
Полная версия:
Фёдоров Е. А. Об одной эвристической точке зрения
- + Увеличить шрифт
- - Уменьшить шрифт

Фёдоров Е. А.
Об одной эвристической точке зрения
ПРЕДИСЛОВИЕ ФЁДОРОВА
Меня заверили, что с очередною математической формулою, поразивши себя дико странными символами, читающая личность мигом откажется получить знакомство с книгою. Я не способен ступать против воли своей ни на шаг, но и врать мне отнюдь не естественно. Признаюсь, когда я рисовал всё новые стрелочки с дифференциалами, сжималось сердечко моё беспокойством за народ, склонный опасаться слабого ума (своего) для занятия чтением непонятным. Переживал, что потому он сочтёт такое дело бесполезным и малоприятным. Однако нервозность сгинула приходом критики одною неделею до издания. Товарищи из политологического, культурологического, химического, палеографического и литературоведческого направлений независимо друг от друга, без капли намёка на молодецкий маразм, продемонстрировали восторг да увлечение от новых взглядов. Исключительно чтобы выразить уважение коллегам, скептично воспринимающим «чистую» философию и не признающим пониманий мира, где нет точного аппарата, мне пришлось оставить подаяния на блюдце математическом. Иначе прислушается кто? Не вам ли напомнить биографию Фарадея, с домыслами которого не считались люди без формальностей пера максвелловского?
В предложенном сочинении помещены рассуждения над областию вопросов, со времён оны1 терзавших головы человеческие. Сии хартии2 излагают идеи появления материи во Вселенной, извергая новые понимания о пространстве и времени.
Выражаю благодарность незабвенным казателям3 моим за соизволение поделиться знаниями драгоценными. Спасибо декану факультета философского, звездоблюстителю4 Лорану Дюруа, ввиду интереса к трудам настоящим и советы занудливо-уместные.
Е. А. Фёдоров
Априллий, 1905 г.

