
Полная версия:
Г. М. Флейшер Индексная оценка в ортопедической стоматологии. Руководство для врачей
- + Увеличить шрифт
- - Уменьшить шрифт

Индексная оценка в ортопедической стоматологии
Руководство для врачей
Г. М. Флейшер
© Г. М. Флейшер, 2019
ISBN 978-5-4496-9116-3
Создано в интеллектуальной издательской системе Ridero
Об авторе

Флейшер Григорий Михайлович (Dr Grigori Fleicher) родился 11 января 1970 года в Перми.
Лето 1977—1978 гг. – школа юнг, Краснознаменный Черноморский Флот СССР (г. Одесса).
В 1980 г. награждён именной настольной медалью и кортиком-ручкой.
В 1987 г. – окончил школу №77 с углублённым изучением английского языка, г. Пермь.
1988—1993 гг. – учился на стоматологическом факультете Пермского государственного медицинского института.
1995—1996 гг. – член Международной ассоциации молодых стоматологов (Young Dentists Worldwide, YDW).
1995—1996 гг. – член Международной ассоциации стоматологов (FDI World Dental Federation). С 1997 г. по н. в. – действительный член Международной академии пародонтологии (International Academy of Periodontology, IAP, New-York).
С 1997 г. по н. в. – член Стоматологической ассоциации России (СтАР).
В 2001 году была совместно написана и опубликована работа с проф. Г. А. Пашинян (г. Москва). Д-р Г. М. Флейшер является учеником профессоров А. В. Алимского и Г. В. Банченко (ФГБУ «ЦНИИС и ЧЛХ» МЗ РФ, г. Москва). Совместно были написаны и опубликованы в различных медицинских изданиях работы, посвященных изучению заболеваний слизистой оболочки полости рта, гальванозу, гигиенистам стоматологическим и детской стоматологии.
Впервые в России с 1999 по 2010 гг на базе Стоматологического центра КМСЧ ОАО НЛМК Д-р Г. М. Флейшер на общественных началах организовал кабинет профилактики стоматологических заболеваний, в котором находилась Выставка средств гигиены полости рта. Целью создания кабинета была пропаганда и программа обучения правильной чистке зубов, языка, выполнение гигиенических манипуляций, выбор необходимой зубной пасты, щетки, ополаскивателя и т. д., обучение пациентов рациональному использованию средств и методов ухода за зубами, пропаганда здорового образа жизни и т. п. Также на базе кабинета проходили обучение и стажировку студенты (гигиенисты стоматологические) Липецкого медицинского колледжа. Д-р Г. М. Флейшер проводил тематические уроки среди школьников в школах г. Липецка, выступал на Липецком радио, телевидении.
В 2006 г за проделанную работу был награжден Дипломом Стоматологической Ассоциации России «Лауреат финала Чемпионата стоматологического мастерства в номинации Профилактика cтоматологических заболеваний».
Область научных интересов: судебная медицина, стоматология (история, развитие, организация, управление стоматологии, пародонтология, детская стоматология, ортопедическая стоматология, имплантология, ортодонтия).
Действительный член IAP, писатель, поэт, двукратный рекордсмен мировой Книги рекордов Гиннеса, четырехкратный рекордсмен Книги рекордов России. Результаты многолетних исследований обощены в 70 монографиях и более 250 научных публикаций, среди них серия книг для детей «Дентилюкс». Здоровые зубы – залог здоровья нации», направлена для пропаганды, коррекции навыков и обучению авторской методики подрастающего поколения правилам рационального индивидуального ухода за полостью рта.
С 1993 г. по н.в. проживает в Липецке и работает врачом-стоматологом (работал – врачом-судебно-медицинским экспертом-стоматологом в Липецком областном бюро судебно-медицинской экспертизы, преподавателем – учебный центр КМСЧ ОАО НЛМК, Липецкий медицинский колледж). Липецкий стоматолог Д-р Г. М. Флейшер в 2008 г попал на страницы всемирно известного издания как обладатель самой большой в мире коллекции зубных щеток. Коллекция насчитывала тогда 1320 различных единиц. Коллекция предметов для гигиены полости рта насчитывала – более 3000 единиц. Сейчас она значительно выросла. Помимо зубных щеток в коллекции Д-ра Г. М. Флейшер – зубные пасты, спреи, ополаскиватели, зубочистки и другие средства гигиены полости рта, всего – свыше 4500 экземпляров
Четырехкратный рекордсмен Книги рекордов России:
– Самая большая коллекция различных зубных щеток.
– Наибольшее количество книг, изданных одним автором за 3 месяца в одном книжном издательстве.
– Наибольшее количество книг, изданных одним автором за 1 год.
– Наибольшее количество книг, изданных одним автором за 1 месяц.
Дети: дочь Кристина (19.04.1994).
С 2017 г публикует свои стихотворения для детей в изданиях Интернационального союза писателей.
2017 г. – диплом за вклад в современную поэзию (Интернациональный Союз писателей).
2018 г. – диплом номинанта литературной премии Гомера (Интернациональный Союз писателей).
В 2019 г координатор Интернационального Союза писателей прислал приглашение Флейшер Г. М. стать делегатом ИСП и представить одно из своих стихотворений для детей на 19 Всероссийской литературной конференции «РосКон». По итогам данной конференции Флейшер Г. М. был награжден следующими дипломами:
– полуфиналист литературной премии «рыцарь фантастики и детской литературы»,
– финалист литературной премии им. Белинского.
1. Индекс разрушения окклюзионной поверхности зуба по В. Ю. Миликевичу (ИРОПЗ, 1984)
Согласно рекомендациям автора, определение индекса разрушение окклюзионной поверхности зуба (ИРОПЗ) заключается в следующем. У пациента снимают оттиск зубного ряда (зубов) и отливают гипсовую модель. На гипсовой модель к окклюзионной поверхности зуба с дефектом прикладывают прозрачную пластинку с миллиметровой сеткой и определяют площадь дефекта и площадь окклюзионной поверхности исследуемого зуба. Затем вычисляют отношение площади поверхности дефекта (или пломбы) к площади и окклюзионной поверхности т. е. ИРОПЗ. Другими словами, приняв за единицу всю площадь окклюзионной поверхности зуба, определяют отношение к ней (как часть или процент) площади дефекта (или пломбы).

