
Полная версия:
Boxodir Xoshimovich Karimov Elektronika asoslari. O'quv qo'llanma
- + Увеличить шрифт
- - Уменьшить шрифт

Elektronika asoslari
O'quv qo'llanma
Boxodir Xoshimovich Karimov
Muharrir Sa'lim Madraximovich Otajonov
Illustrator Boxodir Xoshimovich Karimov
Illustrator Ibratjon Xatamovich Aliyev
Muqova dizayni Boxodir Xoshimovich Karimov
Muqova dizayni Ibratjon Xatamovich Aliyev
Tuzatuvchi Boxodir Xoshimovich Karimov
Tuzatuvchi Ibratjon Xatamovich Aliyev
Taqrizchi, fiziko-matematika fanlari doktori, Farg'ona Davlat Universiteti fizika-texnika fakulteti professori Salim Madraximovich Otajonov
Taqrizchi, fiziko-matematika fanlari doktori, Farg'ona Politexnika Instituti "Fizika" kafedrasi professori Nomonjon Sultonov
© Boxodir Xoshimovich Karimov, 2023
ISBN 978-5-0059-0721-9
Создано в интеллектуальной издательской системе Ridero
Kirish
Elektronika fani universitet va texnika oliy o’quv yurtlarining «Texnologiky ta’lim», «Fizika» «asbobsozlik», «elektronika va mikroelektronika» yo’nalishidagi o’qiyotgan bakalavr talabalari uchun asosiy kurs xisoblanadi.
«Elektronika asoslari» o’quv qo’llanmasida etarli darajada rasmlar, grafiklar, jadvallar va ma’lumotnomalar berilgan.
PF-60-son – 28.01.2022.
2022—2026 yillarga mo’ljallangan yangi O’zbekistonning taraqqiyot strategiyasi to’g’risida adolatli ijtimoiy siyosat yuritish, inson kapitalini rivojlantirish masalasiga davlat siyosati darajasiga ko’tarilgan. Taraqqiyot strategiyasining asosiy masalalaridan biri bo’lib, hamma soxalarida, jumladan, elektronika, xisoblash texnikasi, radiotexnika, robototexnika va informatikada soxada raqobatbardosh kadrlarni tayorlashdan iborat.
Shu munosabat bilan elektronikaning zamonaviy element bazasini ko’z oldiga keltiruvchi, elektron asboblarining tugun va sxemalaridagi barcha qismidan o’tayotgan jarayonlarni o’quvchiga tushuntiruvchi, yukori darajali mutaxassis pedagog kadrlar va muxandis kadrlar tayyorlashga talablar ortib bormokda. «Oliy va o’rta maxsus ta’lim Nizomi» da kelajak o’kituvchi, tarbiyachilar, muxandislarga eng zamonaviy bilim va yaxshi tayyorgarlik berish kerak deb, ta’kidlab o’tilgan.
Universitet va texnika oliy yurtlarida «elektronika asoslari kursi», «radioelektronika», «radioelektron qurilmalar ishlab chikarish texnologiyasi», «Radioelektronikadan amaliy mashg’ulot», «mikroprosessor texnikasi» va boshqa fanlar qatori asosiy talabaga politexnik tayyorgarlikni beradi.
Yakin kelajakda fizik, texnologik, biologik, ximik va kibernetikizlanishlarni kompleks qo’llab, elektronikada katta muvaffakiyatlarga erishilishni pedagoglari nazarda tutish kerak.
Elektronika o’zining rivojlanish jarayoni va REA ning qiyofasiga katta ta’sir kilib, zamonaviy sanoat va qishloq xo’jaligi, ilmiy tekshirish va medisinada; maishiy xizmat va transportda, o’qitish usulublarni takomillashtirish va aloqa vositasi xamda inson faoliyatining hamma soxalarida printsipial yangi asbobyaratish imkonini beradi. Biz quyida zamonaviy elektronika rivojlanishning ayrim soxalarni keltiramiz.
Mikroelektronika. Qurilmalarning istemol ener giyasini kamaytirish va ishlashda ishonchlilikni orttirishda, minityurizasiya kilish, xozirgi zamon mikroelektronikasini rivojlanishdagi asosiy tendentsiyasi, bo’lib katta (bis) va o’ta katta (SBIS) integral mikrosxemalarni yaratilishi elektron tugunlar va diskret radiodetallar blokini almashtirish imkonini beradi. Sxemalarni keyingi miniatyurizasiyasi elektronika, xisoblash kurilmasi va magnit yozuvchi kurilmalarining takomillashishiga, oldindan berilgan funktsiyali yangi asboblar yaratilishiga revolyusion ta’sir ko’rsatadi. Shuni aytish kerakki, xozirgi texnologiyada bitta yarim o’tkazgichli kristallda milliontagacha radiodetallar bo’lgan bis lar yaratish mumkin.
