
Полная версия:
Артур Викторович Шевененов Истопись. Eistopeis
- + Увеличить шрифт
- - Уменьшить шрифт
Дьеп, гестапо, глубинность – уловима ли связь? Первое – название поселения во французской Нормандии, с времен викингов означавшего «глубь» (норд. djupr), сквозь которую пронеслась Столетняя война, и где еще недавние поработители (коим выдадут харизматичную Жоанну условно свои же) предстанут ситуативными союзниками против Виши, что не помешает открывать «дружественный» огонь. Это преддверие операции в Час Ч (D-day) станет символом напрасных трат и потерь, но из коих можно и нужно вынести урок, тем – цинично? – обратив «бросовые расходы» в «инвестиции». Однако, и это не помешает сему повторяться в Афганистане, на Ближнем Востоке, да и повсеместно, где привычно союзные авантюристы не устанут приписывать себе победы – очевидно, в виде посеянного там, где не вполне выгорело. Но ровно о ту пору еще процветала структура, чье название содержит немецкое (букв. «глубинное, тайное»), пусть и в выхолощенном смысле перекочевавшее в то, что ныне блюстители свободы и нравов-как-безнравственности величают «глубинностью» махины, механизмов контроля, системы подавления и отбора лояльных да благонадежных (с весьма красноречивым переносом уточнения ). Одно дело, – когда сему радуются непосредственно причастные, и притом не афишируя; и совсем иное – когда о том же ликуют журналисты да электорат от люда простого, заведомо не наделенного ничем, кроме клубно-ценностной солидарности да разве что голосом в сетевой пустоши. Это важный, критичный слом изнутри – поистине случай, когда отрицательный «оптимум» эффекта, MRTP и вообще портфельной взвеси сулит повышение цены контроля внутри самого клуба и в его окрестностях. Что и отмечается последние лет пять явно (с ускорением-сгущением времен, почти по Марксу и даже Маркесу, в последние год-полтора), хотя структурные паттерны наметились десятка два-три уж лет тому назад. хаоса ломление geheim staat
В клокочущей пучине суеты привычно терпит бедствие главное, сбрасываемое подобно балласту: любовь и мудрость. Пока сии перевешивают различия и конфликты, цена вопроса и путевая взвесь остаются регулярными, так что возможны «мир во всем мире» и центростремительное согласие внутри империй, блоков, альянсов, что и оным позволяет производить нечто небесполезное, не повергая в цейтнот ошибок и крайних средств. Но когда различия начинают превалировать, определяя перцепцию сути, центробежность уже трудно локализовать (в юрисдикции и ареале неприятеля), так что пущенный «красный петух» при переменчивом (в эпоху-то «потепления») ветре вскоре перекидывается назад на поджигателя.
И знаете? Ведь и о сем предупреждал Гессе. Не позднее года 1927 знал (как следует из «Степного волка»), что великая война грядет. Возможно, ранее она переносилась на более отдаленный срок, а затем, опять же, «времена ускорились» в рамках заочной эскалаторной спирали потенциального конфликта, упирающегося в гибкий критерий «. Который ляжет в основу и логики создания ядерного оружия у обеих сверхдержав как условия сдерживания . Который вполне вяжется с «великогерманской нации» после Первой войны (очевидно, на контрасте с достижениями, которые отчего-то не помогли понять первопричин, вместить роли собственного авантюризма как одного из проявлений либеральной безответственности. И который вполне соотносим с понятием , то подрываемых санкциями (как, кстати, мнилось тем же реваншистам, из чего следует относительность абсолютных преимуществ или максимума мобилизируемых средств), то создаваемых лишь в воображении масс сетеподобной поддержкой. Близорукость поиска как якобы гаранта «лучшего равновесия», как уже подчеркивалось, явлена была не только во Вьетнаме, но и совсем недавно – в подборе санкций и прочих репрессий, в т.ч. по линии спорта, которые лишь укрепили возможности вероятного противника, которого Запад надеялся ослабить. Причем второй соперник, все это время крепнувший параллельно в «спящем режиме», вдруг также обнаружил баланс сил смещенным в его пользу. относительного баланса сил» – необходимого, но едва ли достаточного перцепцией сравнительной депривации сравнительных экономических преимуществ максимума
