonic phenomena.

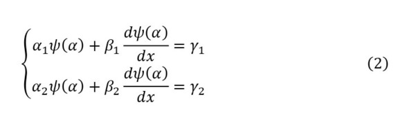
In order to solve such an approach, it is necessary to introduce boundary conditions (2), depending on the formulation of which it is possible to determine a general description of the situation and at the same time pay attention to the statement of indicators (3).


Of course, one could try to determine a general solution, but, unfortunately, this is simply impossible and it is necessary to introduce certain boundary conditions that are reduced from certain conditions. A striking example of such states is the solution for a free particle, which is essentially a plane wave. And if we take the potential equation for a free particle, including when taking the corpuscular form of photons, we can get equation (4).

One of the partial solutions is the function (5), derived through a direct solution of a second-order differential equation.

In (4), the constant E can take almost all values above zero, it is from here that we can conclude that the values belong to a continuous spectrum. Moreover, to determine its boundaries, it is necessary to use the integral equation (6), from which the resulting constant C from (5) is obtained.

Hence the value (7) is obtained.


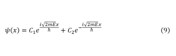
And finally, by substitution, it is possible to obtain a solution of equation (4), for the case of a free particle, which, including, in wave calculus, is a superposition of plane waves (9).

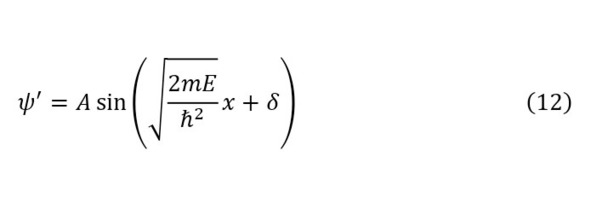
But if this was only one of the special cases, then it is worth considering the case of being in a one-dimensional potential pit with infinitely high walls. After all, if you pay attention to the representations of this question, then it may well be a reducible case in the face of the entry of a photon into a particular atom, provided it approaches the electron shells, the exit from which can play the role of infinitely high walls of a potential well. Also, another larger-scale macro example is the approach of photon radiation to a black hole. For such cases and intervals, the Schrodinger equation coincides with the representation according to (4), from where the boundary conditions for the wave function, previously designated algebraically (2), are represented as (10—11).

The solution, as it was possible to draw attention from other particular solutions, can be reduced to the form (12).

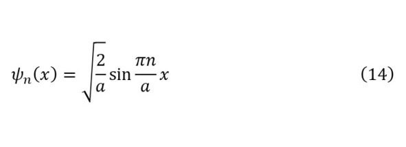
But if we now introduce boundary forms for this type, we can come to a solution of the energy index as (13).

Finally, now it remains only to introduce its own functions, along with the general normalization, and obtain the resulting solution (14).