Optoelektronika. Xozirgi zamon optoelektrinikada katta sig’imli, tez ishlovchi, yuqori xalaqitlardan muxofaza qilingan tolalar optikasi liniyalarini yaratishda fundamental izlanishlar olib borilmoqda. Bunday liniya orqali bir vaktning o’zida 10000 gacha telefon aloqalar, 10 kanalgacha bulgan yuqori aniqlikda rangli televideniya signallarini jo’natish mumkin. Optoelektronikada yorug’lik nurlarining fazo bo’yicha modulyasiya printsipi qo’llaniladi. Bu asosda quyidagi vakuumsiz elektron «qurilmalar» yaratiladi: optoelektron kuchaytirgichlar, mantiqiy elementlar, yassi ekranli rangli televidenie, juda katta informasion tablo va x. z. Xozirda optoelektron xotiralovchi (optik xotiralovchi) disklar yaratildi xamda takomillashtirish bo’yicha yangidan-yangi izlanishlar olib borilmoqda.
KRIOGEN ELEKTRONIKA. Past (kriogen) temperaturadagi xodisalardan foydalaniladi, yaxni bunda metall va qotishmalarning o’ta o’tkazuvchanligi, izolyatorlarning dielektrik kirituvchanligini elektr maydon va boshqalarga bog’liqligi tushuniladi. Bunday xodisalardan kriogen Triggerlar, o’ta keng polosali kvant kuchaytirgichlari, elektr signallarining liniya tutqichlari va x.z asboblar yaratishda foydalaniladi. Shuni aytib o’tish kerakki, kriogen asosida mantiqiy va xotiralovchi funktsiyalarni bajaruvchi bis larni xam yaratish mumkin. Elektron asbob o’rnatilgan bo’lib, uning yordamida milliard yorug’lik yili masofasidagi kosmik fazosini o’rganish imkonini beradi.
MAGNIT ELEKTRONIKA. Bu juda kichik to’yingan magnitlanuvchan materiallarni vujudga kelishi, uning asosida yupqa plyonkali magnit qurilmalar ishlab chiqarilishiga, magnit plyonkalar, kommutasion qurilma, magnit yarim o’tkazgichlar va x.z ni yaratilishiga olib keldi. Uncha katta bo’lmagan magnit yarim o’tkazgichli kristallda mantiqiy elementlar, kommutasiyalovchi qurilmalar va xotiralovchi elementlarni xar-xil ko’rinishlarini xosil qiluvchi bir necha ming sxemalar joylashtirish mumkin. Bu kristallarda hosil qilingan qurilmalar 3*106 bit/s tezlikda informasiyaga ishlov bera oladi, xotirasi esa bir santimetr kvadratga 105 li yozuv zichligi to’g’ri keladi.
Bioelektronika. Elektronikaning rivojlanishidagi yana bir yo’nalish bo’lib, tirik organizmning tarkibi va xayot faoliyatini, (shu jumladan insonni) taxlil qilishda, asab sistemasini o’rganish, xar-xil jinsli bug’lanish (ximiyaviy maydon), magnit maydoni, inson tanasi va x.z.ni radionurlanish kabi muammolarini o’z ichiga oladi. Elektro radiokardiogramma (EKG) dan farqli o’laroq yurak ishlashi signalini aniqroq o’lchovchi magnitokardiogramma asbobini yaratish mumkin. Infarqizil (miokard) dan keyin yurak paylaridagi o’lgan qismlarni magnit maydonli kvant o’lchovchi asbobi qayd qiladi. Kam xalakitli radiopryomniklar yordamida inson tanasi ichidagi temperaturani radionurlanish yordamida aniklash mumkin. Bunday asbob yordamida xronik apendisit, o’pkalarni shabadalashi va x.z. ni diagnoz qilish mumkin. Inson issiqlik nurini o’lchab juda qiziq informasiyalarni olishi mumkin. Bu bio informasiyalaryordamida tomirlar xolati, organizmdagi shabadalash jarayoni va x.z. lar xaqida fikr yuritish mumkin. Bu ayniksa bolalar pediatriyasida katta axamiyatga chunki, sababi ular o’zining kasalliklari xakida maxlumot bera olmaydilar.