Глава I. Водная часть
§ 1. Жизнь = бытие
Должно слово начать о не одной тысяче чайных вечеров, проведённых с профессором Фри́вэлэсом, во многих отношениях замечательным человеком. Долг мой не умолчать в сочинении о полемиках наших бескрайних, ибо посягали они на праведность термина «жизнь», ибо подвигли мысли мои по итогу на путь истинный. Будет неправильным пренебречь вместе с тем описанием приятеля худородного, сыгравшего ключевую роль не только в истории России, но и планеты.
Всего очевиднее характер его читался в головном уборе. Даже в помещении Фривэлэс страдал привычкою носить хомбург, над которым забавно надругалось время: фетр продырявился во многих местах и стал походить на половую тряпку, высохшую после серийного мытья зазубренных деревянных полов на палящем солнце, а тулья, некогда напоминавшая муравейник, теперь щекотала воспоминания о требухе, волочённой в песочной глине крестьянского сарая. Профессор биоценологии снимал шляпу редко, тогда и только тогда, когда разговором забывались разные комплексы с дурными обыками5. В эти минуты он ловко раскручивал её за поля, и внимание собеседников мгновенно приковывал неподражаемый навык, воровавший взор с гладкой, блестящей на свету, как стальной шар во время pе́ntanque6, лысины, украшенной в лентиго.
Все говорили, что густые короткие брови профессора, стянувшие складки на переносице ортогонально отчётливым морщинам на лбу, очень хорошо сочетались с изжёванным бледным галстуком в горошек и тёмным мятым костюмом-тройкой (белый жилет так часто впитывал окрас пиджака от выступавшего пота, что ни один нормальный человек не признал бы доли светлого оттенка, свойственного ему десятки лет назад).
«Жизнь универсальна, системна и не обязана идти за химической сходностию», – высказал Фривэлэс на одной из посиделок. Высшим образом я согласился с приятелем. В моём представлении жизнь всегда характеризовалась системностью – неизречённой бескрайностию слаженных механизмов, которые повторяют один и тот же процесс до тех пор, пока не появляются сбои и не приходит смерть; и системность эта универсальна: будь то микроб, птица, коза или человек.
Доколе7 раздумывал смысл последних, моего визави заняли другие тематики. Пребывая в нетерпении, смело мог Фривэлэс сменить разговор и забыть о предшествующих рассуждениях. Точно рвясь от истины уклонить и чрезмерно чётко выделяя звук «й» в каждом слове (и ажно там, где буквы «е», «ю», «я»), переключился сукин сын, картавый на «р», к дискуссии о вирусе:
– Вир́ус, чай знать, неживое. Инстр́умент.
– Кому-то всё a priori ясно. Поди, мозговать не дано, начитаются книг, абы слюни гордо пускать да кукарекать!
– Чтить пр́ивык, что читаю… толкованному мнению гр́ош отдаю, – скаля зрачками, искал новую дюжину отговорок Фривэлэс, поняв, что речь шла именно о нём. Будто пе́сельный пёс с улицы, у которого трагически отняли последнюю кость, гелертер8 скорчил обиженную, озлобленную гримасу.
– Вир́ус ваш, судэр́ь, – продолжил он, сбросив с горла комок и повысив тон мерекающими нотками di grazia тенора, – пр́и пар́азитир́овании клеток живого ор́ганизма включается, без них он что камень на р́ечке: никак-с себя не пр́оявит. Где слаженность, объясните, сер́9?! Жизнь нельзя постр́оить без системности, вот скажу. Ну да, э-э-э… пр́авильно было замечено, нужна… э-э… р́итмичность вот, и жизнь – это… э-э-э… мех́анизм… машина… машины обязательно р́итмичны, цикличны! Получше меня, небось, знаете навер́няка?
– Постойте же, постойте! Ну, активировался вирус-душегуб ваш, допустим, внутри него начнут проходить те самые циклические процессы, о которых вы ба́ите10 без устали, он размножится и расплодится, – загонял я учёного в тупик и в то же время по неопытности сам выдавал нелепость.
Фривэлэс осмотрелся по сторонам отупевшим взглядом, продолжив нести чепуху и отступая от прямого ответа:
– Извините, но вы… Ты себя выставляешь полнейшим идиотом. На глазах всё написано, и за пенсне тоже, написано типа «настоящий казахский бар́ан». Я не могу спор́ить, когда оппонент не знает, о чём мне доказать пытается. Системность есть множество взаимно… взаимосвязанных элементов… обособленное от ср́еды и взаимодействующее с ней, эм-м… как целое. Жизнь – ор́кестр́, а не скр́ипка, бар́абан и фаѓот по отдельности. Тут уместны стр́уктур́ы, по-р́азному р́аботающие.
Подождав продолжительную паузу для осмысления услышанного, я разозлился:
– Профессор, вы не слышали, о чём я только молвил?
– Более! Досконально р́азъяснил, ѓосподин, – с иронией на последнем слове пропел мерзавец.
– Совести нет! Наука благодаря таким книжным червям никуда с места не движется! Невегла́с распутный! В рассуждениях вы глупы, как дубина.
После сказанных мною слов Фривэлэса одолела ярость, приступ которой возложил ему перст на уста. Люди, сосредоточенные только на ходе своих мыслей и пытающиеся занять тему набором лишних фактов, дабы оправдать себя и прийти к определённо прочим хриям11, на мой взгляд, замедляют прогресс общества в целом. Не составило бы труда показать, как многоуважаемый профессор и мастер по любопрению12 обратил предмет формы бытия вируса толкованием значимости термодинамической неравновесности в смысле физического принципа организации живой природы. Но того не стоят дре́ва, срубленные на мемуар13, что пред очами вашими.
Между тем нам следует итти14 дальше. Пресные споры возожгли тою ночью озаренье, приведшее меня к гряде́ невообразимых доселе открытий. Измышлял я, как вернее всего нарица́ть15 слово «жизнь». Сколько согласованных механизмов должно быть, во е́же16 данное понятие смысл имело? И при всём притом какова мера наименьшего периода повторяющихся циклов? Вольны ли молекулы и атомы именовать себя жизнью? Ведь в атоме электрон совершает периодические движения, скоординировавшись, будто шестерёнка в часах, с электромагнитным полем ядра и других электронов.
Понятие жизни наверно17 относительно. Всякий самоподдерживающийся в определённый временной срок физический процесс сюда вписывается (даже тот, что длится в течение иоктосекунд в субатомной частице). Предлагаю нарекать проявлением жизни факт существования материи протяжённостию в любой численно малый интервал времени, едва отличимый от нуля. Гипостасис свободен от недостатка своею фундаментальностию: жизнь суть бытие.
Озвученная мысль поможет нам достигнуть всю курьёзность акта мироздания и духа времени. До́ндеже18 остаётся поговорить о свойствах жизни, её «индикаторах». Первое, с чего начнём, – это самовоспроизведение. Подобно фракталу, жизнь повторяет структуру с увеличением пространственных и временных масштабов, усложняя конфигурацию. Планеты, светила, космическая пыль, галактики и звёздные скопления есть не что иное, как особая форма жизни! Не удивлюсь, ежели вдруг окажется, что сей изощрённый зрак19 интеллекта, как туманность Ориона, глубже познал тайны естества́ либо значительно отстал в развитии на фоне Homo sapiens.
Самовоспроизведение отнюдь не редко фигурирует в природе: обязан припомнить прикла́д20 о копировании законов Ньютона. Дело в том, что честное движение атомов покоряется специфическим уравнениям квантовой механики, настолько сложным, что никто до сих пор не смог вывести их детерминистическую форму, кии́ при рассмотрении жуткого обилия частиц на достаточно больших масштабах пространства грешно́ заменяются что называемыми законами Ньютона.
Снарядившись теоремой о движении центра масс, легко уловить концепцию юдо́ли плачевной21: при дальнейшем расширении размеров физической системы эти законы остаются всё теми же законами Ньютона! (Конкретнее: уравнение движения для одной материальной точки в инерциальной системе отсчёта