Это все возможно было предвидеть без ворожбы, мнимой мощи эконометрического data-mining, слепого «машинного обучения», прочих мириад деферентов и калибровок, подобно Стандартной модели, ищущих громоздкими упрощениями охватить хоть ничтожный дополнительный процент «темных» материи-энергии. Но налицо технический парадокс технического же прогресса: располагаем методами и средствами – будем их использовать, причем максимально, ибо линейность ожидания mapping (перехода затрат в выхлоп) столь правдоподобна, что и от нее отказаться горше смерти и позора. Тем паче – гибели-сраму «на миру», коллективных, как крайнего сценария «совместного сползания» и «дольней комплементарности». Когда сам факт тотальной и безусловной поддержки всех всеми (и, тем самым, тривиальный – самих себя, причем вне возврата к себе как самобытности), в том числе сетеподобной поддержки метода либо цитирования, упирается в критерий престижа, мета-ценности рекуррентного характера. Даже притом, что в подобном клубном режиме тождественно представляет опасность, сценарий ухудшения как достаточный для устойчивости совместной деградации, внешне даже выглядящей как потенциал либо ( return to scale, ). Возможно, и потому, что IRS формально неотличим от отрицательной риск-аверсии, т.е. эквивалентен исканию риска, пусть безрассудного как аспекта чистой иррациональности либо аддикции (к адреналину-дофамину ли, серотонину или эндорфину), мнимо упирающейся в предпочтения, – опять же, столь же неисследимо экзогенные, сколь и манипулируемые. На примере функции Кобба-Дагласа: само пребывание (присутствие) создает агломерации позитивной отдачи к масштабу increasing IRS
Сет A: Роль эффекта масштаба, отношения к риску

Традиция ссылаться на традицию
Спор о традиционности и нетрадиционности (привычно сворачивающийся к иллюзорной подмене связкой либеральности против консервативности), как правило, не ведет ни к чему – или, вернее, гарантирует тупик и пике эскалации в недалеком будущем. Не посещало ли вас подозрение, что все без исключения «фундаменталисты», как правило, представлены нелепыми реконструкторами (отчасти и реноваторами, но всяко в смысле re-construe, «перетолковать»), едва способными не то что основы вместить (не тождественные азам из брошюрок, спускаемых извне), но и мысль строить – изъяснять себя себе же? Будь то восточноевропейские нацисты, или ближневосточные джихадисты, или крайнезападные неопагане (также именующие себя «традицией») и квазихристиане (их меньшинство, но громкость их всех уравнивает эффективный вес с прочими, в рамках ) – разницы сущностной не существует. И оттого, насколько притязают на непримиримую и несмешиваемую автохтонность, настолько же внушаемы из столь же крайних, клубных канцелярий. Таковыми, несомненно, были все, наполнявшие «сеть поддержки» нацистского Рейха – что фанатичные недоумки (надо сказать, сами едва ли близкие к оптимуму при всей нетерпимости к «отклонениям», и зачастую сами же будучи носителями таковых), что не менее фанатичная интеллигенция, в частности из числа подписавших «Письмо девятисот». Горе – общности, где интеллектуалы удобосклоняемы к худшему – будь то извне или изнутри – вместо того, чтоб вести к лучшему: кажется, черное и белое для них поменялись местами, и процесс представляется им правдой. портфельного неразличения