Akustoelektronika. Elektronikaning bu yo’nalishi akustik va pxezoelektrik effektlarni elektr maydoni bilan ta’sirlashishiga asoslangan. Pxezoelektrik o’zgartirgichlar, masalan, ulrtratovush liniyalarda elektr signallari ta’sirida akustik signallar xosil qiladi va aksincha. Barchamizki ma’lumki, elektromagnit va akustik to’lqinlarining tarqalish tezligi o’zaro bir-biridan keskin farq qiladi, shunga asoslanib esa vaqt bo’yicha signallarni siljishi va ushlanib qolishini xosil qilish mumkin. P’ezooelektrik yarim o’tkazgichlar elektr maydoni akustik tulqinlarga xam ta’sir kiladi. Bu esa teleradio qurilmalarning signallarini o’lchash imkonini beradi. Xozirgi vaqtda musiqani yuqori sifatda qayta eshittiruvchi qurilmalar yaratilgan.
KVANT ELEKTRONIKASI. Kristall atomida kogerent nurlarning tarqalishi, ya’ni majburiy (indusirlangan) xodisadan foydalanib o’ta yuqori chastotali elektromagnit tebranishlarni xosil qilish va kuchaytirish usullarini o’rganadi. Xozirgi vaqtda yuqori quvvatli, bir tomonga yuqori daraja yo’naltirilgan, ko’rish diapozoni spektorida to’lqinlar tarqatuvchi mikro to’lqinli kvant generatorlari (lazerlar) yaratilgan. Bizning mamlakatda kvant elektronikasiga asoslangan o’ta yuqori sig’imli, tola – optik liniyali aloqalar, xar-xil texnologik qurilmalar, tabobat asboblari, aniq geodezik mexanizmlar, atmosferani ekologik xolatini biluvchi asboblar, o’rganuvchi avtomatlar va boshqalar yaratilgan.
Xemotronika. Elektronikaning elektroximiya bilan rivojlanishidagi bir yo’nalishi. Xemotronika past chastotali elektroximiyaviy o’zgartirgichlar yaratadi. Xozirgi vaqtda bir qator xemotron asboblari yaratilgan: ion to’g’rilagich, o’ta past chastotali kuchaytirgich, elektro-ximiyaviy o’zgartirgich. Kelajakda suyuqlik asosida boshqariluvchi sistema bioinformasion o’zgartirgich yaratiladi.
Elektronikaning erishilgan yutuqlari uning cheksiz imkonidan foydalanishning boshlang’ich qadami xolos. Kelajakda tashqi ta’sir sharoitini o’zgarishga adektiv reaktsiya beruvchi, sunoiy intelektga ega bo’lgan va sensor sistema asosida jixozlangan robotlar bilan taominlash masalasi qo’yilgan.
Inson faoliyatining xar-xil soxasida elektronikaning qo’llanishi uzluksiz kengaymoqda, chuqurlashmoqda va differentsiallashib bormoqda.
Xozirgi zamon elektronikasi fan va texnikada oldingi o’rinni egallab, ilmiy-texnikaning rivojlantirishda katta axamiyatga ega.
1-bob. MAYDONDA ELEKTRONLAR XARAKATI
1 bob elektronlarning bir jinsli, bir jinsli bo’lmagan elektr maydondagi xarakati va bir jinsli bo’lmagan magnit maydonnidagi xarakatlari ko’rib o’tilgan.
1.1. ELEKTRONLARNING BIR JINSLI ELEKTR MAYDONDAGI XARAKATI
Elektron asboblarda elektronlarni elektr maydoni ta’sirida xarakatlanishi asosiy jarayonlardan xisoblanadi. Elektronlarni vakuumda xarakatlanishi oddiy hamda yarim o’tkazgich yoki gaz razryadli asboblarida xarakatlanishi esa murakkab jarayon bo’ladi.
Bir jinsli elektr maydonida elektron xarakatini boshqa elektronlar bilan ta’siri yo’q deb karash kerak. Xaqiqatda esa elektronlar orasida o’zaro itarishish kuchi ham mavjud. Elektr maydoni ko’p xollarda bir jinsli bo’lmasdan murakkab xarakterga ega va u elektronikaning asoslaridan birini tashkil etadi.
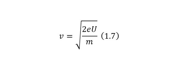
Ma’lumki, elektron zaryadi e=1,6*10—19 KLga teng bo’lib, massasi m=9,1*10—31 kg. Nazariy xisoblashlardan elektron tezligi s=299 792 458 m/s bo’lganda, massasi cheksiz ortadi.
Oddiy elektrovakuum asboblarida elektronning tezligi 0,1 m/s ni tashkil etadi, massasini esa doimiy deb xisoblash mumkin.
Elektronning tezlanuvchi elektr maydonidagi xarakat
Ikki elektrod anod va katod orasidagi elektr maydon kuch chiziqlarini (kuchlanganlik chiziqlari) 1.1-rasmda ko’rsatilganidek tasvirlaylik.
Agar elektrodlar orasidagi potentsiallar ayirmasi U, ular orasidagi masofani d desak, maydon kuchlanganligini, deb yozish mumkin:

Bir jinsli maydon uchun E o’zgarmas kattalik. Katoddan chiqqan elektron kinetik energiya W0 va boshlang’ich tezlik v0 bo’lgan tezlanuvchan elektr maydoniga kirsin.

1.1-rasm. Elektronning tezlatuvchi elektr maydonidagi xarakati
Maydon kuchlanganligi musbat birlik zaryadga ta’sir etuvchi kuchga teng bo’ladi. Shuning uchun bitta elektronga ta’sir etuvchi kuch bo’ladi:

F kuch E vektor kattaligiga qarama-qarshi yo’nalgani uchun minus ishorasi qo’yilgan.
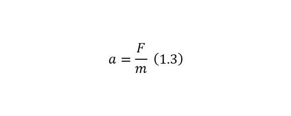
F kuch ta’sirida elektron tezlanish oladi va uning ifodasi kuyidagicha bo’ladi:

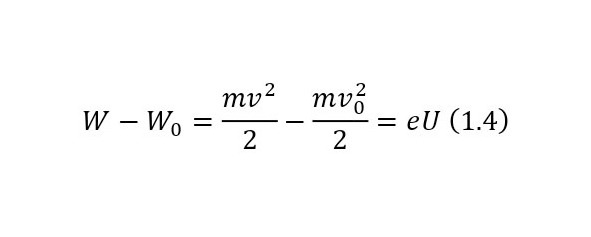
Elektrod tomon xarakatlanayotgan elektron xarakat oxirida eng katta v tezlik va W kinetik energiyaga erishadi. Shunday qilib, tezlatuvchi maydonda elektronning kinetik energiyasi ortadi. Bu energiya ortishini W—W0 sifatida ko’rsatish mumkin. Energiyaning saqlanish qonuniga asosan quyidagini yozish mumkin.

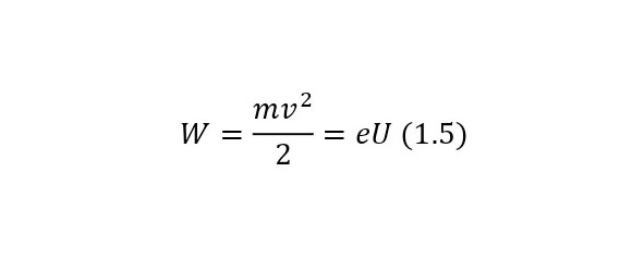
Agar elektronni boshlang’ich tezligi nolga teng bo’lsa, bo’ladi:

Elekronning boshlang’ich tezligi v0 < Agar U=1 Volt desak elektron energiyasi bir birlik energiyaga teng bulib, u elektron – Volt (ev) deb ataladi. Yuqoridagi ifoda (1.4) dan e va m larni o’rniga qo’yib dan elektoronning tezligini topish mumkin. Shunday qilib tezlatuvchi maydonda elektronning xarakati potentsiallar farqiga bog’lik ekan. Elektronning boshlangich energiyasini eletkron – voltda quyidagicha yozish mumkin. Potentsaillar ayirmasi U=1 voltda, tezligi v=6*105 m/s va U=100 Volt bo’lganda esa v=6*106 m/s bo’ladi. Elektronning elektrodlar orasida masofa d=3*10—3 m va kuchlanishi 100 Volt bo’lganda uchish vaqti 10—8 s ni tashkil qiladi. Elektr maydoni bir jinsli bo’lmagani uchun elektronning xarakati murakkab bo’lib amalda bu vaqt t=10—8 – 10—10 C ga teng.