выглядит точно так же для нескольких материальных точек, ведь последние заменяются искусственно на одну, называемую центром масс, а центр масс движется по кодексу:

где mΣ – масса всех точек, FΣ – сумма действующих на них сил.) Классическая запись движения воспроизводится от предметов энергиею в одну леодрную22 долю микрограмма, камо23 вмещаются арабы24 атомов (уровень молекул), до небесных тел, соизмеримых с планетами Солнечной системы и вя́ще25. Чем больше по размеру система, тем точнее исполняются законы Ньютона, за исключением гигантских простор, которые технически мы не способны обозревать и исследовать. Возможно, на галактики не распространяется самовоспроизведение и там кипит физика совершенно иных правил, возможно, разумная жизнь ограничена и с усложнением механизма этой взаимосвязанной системы ничего более сознательного не появляется.
Второе, чем мы закончим параграф, называется неравновесностию. Жизнь никогда не бывает там, где ничто не меняется и однообразно. Хватит иллюстрации такого рода. Вообразим островок, полный зелёных трав и косуль. Без хищников травоядные равномерно разбредутся по всей территории и начнут синхронно потреблять зелень. Растениям станет не в мочи к сроку расти, и все фитофаги погибнут от голода. Жизнь процветает в неравновесных обстоятельствах, посему требуется добавить волков. Плотоядные будут охотиться за косулями, губители трав объединятся в стада́ и устроят бродяжничество (исчезнет равномерное распределение), станут прятаться, не засиживаясь подолгу в одном месте. Отныне их численность уменьшится, зато корма, за достатком времени на обновление, им хватит.
Ближе к концу мемуара мы обсудим настолько элементарные представления о мире, что нам придётся отказаться от интуиции. Неравновесность и самовоспроизведение подарят уверенности нашим действиям, доказав истинность избранного пути.
§ 2. В натуре нет натуральных чисел
Обширный путь одолел человек перед открытием числовых множеств. Не исключена возможность сего озарения более раньше эпохи палеолита; и всё же исторические данные повествуют о calculi26, впервые упомянутых в городе, чьё величие вызывало умилённую зависть Ближнего Востока, а плоть наполнялась глиняными кирпичами. Речь о доме шумеров Южного Междуречья, древнем Уру́ке, где сохранились останки храма Эаны до дней наших.
Мириады овчинных голов насчитывались во владении священного места. По наступлении сезонов жарких гоняли древние полорогих на пастбища в районы северные, а следующею встречею совокуплялись27 нуждою численность парнокопытных сравнить с момента выпаса, какая оказалась, к счастью, виновной в появлениях письменности да чисел натуральных.