Опять же, бессмысленно и невозможно строить дискуссию на предпочтениях, пусть и утвержденных историческим узусом либо, напротив, таковым пренебрегающих. Мы-де нетрадиционные, и значит вы, традиционные, нам враги (и наоборот). Мы другие, потому оставьте нас в покое; вы другие, и тем хуже для вас. Диссоциативные идентичности «OR» быстро вырождаются до исключительных, непримиримых «XOR». Но даже неиллюзорный факт принадлежности или непринадлежности придется с точки зрения благого и лучшего. И всяко не стоит уходить от меры правды в вопросе: от этого невозможно будет отмахнуться, сведя к вкусовщине. обосновывать
В подобной связи возвращаемся к критике талебовости, которая также центруется вокруг традиции, причем как коррелята оптимальности. Кажется, наметив верную цель (условно говоря, вершину горы), выбрал не лучшие средства. (К примеру, к пику случается идти либо слишком долго, либо слишком опасно без учета подверженными горной болезни перепадов давления, а то и вовсе по воздуху пытаться взять, где и вертолет не всякий удержится). А ведь худшие или сомнительные пути – это как с технологиями, им же обсуждаемыми: могут оказаться сродни репугнантности, пусть и с иного подхода. Этак крайности вновь : ложно-подменный идеализм сходится с недолжным цинизмом. союзны о худшем
Так, одной рукой настаивая на невозможности прошлым предсказывать будущее, другой [рукой] апеллирует к вероятностям удержания в будущем тех технологий, что достаточно долго продержались в прошлом. Кажется, это где-то и согласуется с позитивизмом: видимая доказательность «данными» -цензурированными. Может казаться и аналогией применения распределений вроде Пуассона. Но все это разбивается мысленным экспериментом: сие не соблюдается для народов – некогда долгообитателей-автохтонов (египтян и шумер), цивилизаций по Шпенглеру-Гумилеву (чей запас «пассионарности» не вечен) или к языкам некогда доминировавшим как лингва-франка (арамейский, к примеру, на Ближнем Востоке до VII—VIII вв. н.э.) Это отчасти даже отсылает к Писанию: «что было/делалось, то и будет, и нет ничего нового под солнцем», или, вернее, к тенденциозно-буквалистскому его прочтению. Ибо речь там о первоначалах, в том числе природы людской и ее падении. И технологии вроде ножа или обуви, хлеба или вина, если и сохранились «нетленными», то именно как нечто достаточное, притом в своей основной идее, а не необходимое во всей своей вычурной сложности. Это касается и современных языков, ставших международными: английский, уступая французскому в богатстве времен и немецкому – в строгости, еще более проигрывает древнегреческому и санскриту в их богатстве когнитивно-выразительных средств. Разумеется, это не к чести восхваляемой эволюции, что дает выжить далеко не сильнейшим в смысле совершенства, как служит и компроматом на нынешний уровень духовных потребностей человечества. Но «факт» остается «фактом», равновесие – равновесием, пусть и худым.
Говоря о традиции, верный признак: исхождение из Х ведет к Х же, чем и утверждается самотождество, простая полнота пути. Слабой тенью служит консерватизм, особенно современного типа, когда фрактальность/рекурсия даже с минимальным лагом способна вести к весьма сложным паттернам, отшатываниям от начальных и предшествовавших условий (эредитарность как частичная зависимость остатка пути от пройденного на всяком этапе).
Язык как связь и основа
Случайно ли во многих языках само слово «язык» (орган и речь, функция) отсылает к связи, общности: лат. lingua (lingo=связую, delinquens=уклоняющийся, religio=воссоединение, electus=из-бранный, intellectus=inter-legere=выбирать-меж/рассуждать), герм./кит. tongue/ting/tung (язык, собрание, парламент), слав. *jenzъ-kъ (узы, аз, юс, южик, союзник, вязать/обязывать, уд, узда) – этот ряд можно продолжать долго, хоть семит. l-sh-n («у зубов») словно выпадает, если не призвать на помощь омоуграфичность, где r-sh (главное, основа, первое) может явить исток.