Elektorni sekinlashtiruvchi maydondagi xarakati
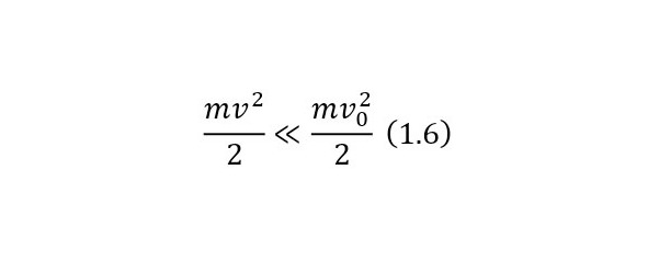
Aytaylik elektoronning v0 boshlangich tezligi F kuchga teskari yo’nalishda bo’lsin (1.2-rasm). F kuch elektoronni v0 tezligiga teskari yo’nalishda bo’lgani uchun uning xarakati tekis sekinlanuvchan bo’ladi. Bunday maydonga sekinlashtiruvchi maydon deyiladi. Ishni elektron bajargani uchun sekinlashtiruvchi maydonda elektronning energiyasi kamayadi. Shunday kilib, sekinlashtiruvchi maydonda elektron o’z energiyasini maydonga beradi.
Boshlangich energiyasi eU0 bo’lgan elektron potentsial ayirmasi U0 bo’lgan sekinlashtiruvchi maydonda xarakatlanganda energiyasi eU0 ga kamayadi. Agar eU0> eU bo’lsa, elektron elektrodlar orasida xarakatlanib kichik potentsial bilan elektrodga uriladi. Agar eU0 1.2-rasm. Elektronning sekinlashtiruvchi maydondagi xarakati.
Elektronning bir jinsli ko’ndalang maydondagi xarakati
Agar elektron v0 boshlang’ich tezlik bilan maydon kuch chiziqlariga nisbatan to’g’ri burchak ostida xarakatlansa, maydon elektronga F kuch bilan yuqori potentsial yo’nalish bo’yicha taxsir etadi. (1.3-rasm)

1.3-rasm elektronni bir jinsli ko’ndalang elektr maydondagi xarakati.
F kuch bo’lmaganda elektron to’g’ri chiziqli tekis v0 tezlik bilan xarakat qilar edi. F kuch ta’sirida elektron v0 tezlikka perpendikulyar bo’lgan yo’nalishda xarakat qilsin. Bunda elektronning traektoriyasi parabola ko’rinishida bo’lib, musbat potentsial tomon og’adi. Elektron maydondan chiqqandan so’ng xam inersiya bo’yicha to’g’ri chiziq bo’ylab tekis xarakat qiladi.
Shunday qilib, elektron va maydon orasida o’zaro energetik munosabat mavjud.
1.2. ELEKTRONLARNI BIR JINSLI BO’LMAGAN ELEKTR MAYDONIDAGI XARAKATI
Bir jinsli bo’lmagan maydonda elektronlar xarakati murakkab qonuniyatlar bilan bog’langan xolda o’zgaradi.
Tsilindirsimon elektrodlar orasidagi radial yo’nalishlarda bir jinsli bo’lmagan elektr maydonni olaylik (1.4-rasm).
Agar elektron ichki elektroddan kuch chiziqlari bo’ylab xarakatlansa, u radius bo’yicha to’g’ri chiziqli tekis tezlanuvchan xarakat qiladi. Xarakatlanuvchi elektron massa va inersiyaga ega bo’lganligi sababli maydon ostida F kuch taxsir etadi va uning traektoriyasi egiladi.

1.4.1-rasm. Elektronlarning bir jinsli bo’lmagan radial elektr maydonidagi xarakati.

1.4.2-rasm. Elektronlarning bir jinsli bo’lmagan radial elektr maydonidagi xarakati.

1.4.3-rasm. Elektronlarning bir jinsli bo’lmagan radial elektr maydonidagi xarakati.
Agar maydon tezlatuvchi xarakterda bo’lsa, elektron boshlang’ich v0 tezlik bilan egri chiziq bo’yicha xarakat qiladi. Sekinlashtiruvchi xarakterga ega bo’lgan bir jinsli bo’lmagan elektr maydonida elektronlarning traektoriyasi egiladi va uning tezligi sekinlashadi.
1.5-rasmda elektronlarning bir jinsli bo’lmagan maydondagi xarakat ko’rsatilgan, bunda ularning o’zaro ta’siri xisobga olinmagan.