Thus, some of the partial solutions of the linear Schrodinger equation were considered, each of which can be interpreted in the face of a solution of one kind or another, the number of which can be huge.
Used literature
1. Allday Jonathan. Quantum Reality: Theory and Philosophy. 2nd edition. – CRC Press, 2023. – 505 p. – ISBN: 978-1-032-12734-7.
2. Aaserud Finn, Kragh Helge (eds.) One Hundred Years of the Bohr Atom. Proceedings From a Conference. – Copenhagen: Scientia Danica, Det Kongelige Danske Videskabernes Selskab, 2015. – 559 p.
3. Agarwala A. Excursions in III-Condensed Quantum Matter: From Amorphous Topological Insulators to Fractional Spins. Springer, 2019. – 177 p. – (Springer Theses). – ISBN: 9978-3-030-21510-1.
4. Audelsburger M. Artifical Gauge Fields with Ultracold Atoms in Optical Lattices (Springer Theses). Springer International Publishing, Switzerland, 2016. – 180 p. – ISBN: 3319258273
5. Aktosun T., Weder R. Direct and Inverse Scattering for the Matrix Schrodinger Equation. Springer, 2021. – 631 p. – (Applied Mathematical Sciences). – ISBN: 978-3-030-38430-2.
6. Akulin V. M. dynamics of Complex Quantum Systems 2nd ed. – Springer, 2014. – 677 pp.
7. Alber G. et al. Quantum Information: An Introduction to Basic Theoretical Concepts and Experiments. Alber G., Beth Th., Horodecki M., Horodecki P., Horodecki R., Potteler M., Weinfurter H., Werner R., Zeilinger A. – Springer, 2001. – 195 p. – (Springer Tracts in Modern Physics 173). – ISBN 3-540-41666-8.
8. Albeverio S., Kondratiev Yu., Kozitsky Yu., Rockner M. The Statistical Mechanics of Quantum Lattice Systems: A Path Integral Approach. European Mathematical Society, 2009. – 393 p. – (EMS Tracts in Mathematics 08). – ISBN 978-3-03719-070-8.
9. Alicki R., Lendi K. Quantum Dynamical Semigroups and Applications. Springer, 2007. – 129 p. – (Lecture Notes in Physics 717).
10. Goldin, L. L. Quantum physics. Introductory course / L. L. Goldin, G. I. Novikova. – M.: [not specified], 2002. – 823 p.
11. Irodov, I. E. Problems in quantum physics / I. E. Irodov. – M.: [not specified], 1991. – 228 p.
12. Irodov, I. E. Quantum physics. Basic laws / I. E. Irodov. – M.: [not specified], 2002. – 768 p.
13. Irodov, I. E. Quantum physics. Basic laws / I. E. Irodov. – M.: Binom. Laboratory of Knowledge, 2014. – 662 p.
14. Migdal, A. B. Quantum physics and Niels Bohr / A. B. Migdal. – M.: [not specified], 1987. – 153 p.
ON THE POSSIBILITIES OF THE MATHEMATICAL APPARATUS ON THE WAY TO CREATING AN INTUITIVE UNDERSTANDING DEVICE REGARDING THE PHENOMENA OF ELECTROMAGNETISM DURING THE SIMULATION OF PLASMA RETENTION SYSTEMS IN SYSTEMS OF RESONANT NUCLEAR REACTIONS
UDC 537.812
Kholmatov Erkinjon Salievich
Lecturer of the Department of «Electronics and Instrumentation» of the Faculty of Computer Design Systems of the Fergana Polytechnic Institute
Ferghana Polytechnic Institute, Ferghana, Uzbekistan
Annotation. The development of modern science and technology entails the emergence of a huge number of new achievements and results in various fields of human cognition, thanks to which today it has become known about the appearance of a rather exotic and amazing source of electrical energy in the face of resonant nuclear reactions. The very essence of neutron nuclear reactions was first presented in a number of scientific articles, monographs, and a textbook by the author of this direction in science – Aliyev I. H., representing a separate method of bringing each of the selected specific exo-energetic nuclear reactions to a state of resonance, that is, the moment when the efficiency of the process becomes maximum.
Keywords: electromagnetism, physics of resonant nuclear reactions, nuclear physics, mathematical modeling, full-fledged research, analytical analysis.
Аннотация. Развитие современной науки и техники влечёт за собой появление огромного количества новых достижений и результатов в самых различных областях человеческого познания, благодаря чему сегодня стало известно о появление довольно экзотического и удивительного источника электрической энергии в лице резонансных ядерных реакций. Сама суть нейтронных ядерных реакций была впервые представлена в ряд научных статей, монографиях, учебном пособии автора этого направления в науке – Алиева И. Х., представляющая отдельный метод доведения каждой из выбранных определённых экзо-энергетических ядерных реакций до состояния резонанса, то есть момента, когда эффективность процесса становится максимальной.
Ключевые слова: электромагнетизм, физика резонансных ядерных реакций, ядерная физика, математическое моделирования, полноценное исследование, аналитический анализ.
Introduction
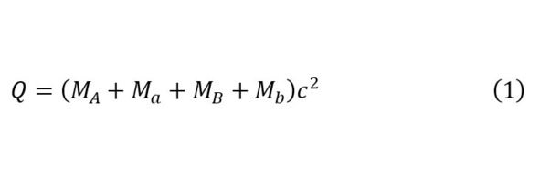
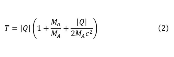
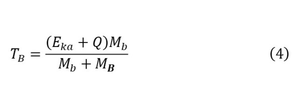
After all, if you pay attention, during the passage of a certain nuclear reaction, it is necessary to analyze it, and it is the new method of general analysis of a nuclear reaction introduced by Aliyev I. H. that became the basis for demonstrating this type of phenomena, in which the reaction itself is initially described, then its parameters, including output (1), threshold (2), kinetic incoming and outgoing energies (3—4). Next, it is worth referring to the fact that due to the correct selection of the energy close to the Coulomb barrier (5) of the incoming light charged particle, the nuclear effective cross section (6), depending on the de Broglie wave (7), increases sharply, which subsequently leads to an increase in the total beam current (8) that has entered the interaction.