В самом деле, язык представляется уникальным пересечением: традиции (пусть не без вкраплений-субстратов), технологий (пополам с новациями), сети поддержки (вокруг ли праосновы, как в исландском и литовском, или же несколько вне оной, как в английском и латышском). Современные языки, по моему скромному мнению, сильно уступают древним – близостью как к основам, так и к единению, адамичности, способности вмещать первоглубинное, а не наносное сложноподчиненное.
Но, коль скоро моделируемы как производственные и утилитарные функции, то характеризуемы и масштаб-эффектом, и риск-аверсией обществ-носителей. А в меру сетеподобия формализуемы в рамках , где помимо природной в рамках макросемей, даже наиболее удаленные могут являть простое отношение апостериори. Которое, к сожалению, в монолит превращается лишь в случае совместного противостояния. Не тем ли заметно вкрапление номинально православных стран в евроатлантических структурах, курируемых извне? Всякий разрыв с основой может быть чреват накоплением кризиса, как этакой разности потенциалов, что потребует компенсаторного выплеска как суррогата возврата – к себе и основе. Иначе образуемое расширение не дает эквивалента ни ойкумены, ни . Теории Б /с/ро-дности эврюопы
Однако, и внутри, казалось бы, сродных этнокультурных и ценностно-религиозных общностей вроде Православия наблюдаются подобные феномены. Так, трения Антония Сурожского с епископом Осборном происходило вокруг именно культурной зашоренности, эксклюзивности отстаиваемой последним модели (как духа изначального, суразного английскому приходу и ориентированного на Запад), чем и объяснялся как его скорый переход под омофор Константинополя (квартала Фанар в Турции, заботливо опекаемого представителями метойкуменских спецструктур), а затем и совлечения сана. Подобная личная драма, простершаяся экстерналией на многих, пусть и не в такой остро-трагичной форме отмечала и путь Шмемана (философское неприятие этоса), и непростое нахождение некоторых более современных представителей (а недавно – и глашатаев) современной РПЦ, чья позиция не вписывается в узкую дихотомию либерализма vs. консерватизма, а во многом определяется мерой личных полномочий и степени их достаточности в пресечении контрактивности соперников. Налицо сравнительная депривация как мятежный потенциал на уровне микрокосма, что указывает на пугающую трансферабельность.
Расставить: и точки, и объекты-связи по местам
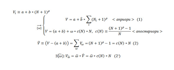
Что же усвоили мы из предыдущего, промежуточно-основополагающего изложения той же, скажем, Теории Б? выбора (омега-распределения – как лотереи ли, некоей взвеси путей или иного опциона) не только преображает его структуру, но вполне опрощает и природу. Так, суммированием либо взвесью сетеподобных концепций стоимости, являющихся аффинным расширением функций вроде Кобба-Дагласа (учитывающих как эффект масштаба, так и риск-предпочтения в едином показательном параметре) сперва получаем CES-обобщение (1) (без указания конкретики отношений или реализации структур и связей), которое тотчас предстает в эффективно простейшем свете: сильной субститутивности (2), что в худших режимах среды (усугубления ограниченности, возникновения коллективных угроз и пр.) оборачивается комплементарностью, или синхронизацией и как бы апостериорной сродностью в средствах (при ином CES-потенциале целей, ценностей, интересов). Первое (заместительность) в сущности роднит структуру апостериорного выбора с изначальным принципом портфельной взвеси, как талебовость, так и маржинальность баланса всяческих выгод и издержек, или доходности и рисков (2*)! Но немаловажно и то, что следующая, остаточная стадия резидуальной оптимизации указывает на то, что омега-взвесь может быть столь же , сколь может оказаться порождающее : ведь подобрав вес, мы не можем знать, какое из распределений он обслуживает уникально – снова налицо (или ) либо самых несвязанных объектов. Важно одно присутствие этой моды выбора, которая позволяет не только останавливаться на конкретном опционе или роде пути, но и подобной дилеммы в принципе: когда речь о выборе полном, дарующим простоту – в пользу главного, безотносительно от цены в терминах остального. Само присутствие/необходимость обобщающим конкретная неважной ненаблюдаемым распределение несравнимость иллюзорная сопоставимость элементов локально-ситуативная касательность избегать