1.5-a-rasm. Elektronlarning bir jinsli bo’lmagan tezlatuvchi maydondagi xarakati.

1.5-b-rasm. Elektronlarning bir jinsli bo’lmagan tezlatuvchi maydondagi xarakati.

1.5-c-rasm. Elektronlarning bir jinsli bo’lmagan tezlatuvchi maydondagi xarakati.
Kuch chiziqlari bir joyda to’planishga xarakat kilib kuch chiziqlari orasiga xarakatlanuvchi elektronlar oqimi kirganda, ularnnig traektoriyasi elektr maydon kuch chiziqlari tomon yaqinlashadi, ya’ni elektronlarning fokuslanishiga olib keladi.
Agar elektr maydon kuch chiziqlari yoyiluvchan bo’lsa, elektronlar bir-biridan uzoqlashadi va sochiladi.
Elektr maydon sekinlanuvchi va yaqinlashayotgan bo’lsa elektron tezligi kamayib sochiladi va aksincha sekinlanuvchi va sochiluvchi bo’lsa elektronlar oqimi fokuslanadi.
1.3. ELEKTRONNING BIR JINSLI BO’LMAGAN MAGNIT MAYDONNIDAGI XARAKATI
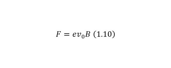
v0 boshlangich tezlikka ega bo’lgan elektron bir jinsli magnit maydonida kuch chiziqlariga tik ravishda xarakat qilsa, unga Lorents kuchi ta’sir qiladi.

Bu erda e – elektron kattaligi, v0 – boshlang’ich tezlik, V – magnit induktsiya vetori.
Agar v0 = 0 bo’lsa F=0 ga teng bo’ladi, yaxni bu xolatda elektron xaraktda bo’lmaydi va Lorents kuchi nolga teng bo’ladi. Lorents kuchi elektronning tezligiga to’g’ri burchak ostida ta’sir qilganda elektronning traektoriyasi egiladi. Kuch ish bajarmagani uchun elektronning energiyasi va tezligi o’zgarmaydi, faqat tezlikning yo’nalishi o’zgaradi.

1.6-rasm. Bir jinsli ko’ndalang magnit maydonda elektronning xarakati
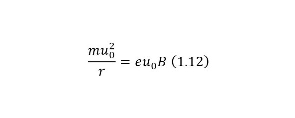
Jismning doimiy V0 tezlik bilan aylana bo’ylab xarakatlanishi markazga intilma kuch xisobiga bo’ladi.
Elektronning xarakat yo’nalishi magnit kuch chizig’iga nisbatan soat strelkasi yo’nalishi bo’yicha bo’ladi. Elektronning aylana bo’ylab xarakatlangandagi r radusini topaylik.
Buning uchun markazga intilma kuchining matematik ifodasidan foydalanamiz:

Buni (1.10) dagi F bilan tenglashtirib

ekanligi topamiz. Qisqartirishlarni bajarib esa ni aniklaymiz:

Elektronning v0 tezligi qancha katta bo’lsa, inersiya bo’yicha to’g’ri chiziq bo’ylab xrakatlanishga intiladi va troktoriyasining radiusi shuncha katta bo’ladi.
Magnit induktsiya V katta bo’lganda Lorents kuchi F katta bo’lib, traektoriya ko’proq egiladi, radiusi esa kamayadi. Yuqoridagi chiqarilgan ifoda ixtiyoriy massa va zaryad uchun to’g’ri.
Magnit maydoniga ixtiyoriy burchak ostida kirayotgan elektronning xarakatini ko’raylik. Elektronnig boshlang’ich tezlik vektori va X o’qi bilan V vektor mos kelgan koordinata yuzasini tanlab olaylik. V0 ni ikkita, ya’ni VX va Vu tashkil etuvchilarga ajrataylik. VX xaraktalanuvchi elektronning yo’nalishi magnit kuch chiziqlari yo’nalishi bilan bir xil bo’lganligi uchun unga magnit maydon ta’sir qilmaydi. Agar elektron faqat shu tezlikka ega bo’lganda, u to’g’ri chiziqli tekis xarakat qilar edi.
Agar elektron faqat Uy tezlikka ega bo’lsa yuzada magnit kuch chiziqlariga tik yo’nalishda aylana bo’yicha xarakatlanadi. V, Ux va Uy kattaliklar ishtrok etganiligi uchun elektronning natijalovchi xarakati murakkab bo’lib, traektoriyasi vint chiziqlari yoki spiral bo’yicha bo’ladi (1.7-rasm). Spiral traektoriyasi kattaliklarga ko’ra torrok yoki kengroq bo’ladi.