Thus, it can be noted that such a system allows for single or single-multistage reactions. However, in a more modified variation of the setup for such reactions, partly described in a subsequent monograph and textbook devoted to the physics of charged particle accelerators, it was noted that it was possible to conduct several at once, namely, the 6 main resonant nuclear reactions studied at that time using an electromagnet.
In this case, the direction of the beam into each of the reaction compartments creates a pulse transition and leads to the need to create a multi-stage alternating and at the same time strictly discrete magnetic field on the part of the electromagnet, which is already quite an interesting task at this stage. But what is even more noteworthy is the fact of a further sharp increase in the currents of the incoming beam.
The central part
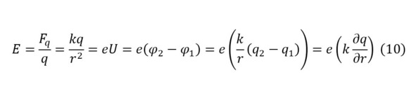
And to control the increased beam, it is necessary to study the nature of the electromagnetic field. The electric field is subject to its measurement due to such a concept as intensity (10), which is characterized by the effect on the fields of a certain charge at a certain distance on the probe charge due to the Coulomb force (9).


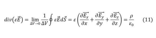
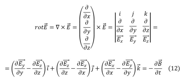
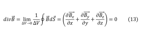
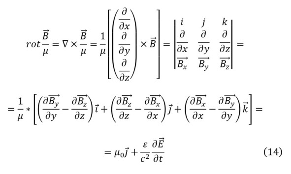
The magnetic field has the same ability to calculate, for it this value is called magnetic induction, measured in units – Tesla, named after the great and most brilliant Serbian scientist of his time Nikola Tesla. Since the cause of the magnetic field was previously explained, its first definition is calculated through Maxwell’s equations and their consequences (11—14), which have been discussed in more detail several times.




In addition, if certain exceptions are made due to the property of the action of the magnetic field, in particular, and in statics, then the laws for them will be similar to Coulomb’s laws (15—16), and also in a certain field will be a consequence of the field geometry condition, which is initially assumed by the theorem of Mr. Andre Marie Ampere on the circulation of the magnetic field (17).



However, all these parameters were given only for a general view, but if we turn to specific examples, then first of all it is worth giving a definition of the magnetic induction vector of a straight wire with a known current and a known distance from it is determined by (19).

It is important to note that in order to determine the magnetic induction vector, it is necessary to determine the magnetic permeability of the medium – this is the parameter demonstrating the ability of a material to conduct a magnetic field. Practically the same can be said about such an object as a solenoid – a real electromagnet consisting of a spiral wire and a core. And this small superficial description of the elements of electromagnetism leads to a description of their action on charges.
Where thus, if a free charge enters a magnetic field, then it falls under the influence of a magnetic induction force under the action of a certain Lorentz force (20), under the action of which, taking into account the created centrifugal force (21), the charge begins its rotation with a radius (22).



Moreover, there is also a relativistic form of writing the same formula (23—24).


But these charges, when rotating, again create an alternating electric field, which creates an alternating magnetic field – a parasitic one, and it, in turn, is a new electric one. That is, in this case, the situation with the electromagnetic repeats itself, which requires more detailed consideration.
When one charge enters a magnetic field, a magnetic field acts, but when most of the charges in the conductor begin to fall into such a specific field, the Ampere force (25—27) already acts, which symbolizes the force vector formed by all the conductors in the magnetic field.