Сет 1—2*: отношение априорное, апостериорное
Здесь всякая омега может служить и «индексом» (родом) пути – особенно, памятуя, что взвесь таковых возвращает некий инвариант, что соделывает всякую взвесь произвольной, а ее конкретику , так что и квантор уместно заменить квантором . Это поистине тот редкий случай, где выбор как таковой дарует свободу (в т.ч. от сложной конкретики выбора), хоть простота сия достижима исключительно на полноте – кстати сказать, возможно ненаблюдаемой в смысле открытости, апостериорности же горизонта суммирования или взвешивания. В этой (и не только этой) связи сам критерий наблюдаемости мыслимо, и даже имеет смысл, расщепить: на априорную («левую полу-/не/наблюдаемость») и апостериорную или posthoc («правую полу-наблюдаемость»). – иррелевантной существования произвольности
А знаете что? Ведь нет нужды постоянно барахтаться в абстракциях, пусть и наиболее интуитивно обобщающих многие случаи и применения, когда готовые редукции лежат на поверхности и могут быть подняты без издержек и ущерба общности, подобно всяким прочим Парето-ресурсам (или, лучше, P-ресурсам опрощения и восполнения). К примеру, вышеприведенную схему естественно визуализировать, от стоимости или ценности, определяемой фундаментальным ядром и сетеподобной «периферией» поддержки, перейдя к цене, которая довольно однозначно и почти всегда определяется зависимостью от (excess demand). В самом деле, фундаментальной стоимости будет соответствовать равновесная некая цена, где и спрос уравновешен предложением (избыточный, ненулевой спрос вовсе нет нужды предполагать как априорная данность, ибо в лучшем случае нащупывается рынком как тенденция, в процессе того же непрерывного скрининга, мониторинга, сигналинга – и tatonnement, «нащупывания», подобно и размерности постигаемой философской проблемы). избыточного спроса
Но не замечательно ли то, как система (1) – (2*) схватывает простую и однозначную диалектику линейной зависимости от общей массы поддержки или мобилизации – этакого рубежа или характеристики возможностей концентрации – на фоне довольно линейной, почти тривиальной зависимости от разбиения этой самой массы? не

PRS: Реальности нетривиальная триаль
Как намекалось, в данном опусе предлагается перейти к изучению реальности, когда эмпирически или феноменологически упрощенная оценка, сколь ни правдоподобна для объяснения (прагматики прогнозирования), подлежит опрощению-путем-восполнения. Впрочем, не исключен сценарий, когда резидуаль «эффективно» подтвердит изначально простое-как-инвариант. тройственному
Геделевость: оскудела б без тебя истьба
Oh, for you to have stayed & withstood…
Знали ли вы, дражайший и терпеливейший читатель, что Гедель имел неосторожность во время собеседования в рамках натурализационного «фильтра» изложить суть своей теории (теорем невозможности полноты непротиворечивых формальных систем), применив оную со всей простодушной неосмотрительностью к кейсу конституции самой свободной из синтетических общностей, гордящихся якобы оторванностью от традиций (притом на фоне затянувшейся истории ссылок на массу прецедентности юрисдикции, с которой изволила формально порвать)? Которая, как оказывается, не свободна от самоотрицания в смысле заявленных ценностей и может содержать потенциал диктатуры. Разумеется, костлявая карающая и незримая длань свободы довольно оперативно наложила перст на уста безрассудного гостя, словно давая понять: хозяева, которые изначально не считали рабов (причем в расширительном смысле) ровней себе, сами решат, какие нормы и когда применять, дабы избежать опасности для самих себя. Вышло буквально по И Би Уайту в разгул маккартизма (чем не предвестие дня нынешнего): «так и присягнул не веровать ни во что этакое» (sworn never to believe in «anything like that’).