Автор выделил три степени разрушения твердых тканей зуба.
1 степень. ИРОПЗ 0,55 – 0,6 (разрушении окклюзионной поверхности более чем на 50%), с целью профилактики дальнейшего разрушения показано применение вкладки;
2 степень. ИРОПЗ 0,6—0,8 (разрушении окклюзионной поверхности более чем на 60%) – показано пломбирование и применение искусственных коронок с профилактической целью;
3 степень. ИРОПЗ больше 0,8 (разрушении окклюзионной поверхности более чем на 80%) – показано изготовление штифтовых конструкций.

Неправильное определение ИРОПЗ, а, следовательно, и выбора конструкции, приводит к отколам и расколам коронок зубов после цементирования вкладок или лечения пломбированием.
Для объективизации исследований при диагностике состояния твердых тканей зубов некоторые авторы усовершенствовали методику определения ИРОПЗ, позволяющая повысить точность и упростить его определение.
Так, например, Клемин В. А. с соавторами (2004) различают прямой и непрямой метод определения индекса в зависимости от места и вида проводимых манипуляций.
При прямом методе (с помощью градуированного стоматологического зонда) ИРОПЗ помощью вычисляют непосредственно в полости рта, а при косвенном – предусматривает снятие оттиска или оттискного изображения с исследуемого зуба, а дальнейшее определение индекса проводят на гипсовой модели. Использование компьютерной технологии для определения ИРОПЗ представляется весьма перспективным направлением в стоматологии и получает широкое распространение в клинике.
Модифицированные методики:
– определение индекса с помощью прозрачной пластинки, миллиметровой бумаги и планиметра;
– определение индекса, используя прозрачную пластинку с миллиметровой сеткой;
– определение индекса по оттиску или отпечатку из невулканизированного каучука или силикона;
– метод вычисления ИРОПЗ по внутриротовой фотографии, в том числе с использованием внутриротовых камер, специальных компьютерных программ.
Недостатки метода В. Ю. Миликевича и его модификаций:
1. Недостаточная точность:
– учитывается степень разрушения (площадь) только жевательной поверхности боковых зубов (моляров и премоляров);
– невозможно учесть глубину полости зуба и соответственно объем разрушения коронки, так как учитывается только площадь разрушенной жевательной поверхности;
– не учитывается поражение других поверхностей исследуемых зубов (вестибулярной, язычной, контактных).
2. Метод не может быть использован для оценки степени утраты твердых тканей фронтальной группы зубов (резцов и клыков), так как они не имеют жевательной поверхности.
3. Трудоемкость, многоэтапность, сложность вычислений. Модификации метода предполагают использование специального дорогостоящего оборудования (планиметр, фотоаппарат для внутриротовой съемки, компьютер и специальное программное обеспечение).
Методика определения индекса ИРОПЗ по В. Ю. Миликевичу описана в Приложении №2.
2. Выбор вида ортопедической конструкции для восстановления коронки зуба в зависимости от глубины разрушения коронки зуба – Индекс глубины разрушения коронки зуба по Терещенко Е. Н. (ИГРКЗ, 2004) – Модификация Индекса разрушения окклюзионной поверхности зуба по В. Ю. Миликевичу (ИРОПЗ, 1984)