1.7-rasm. Elektronni bir jinsli magnit maydondagi spiral bo’yicha xarakati.
Nazorat savollari
1. Elektronlar bir jinsli elektr maydonda kanday xarakat kiladi?
2. Elektronlar tezlatuvchi elektr maydonida kanday xarakat kiladi?
3. Elektronlarning kundalang bir jinsli maydondagi xarakatini tushuntiring.
4. Elektronlarni bir jinsli bulmagan magnit maydondagi xarakatini tushuntiring.
5. Elektronlar bir jinsli magnit maydonida kanday xarakat kiladi?
6. Elektronlarni bir jinsli kundalang magnit maydondagi xarakati kanday amalga oshiriladi?
2-BOB YARIM O’TKAZGICHLI ASBOBLAR
2 bobda yarim o’tkazgichli asboblar hosil qilishning fizik asoslari, «n-r» – o’tish hosil qilish va ular asosidagi priborlar-yarim o’tkazgichli diodlar, tranzistorlarning sxemadagi shartli belgisi, ishlatilish soxasi hamda sxemalari yoritilgan.
2.1. YARIM O’TKAZGICH ASBOBLAR XOSIL QILISHNING FIZIK ASOSLARI
Yarim o’tkazgichli asboblarning ishlashi «elektron» hamda «teshiklarning» xarakatlanishiga asoslangan. Ishlab chiqarishda bu asboblar sodda – germaniy (Ge), kremniy (Si), selen (Se) yoki murakkab – arsenid galliy (ga Aѕ), kremniy karbidi (SiC), galliy fosfidi (gar) yarim o’tkazgich materialidan tayyorlanadi. Ularning xammasi «olmos» turli muntazam panjara tarkibiga ega bo’lgan kristalldan iborat.
2.1-rasmda atomlarining tashqi orbitasida to’rttadan elektroni bo’lgan toza germaniyning yassi ekvivalent panjarasi keltirilgan. Elektron turg’un xolatda bo’lishi uchun, qo’shni to’rtta atom bilan kovalent ya’ni qo’sh bog’lanadi xamda valent elektronlar bu bog’lanishda ishtirok etadi.

2.1 – rasm. Germaniyning kristall panjarasi.
Kvant mexanikasi qonunlariga, asosan, xar bir valent bog’langan elektron uchun maolum bir energiya satxi to’g’ri keladi. Ularning to’plami «valent» (V – zona) zonani tashkil etadi.
Elektrondan xoli bo’lgan energetik satxlar erkin zonani tashkil etadi, ular «o’tkazuvchanlik» (S – zona) zonasi deyiladi. Bu ikki zona oralig’ida uchinchi, «taqiqlangan» zona joylashgan. Ideal qattiq, kristalli jismlarda elektronlar bunday energiyaga ega emas. Bunday xolat absolyut nol xararot uchun to’g’ri bo’ladi. Stabil xolatni buzuvchi tashqi faktorlar: issiklik, xarorat, yorug’lik nuri, elektromagnit maydon va boshqalar xisoblanadi. Ularning ta’siri natijasida valent elektronlar yadro bilan bog’lanishni o’zish uchun etarli bo’lgan qo’shimcha energiya olishi mumkin. Buning uchun zarur bo’lgan minimal energiya moddaning taqiqlangan zonasi kengligi (W) bilan aniqlanadi. 2.2 rasmda o’tkazgichlar, yarim o’tkazgichlar va dielektriklarning energetik zona diagrammalari keltirilgan. Uy xarakatida metallarda taqiqlangan zona nolga yaqin, dielektrik materiallarda 3—7 EV (olmos) va yarim o’tkazgichlarda esa 0,5 – 2,5 EV (germaniy W = 0,66 EV, kremniy W = 1,14 EV) ni tashkil etadi. Kovalent bog’lanishdan chiqib ketgan elektron erkin bo’lib qoladi va u kristall bo’yicha tartibsiz xarakatlanadi.