Не приму на плечи усталые свои, от погонов чина высокого, ответственности лишней, заявив об открытии, никем ранее не совершавшемся. В то же время заперво светскому люду из аудитории широкой собираюсь изложить исследование фено́мена, который мне пришлось постигнуть лепою летней ночию, лёжа в глубоких мыслях на одре́.
Попрошу представить обыкновенный табурет: законно ли мы считаем его количество суть единицею? Немедленно отвечу: абсолютно безосновательно! Начнём, подобая параграфу выше, ми́зерным отступлением. Табурету вручим настолько щепетильное и грамотное определение, насколько поймёт его любой инопланетянин. В первой чреде, конечно, мы заинтересованы формулировкою, коя зиждется на промыслах физических, деревенское же празднословие и за milione28 червонцев не примем.
Во передня29 авторитетные умы математики (получившие знакомство со мной по благу конференций научных) придумали шутливое оправдание, безупречно лишив внимания всевозможных ряд30. «Сделаем касательную плоскость к многообразию глаженному, которой угораздило вложиться в евклидовое пространство с тремя измерениями, – говорили они, – оформим поверхность нормалями в количестве n штук, веря, что не имеют они равных точек и n – собственность множества неотрицательных целых чисел. Конечный результат назовём „табуретом”». Поняли они сами, зачем сотрясли воздух речами пустыми – загадка, я откажусь от анализа столь возмутительного лукавства, s. s.31
Обрести аутентичность споспе́шествует32 воображение. Пусть на заводе по производству табуретов один-единственный экземпляр отличается позорно тонкой царапиною или вкраплением, тогда приравнивать его к названному этнониму скамей довольно-таки пререка́емо33 и тупо. Чистокровные гурманы неукоснительно вытянут из личного хранилища знаний информацию о том, что энная вещь таит в своём составе атомы. В представленной надобности мы вынуждены рассмотреть дискретную задачу и, не лимитируя общности, установить деревянное изделие как целиком и полностью определённое количество атомов тех или иных сортов, ранжированных менторским порядком.
Известно: атомы и молекулы по́часту то покидают окружающие тела, то к ним прикочёвывают. Сомневаетесь?.?34 Напрасно! Достаточно пройти около пекарни с одним токмо прибором для детектирования сих частиц, владеть которым умелые хоть раб убогий, хоть ва́хмистр благополучный, хоть император привередливый: ab ovo usque ad mala35. В механизме прибора сего царствует принцип комбинаторный: подобно нотам музыкальным или словам безграничным, в просторные гаммы ароматов он сигналы сливает. Тёплый хлебобулочных изделий запах, в нос увлечённый, – те же оторванные с караваев молекулы, что угодили в ноздри к нам и возбудили нейрон передней части мозга головного, пустив по аксону волну кратковременного изменения потенциала мембранного в луковицу обонятельную и ретранслировав информацию в иншие36 отделения по обработке данных. Таким манером, физический эксперимент возможно провести каждому, кто различает запахи (нос и есть тот чудо–прибор), дабы подтвердить утверждение: мол, табурет теряет часть молекул в потоки воздушные.
Смутному не понять, но мудрый мнение разделит: объявятся вопреки частицы, испорченные желанием присоединиться к деревянному творению. Объект нашего исследования некорректно считать точным количеством атомов сорта различного, не то, демагогичным языком выражаясь, бытующий в момент времени t один табурет, значится в пору t'≠t, сократится до 0,9…986 штук или, противоположно, размножится на ассамблею в 1,0…034 сидений! Воленс-ноленс останется поступить нечестиво, душу продав усреднению (почи́вши суетливые37 флуктуации). Искусственность такая, a propos38, говорит об исключительно приближённом характере натуральных чисел (естественно, в рамках математической абстракции действительных). Прозрачно изъясняясь, в модели мира, построенной на поле вещественных чисел, натуральные выступают как негрубое допущение, облегчающее расчёты и рассуждения.
Сове́тная глава наверно подметит помеху: электроны, протоны, нейтроны… даются количеством определённо! Однако! Откуда у нея́ столько уверенности?.? Не может ли оказаться интуиция злонравной? Внезапно вдруг всё вокруг варьируется временем, возможно?
Изложением ниже как нельзя более внятно проиллюстрирована достоверность заявления о структуре внутренней частиц «элементарных» вроде кварков и лептонов, полно она экипирована уравнениями математическими и подтверждениями экспериментальными.
В сей красный час огласке предадим причину, по которой происходят явления, поклоняющиеся формулам оным.
Дело случилось незадолго после выхода человеческого ума из-под заблуждения длиною в пять тысяч лет, когда замыслил я ответ раскопать на всего разумного давнюю загадку: «Из чего мир слеплен?» Обнажённая истина оказалась довольно простой в понимании: пространство заполняют невидимые Δ–частицы (нет, нет, не дельта-резонансы вовсе, как мог непредумышленно дезориентировать себя читатель, что носят во плоти три разномастных кварка верхнего и нижнего типов; означения случайно совпали по воле божьей, но никаких неудобств, уверяю, за этим не последует). Невидимые, потому как размер их абсолютно точно равен нулю, отсюда же, по ассоциации с численно малыми величинами, которые в народе любят почитать четвёртою буквою греческого алфавита, следует столь интересное именование.
Должно, впрочем, отметить: Δ–частицы, конечно же, суть обыкновенные точки. В любой сколь угодно малой области ненулевого размера содержится их тьмочи́сленное «количество». Азартный детерминист неукоснительно попробует выдумать законы движения для только что открытых физических тел, и тем совершит оплошность: объекты в покое находятся при́сно39!
Отличие Δ–частиц от пустых точек слагается наличием состояния, какое, в свою очередь, передаётся от точки к точке по ходу времени. Так создаётся иллюзия перемещения отдельных зон в пространстве и, соответственно, физических частиц, наблюдаемых опытным манером. Приходя творцом нового мировоззрения, оставлю я просьбу на плите моей надгробною выточить озвученные идеи: «Мы – пространство-время, единое целое».
Предпринимая свои исследования, я упорно выбирал опорное положение меж несколькими вариантами. Во-первых, набор чисел (действительных, комплексных, гиперкомплексных) мог представить состояние Δ–частицы. Этот подход включал поиск фундаментальных констант, следовавших из решения кое-каких задач. Во-вторых, рассматривалось только два типа состояния. Я долго не мог понять, какое из этих воззрений лучше, обе затеи не молотили довода на появление цифр из ниоткуда.
Изложу обе теории вместе во имя комплектности; в новом же мемуаре отдам предпочтение к***.
Глава II. Фиал с мышиным молоком
§ 1. О том, как superconductors мою теорию подтвердили
Альков, обособленный тёмною бархатною занавескою, сторожил покой праздной Анны Михайловны, супруги моей. Сгорбившись над небрежно шлифованным кухонным столом, я жёг керосиновую лампу на последний фрагмент университетского жалованья40, и без того потешно невзрачного. Вновь ночной дух помог мне забыть обстановку кругом, и тело, и час, бегущий за часом: мысли окольцевали далёкий мир лептонов, глюонов, преонов, наконец, Δ–частиц.
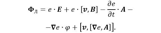
Осознал, как ошибочно мы облекали доверием неизменность основательных черт прислуги в имениях атома, только нарастите внимание! Подражая парадигме табурета (из § 2 первой главы), у которого суммарные заряд с массой меняться могли на единицы презренно ничтожные, проанализируем случай мчащегося под действием электромагнитного поля электрона, заряд элементарный какового e = e(r; t) зависит от координат r его и времени.
Функция Лагранжа от наличия поля понесёт слагаемое