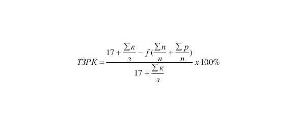
3. Метод определения тканевого запаса реставрируемых коронок зубов (ТЗРК)
Масштабы сохранившихся для реставрации тканей коронки зуба определяют путём вычисления их процентного показателя по формуле:

где
ТЗРК – тканевой запас реставрируемой коронки;
17 – количество всех поверхностных сегментов коронки зуба;
к/з – количество корней зуба;
f – коэффициент протяженности деструкции по глубине (0,1 – для начального и поверхностного кариеса, 0,5 – для среднего и глубокого кариеса, 1 – для кариеса прободающего в полость зуба);
п/п – количество пораженных поверхностных сегментов;
р/п – количество реставрированных поверхностных сегментов.
По представленной ниже табл. 1 показателей максимальных, средних и минимальных пределов индексов ТЗРК осуществляют выбор метода реставрации коронки зуба. В данном случае критерием для выбора метода реставрации зуба является попадание полученного числового значения ТЗРК в промежуток показателей процентных индексов ТЗРК (табл. 1), что способствует достоверному обоснованию принимаемых лечебных мер.
Таблица 1.
Шкала показателей максимальных, средних и минимальных пределов индексов ТЗРК и соответствующих им возможных способов реставрации коронок зубов

В сравнении с данными табл. 2 устанавливают категорию сложности деструктивного процесса и прогноза конечных результатов реставрации по уровню его расположения на поверхностных сегментах коронки зубов.
Таблица 2.
Категории сложности реставрации по уровню их расположения на поверхности коронок зубов и прогнозы их конечных результатов
.



4. Показатель объемного разрушения тканей зуба (ПОРТЗ) Янишен И. В. (1997)
Янишен И. В. (1997) предложил для обоснования выбора замещения твердых тканей зубов использовать показатель объемного разрушения тканей зуба (ПОРТЗ).
Он вычисляется по соотношению объема разрушенных тканей к объему тканей коронки. Расчет ПОРТЗ вычисляет по следующей формуле:
ПОРТЗ= V1/V2
где
V 1 – объем дефекта твердых тканей зуба;
V 2 – объем коронки зуба.
V = П R2 h
где П = 3,14
R – радиус коронки зуба или полости (дефекта);
h – высота коронки зуба или глубина полости (дефекта).
По мнению автора ПОРТЗ является не только диагностическим тестом, но и показателем, определяющим метод лечения (пломба, вкладка, искусственная коронка, штифтовый зуб) при дифференцированном выборе с целью предупреждения дальнейшего разрушения коронки зуба.