As a result, you can get a similar picture of the general description of phenomena.
Conclusion
As a result of this general analysis, it can be said that the application and development of electromagnetism can lead to the improvement of a wide variety of fields of science, even the newest ones, both theoretically and practically. And moreover, each of these innovations improves all these ideas more and more!
Used literature
1. Brown, A. G. Atomic and nuclear physics. Elements of quantum mechanics. Workshop: Textbook / A. G. Brown, I. G. Levitina. – M.: Infra-M, 2019. – 352 p.
2. Deltsov, V. P. Physics: to get to the very essence! Desktop book for in – depth study of physics in secondary school: Atomic and nuclear physics / V. P. Deltsov, V. V. Deltsov. – M.: Lenand, 2017. – 176 p.
3. Kalashnikov, N. P. Practicum on solving problems in the general course of physics. Fundamentals of quantum physics. The structure of matter. Atomic and nuclear physics: A textbook / N. P. Kalashnikov. – St. Petersburg: Lan, 2014. – 240 p.
4. Lange, V. N. Physical paradoxes, sophisms and entertaining tasks. Book 2: Electricity and Magnetism. Vibrations and waves. Optics. The theory of relativity. Atomic and nuclear physics / V. N. Lange. – M.: CD Librocom, 2018. – 232 p.
5. Landsberg, G. S. Elementary textbook of physics of Vibrations and waves, optics, atom. and nuclear physics vol.3 / G. S. Landsberg. – M.: Fizmatlit, 2012. – 664 p.
6. Landsberg, G. S. Elementary textbook of Physics vol.3 Vibrations and waves, optics, atomic and nuclear physics. 15th i / G. S. Landsberg. – M.: Fizmatlit, 2016. – 664 p.
7. Landsberg, G. S. Elementary textbook of Physics. Vol.3. Wave oscillations. Optics. Atomic and nuclear physics: Textbook / G. S. Landsberg. – M.: Fizmatlit, 2016. – 664 p.
8. Mukhin, K. N. Experimental nuclear physics. Vol. 1. Physics of the atomic nucleus: Textbook / K. N. Mukhin. – SPb.: Lan, 2009. – 384 p.
9. Mukhin, K. N. Experimental nuclear Physics. Vol. 1. Physics of the atomic nucleus: Textbook / K. N. Mukhin. – St. Petersburg: Lan, 2008. – 384 p.
10. Mukhin, K. N. Experimental nuclear physics. Vol. 2. Physics of nuclear reactions: Textbook / K. N. Mukhin. – St. Petersburg: Lan, 2009. – 326 p.
11. Mukhin, K. N. Experimental nuclear physics. Vol. 2. Physics of nuclear reactions: Textbook / K. N. Mukhin. – St. Petersburg: Lan, 2008. – 336 p.
12. Rakobolskaya, I. V. Nuclear physics / I. V. Rakobolskaya. – M.: Krasand, 2014. – 248 p.
13. Sivukhin, D. V. General course of physics Vol.5. Atomic and nuclear physics: Textbook / D. V. Sivukhin. – M.: Fizmatlit, 2008. – 784 p.
14. Sivukhin, D. V. General course of physics Vol.5 Atomic and nuclear physics: Textbook 5 vol. / D. V. Sivukhin. – M.: Fizmatlit, 2008. – 784 p.
15. Sivukhin, D. V. General course of physics Volume 5 Atomic and nuclear physics: Textbook / D. V. Sivukhin. – M.: Fizmatlit, 2008. – 784 p.
16. Sivukhin, D. V. General course of physics. In 5 vols. 5. Atomic and nuclear physics, ster / D. V. Sivukhin. – M.: Fizmatlit, 2008. – 784 p.
17. Astapenko, V. A. Interaction of electromagnetic pulses with classical and quantum systems. Textbook / V. A. Astapenko. – M.: MIPT, 2013. – 232 p.
18. Bamburov, V. G. Europium monoxide for spintronics: Monograph / V. G. Bamburov, A. S. Borukhovich. – M.: Lan, 2015. – 779 p.
19. Bardzokas, D. I. Wave propagation in electromagnetoelastic media / D. I. Bardzokas. – Moscow: Higher School, 2003. – 333 p.
20. Barmasov, A.V. General physics course for nature users. Vibrations and waves / A.V. Barmasov, V. E. Kholmogorov. – M.: BHV-Petersburg, 2012. – 256 p.
21. Bokov, V. A. Physics of magnets. Textbook / V. A. Bokov. – M.: Nevsky Dialect, St. Petersburg, 2002. – 272 p.
22. Vasilkov, A.V. Power sources / A.V. Vasilkov, I. A. Vasilkov. – M.: Forum, 2012. – 400 p.
23. Voronov, V. K. Modern physics. Condensed state / V. K. Voronov, A.V. Podoplelov. – M.: LKI, 2008. – 336 p.
24. Gantmacher, V. F. Electrons in disordered media / V. F. Gantmacher. – M.: FIZMATLIT, 2003. – 176 p.
25. Dud, Alexander Petrovich Lecture 3 Electromagnetic Picture of the World / Dud Alexander Petrovich. – Moscow: SINTEG, 2012. – 786 p.
26. Zilberman, G. E. Electricity and magnetism / G. E. Zilberman. – M.: Intellect, 2008. – 337 p.
27. Zisman, G. A. Course of general physics. In 3 volumes. Volume 2. Electricity and magnetism / G. A. Zisman, O. M. Todes. – M.: Lan, 2007. – 352 p.