причём φ(r; t), A(r; t) разумеются как скалярный и векторный потенциалы, v – как скорость. Сила Лоренца, со стороны поля на электрон действующая, равна, s. s.,

Детская утеха – выкладку провернуть, результат отыскавши прекрасный:

Держа в уме разницу операторов производных по времени полною и частной:

откроем сугубым дыханием градиент (1):

Означим, по обычаям предков, напряжённости электрическую с магнитной так:

и перебелим41 (2) фактами добытыми:

Считая размеры электрона численно малыми, по справедливости уничтожим градиент заряда. Классическая сила Лоренца

ныне переродится в

Девственный потенциал A, временно́ю производною не обиженный, калибровочные преобразования

в порошок сотрёт. Это говорит о многом: на электрон в поле с нулевыми векторами E и B во всех точках, в приятной компании A, продолжит сила действовать ненулевая:

По-видимому, A не обесчещенный математический трюк: он держит глубокий физический смысл (подобно ушедшему из уравнений на почве точечного согрешения скалярному потенциалу φ). Не может не потрясти спослушествование42 эффекта Ааро́нова – Бо́ма, небезуспешно наблюдавшегося задействованием материалов сверхпроводящих. Гласит он о воздействии электромагнитного поля на заряд электрический в условиях, кристально подражающих нашим (когда E = B = 0, но A ≠ 0). Выводы рисуйте, очень прошу вас, сами!
Отмеченным следствием квантовой теории история не исчерпывается. Дополнение, объясняющее предыдущее явление и указывающее на изменчивость фундаментальных параметров, обязует начать знакомство чтеца с моделию Δ–частиц.
Каждой точке M(x1;…;xn) евклидового пространства En, сконфигурированного n измерениями, вознесём по некоторому правилу ε число ε из расширенного числового поля K соответственно (K включает бесконечно удалённую точку). Количество элементов в столбце, изоморфного ε, определяет размерность времени (подробнее см. § 3). ε, подействовавши на точку M, ей производит взамен Δ–частицу, и обладает Δ–частица попутно ε–энергиею.
Тем часом бесконечно удалённая точка вносит трудности особенные в теории сооружаемой, как из печки пирога, её ждут сингулярности самых глубинных недр чёрных дыр. Забудем сегодня, однако, сжалившись над умами, от математики далёких, да раз навсегда решим сохранить в этом мемуаре не более чем конечные элементы в K.
В толщах пространства числа меняются таким образом, что в необширно выделенных зонах практически не отличаются друг от друга, за исключением навязчивых флуктуаций отдельных точек, где (в скобках пусть оговорено станет) употребление слова «отличаются» в отношении к гиперкомплексным числам пользуется в смысле «фаз» и «модулей», обобщённых по образу и подобию комплексных чисел.