5. Индекс разрушения коронки зуба (ИРКЗ, В. А. Титоренко, В. Ю. Широков, 2013)
1. После препарирования кариозной полости снимается слепок (оттиск), по которому отливается модель из гипса (рис. 2,3).
2. На модели отмечается граница коронки зуба по десневому краю, после чего коронковая часть зуба отделяется, например, бором (рис. 4, 5, 6,7).
3. Коронковая часть зуба помещается в мерный сосуд, заполненный жидкостью. Предварительно фиксируется исходный уровень жидкости V0, после погружения коронковой части зуба определяется уровень – V1. Разница V1-V0 = Vx – объем коронки после препарирования (рис. 8,9).
4. После извлечения в коронковой части зуба пломбируются полость или полости пломбировочным материалом (гипс, цемент, композит и др.) – рис. 10.
5. Проводится повторное измерение. Отмечается исходный уровень – V0. Коронковая часть зуба помещается в сосуд, заполненный жидкостью, отмеряется уровень – V2. Разница V2-V0 = Vy – объем коронки после пломбирования полостей или объем коронковой части зуба (рис. 11).
6. Рассчитывается индекс разрушения коронки зуба (ИРКЗ):
ИРКЗ (Эврика) = (Vy-Vx) /Vy*100%
Пример выполнения способа определения объема разрушения твердых тканей коронки зуба.
В приведенном примере кариозные полости располагались на жевательной и пришеечной части вестибулярной поверхности 16 зуба (на рис. 4 полости выделены контуром). Индекс ИРОПЗ (Миликевич В. Ю., 1984) учитывает утрату тканей зуба только на одной поверхности (жевательной), точнее его площадь, и не учитывает глубину полости (объем разрушения коронки), а также полости на других поверхностях (в нашем примере на вестибулярной поверхности в пришеечной части).
1. После препарирования кариозной полости снимается слепок (рис. 1) и отливается модель (рис. 3). Для повышения точности исследования используется силиконовая масса (слепок) и супергипс (диагностическая модель).
2. На модели отмечается граница коронки зуба по десневому краю (рис. 4,5), после чего коронковая часть зуба отделяется, например, бором (рис.6). На рис. 7 показаны подготовленные к исследованию отделенные от модели препарированные коронки зубов.
3. Для исследования используются:
– мерный сосуд с входным отверстием диаметром от 15 мм с градуированной шкалой 0,1 мл (например, стеклянная градуированная пробирка, мерный цилиндр, одноразовый эндодонтический шприц с запаянным нижним узким отверстием, например, композитом);
– лабораторный штатив;
– растворы с веществами, снижающими поверхностное натяжение жидкостей на границе с воздухом: этиловый спирт (70, 90%), капля красителя, например, метиленовая синь, основной фуксин, что повышает точность исследования. Фиксируется исходный уровень жидкости V0, в нашем примере V0= 7 мл (рис. 8).
4. Коронковая часть зуба помещается в сосуд, заполненный специальной жидкостью, отмеряется уровень – V1. Разница V1-V0 = Vx – объем коронки после препарирования. В нашем примере V1 = 7,4. Vx = 7,4 – 7,0 = 0,4 (рис. 9).
5. После извлечения в коронковой части зуба пломбируются полость или полости пломбировочным материалом (гипс, цемент, композит и др.). В нашем примере пломбирование проводилось светоотверждаемым композитом (рис. 10).
6. Проводится повторное измерение. Отмечается исходный уровень – V0. Коронковая часть зуба помещается в сосуд, заполненный специальной жидкостью, отмеряется уровень – V2. Разница V2-V0 = Vy – объем коронки после пломбирования полостей и соответствует объему коронковой части зуба. В нашем примере V2 = 7,6.
Vy = 7,6 – 7,0 = 0,6 (рис. 11).
7. Рассчитывается индекс разрушения коронки зуба (ИРКЗ):
ИРКЗ (Эврика) = Vy-Vx/ Vy х 100%, соответственно (0,6 – 0,4/ 0,6) х 100%= 33,3%
При данной степени разрушения рекомендовано восстановление методом пломбирования.
Как видно из приведенного описания и примера, предлагаемый нами способ определения объема разрушения твердых тканей коронки зуба является простым и более точным метод по следующим основаниям.
1. Определение степени утраты твердых тканей коронки зуба проводится после удаления всех некротизированных тканей зуба (препарирования).
2. Впервые определение потери твердых тканей зуба возможно при любой локализации кариозных полостей (жевательная, контактная, вестибулярная, язычная).
3. Впервые предложен способ количественного измерения объема утраты твердых тканей коронки зуба, так как учитывается глубина полости.
4. Впервые возможно одномоментное определение утраты твердых тканей коронки зуба при наличии нескольких полостей на различных поверхностях коронки зуба (сочетанные поражения).
5. Впервые возможно количественное определение объема утраты твердых тканей коронки зуба для любой группы зубов (фронтальной и жевательной группы).
6. Оценивается степень утраты тканей зуба одномоментно, не требуется сложных расчетов и измерений.
7. Метод легко воспроизводим, не требует специального обучения врача-стоматолога.
8. Метод не требует специальной дорогостоящей аппаратуры, экономичен.
9. Позволяет обосновать метод восстановления утраченных тканей коронки зуба (пломбы, вкладка, коронка, культевая вкладка и коронка), в зависимости от степени ее разрушения, что повышает эффективность устранения дефектов твердых тканей зуба, снижает вероятность осложнений.

6. Классификации дефектов коронковой части передних зубов под армированные композитные реставрации по Меликяну
I класс – дефект режущего края коронковой части передней группы зубов до 2 мм (рис. 12);
II класс – дефект режущего края коронковой части передней группы зубов более 2 мм (все дефекты более 2 мм, находящиеся в области режущего края зуба, включая полное отсутствие режущего края) (рис. 13);
III класс – разрушение коронковой части зуба до 1/2 её высоты (в этот класс входят дефекты с горизонтальной и угловой направленностью);
IV класс – разрушения коронковой части передней группы зубов до 2/3 её длины (рис. 14);
V класс – полное отсутствие коронковой части передней группы зубов (рис. 16);
VI класс – дефект угла режущего края (рис. 17);
VII класс – дефект угла режущего края не ниже средней трети высоты коронки (рис. 19);
VIII класс – дефект угла режущего края коронковой части не ниже шеечной трети её высоты (рис. 19).

4. Индекс высоты коронки опорного зуба (ИВКОЗ, Верстаков Д. В., 2015)

7. Индекс определения объема сошлифованных тканей зуба (Стафеев А. А.)
Для определения индексной оценки использовали следующие параметры зуба: высота коронки диаметр (MD), вестибуло-лингвальный диаметр (VL) – в соответствии с методикой Р. Мартина, а также рассчитывали модуль коронки зуба – MD + VD / 2 (4). Для определения объема сошлифованных тканей нами предложен специальный индекс. Суть расчета состоит в следующем: до препарирования определяем общий объем (V) коронки зуба :
Общий объём (V) коронки зуба = Н кор. х m кор. х m шейки зуба
где
H кор. – высота коронки зуба,
m кор. – модуль коронки зуба,
m шейки зуба – модуль шейки зуба.
После препарирования зуба определяли параметры культи зуба параметры культи зуба.
параметры культи зуба = H культи кор. х m культи зуба х m культи шейки,
где H кор. – высота коронки зуба,
m кор. – модуль коронки зуба,
m шейки зуба – модуль шейки зуба.
Далее определяли индекс объема препарируемого зуба (J V):
Jy = (H культи кор. х m культи зуба х m культи шейки) / Н кор. х m кор. х m шейки зуба*100%
8. Выбор восстановительной реконструкции вкладкой (Рогожников Г. И.) (1991)
В 1991 г. Рогожников Г. И. предложил проводить выбор восстановительной реконструкции вкладкой, учитывая степень потери твердых тканей зуба и в зависимости от топографии дефекта, что позволяет наиболее оптимально выбирать вариант конструкций вкладок. Автор различает пять степеней разрушения коронки зуба в зависимости от количества пораженных поверхностей коронки зуба:

9. Оценка состояния керамических вкладок
Проводят визуальный осмотр реставрации с использованием стоматологического зеркала, зонда и операционного микроскопа.
Оценивают чувствительность зуба после лечения, наличие трещин на керамической вкладке и на поверхностях тканей зуба, видимых с использованием операционного микроскопа и без применения специальных средств, наличие перелома реставрации, текстуру поверхности, появление вторичного кариеса, окклюзионный и апроксимальный контакты, краевую адаптацию между вкладкой, цементом и эмалью зуба, состояние фиксирующего цемента. Оценку проводят по оценочной шкале. Каждый из критериев анализируют отдельно.

Способ позволяет провести точную оценку состояния керамических вкладок для своевременного принятия мер для исправления выявленных недостатков за счет проведения оценки по оценочной шкале и проведение анализа каждого из критерия отдельно.
Таблица 3.
Критерии оценки состояния керамических вкладок


10. Способ определения индексной оценки качества штифтовой реставрации утраченных тканей коронок зубов
Для определения оценки качества эндодонтической штифтовой реставрации коронок зубов мы выделили несколько критериев, связанных с показателями обследования зубов, реставрированных эндодонтическими штифтовыми конструкциями, а варианты их клинического состояния оценивали по количеству баллов от 0 до 5, из которых составили карту балльной оценки исследуемого зуба (таблица 4).
Количество баллов со значением 5 мы выбирали по числу разновидностей и сложности клинических состояний штифтовой реставрации, а их распределение осуществляли с учетом степени возможного устранения погрешностей реставрированного зуба.
Таблица 4.
Карта бальной оценки клинического состояния штифтовой реставрации зуба


Примечание: ПКЭШР = баллы критериев R1, умноженные на сумму баллов критериев F1.
Например, рентгенологические признаки «разрежения костного рисунка» в проекции корня зуба, реставрированного штифтовой конструкцией, свидетельствуют о деструктивных процессах в периодонтальных структурах челюсти и являются прямым показанием к удалению данного зуба, а при отсутствии этих изменений и наличии дефектов в системе реставрированной коронки можно рассматривать варианты ее восстановления.

Другими словами, чем больше вероятность полноценного восстановления утраченных объемов реставрации, тем выше оценочный балл.