Не подобно ли сему действуют якобы независимые и предположительно наднациональные институты вроде ВАДА и БДИПЧ (последнее должно бы казаться созвучным «бди», да напрашивается иная полифония без губных), назначая стандарты для себя, друзей и противников, а заодно – и цену несоответствия? Чему же? Разумеется, тому, о чем вам сообщат позже и по мере целесообразности. Этакая мода превратного «нащупывания», сдвигания относительных границ возможностей, и все – с целью «сделать этот мир еще лучше» (правда, не всегда для лучших и уж всяко не для всех). гибкие
Чем не пример «», или «конструирования конструирования», () в рамках создания институциональных инструментов (и ) как опасная, зарождающаяся природа нового конструкционизма? Кажется, ныне есть манифестация эгоизма, когда необходимо . destructive creativity мета-конструирования higher-order design – источников распределения сравнительных преимуществ творения/уничтожения – абсолютных защищаться отстаивать
Ну, а психические проблемы, что и свели подвижника Геделя в могилу при довольно трагических обстоятельствах – точно ли были катализированы недостатком демократии и свободы слова вовне?
Однако, сейчас не о заговоре злобных карликов против исполина; или, вернее сказать, сговор-то куда латентнее. И отягощен тем, что и сему великану не довелось мне ставать на могучие плечи прежде, нежели развил собственную систему. Лишь недавно узнал, к примеру, что говорил он в терминах «омега-непротиворечивости». Вездесущая омега и здесь не замедлила всплыть, тем создавая потенциал для очередного моста. Хотя в моей-то системе омега была выбрана лишь как сближение меж конвенциональным Омега-потенциалом (универсумом, возможностями) и омега-весами (англ. eights) как дробленьями в самых широких толкованиях, представлениях и применениях. Тем самым, омега здесь скорее отсылала к исконной, забытой и везде подразумеваемой греческой , этому когнату семитской вав/йод. (Эти слова, или биконсонанты w-w/y-dh, неслучайно омуграфичны, ввиду того, как обе напоминали руку и ее же обозначали в протосемитской/синайской письменности, а затем изначальная вав уступила в частоте появления йод везде, кроме арабского, прежде – аккадского.) w дигамме
Коль скоро всякая аксиоматизация чревата наличием формул-положений недоказуемых и неопровержимых, или из коих может следовать что угодно (признаваемы истинными/ложными в рамках собственных положений-конвенций), уж не беремся здесь судить, сводимы ли подобные недедуцируемые изнутри к кантовым «» (именую таковые ), – не то же ли переносимо на самый научный метод позитивизма, изнутри себя порождающий не только обобщения ошибок обоих типов, но и угрозу себе, или же необходимость перехода к чему-то более полному? вещам-в-себе ansein
Как человек ищущий, неравнодушный, не вмещаюсь в прокрустово ложе благостных пожеланий: сперва-де «защитись», затем освободишься от ига мониторинга – этой инквизиторской проверки на лояльность. Зачем проверять то, чему не бывать? Я не лоялен ветхому, косному, неполному. Не могу запретить себе думать (а философико-математическим творчеством занимаюсь независимо от наличия литературы) прежде, нежели ознакомлюсь со «всем, что было».
Наследие Геделя да не сведется к взаимодействию с натурализационным клерком для пропуска в клуб.
Если же омега реализуется как индекс в (2*), то и здесь занятна адамическая связь, образующаяся вокруг старославянского «» (лаг или, вернее, lead, как в слове «предварять»). Изначально коннотируя , – восстановимое гипотетически до некоего *ъwъrъ/HwHrH, – вновь и вновь полнит массив внешне розных основ, объединяемых вокруг ! варъ разброс heury
С одной стороны, эта тема также отсылает к феномену диофантовости и рекурсий, возникающим из изучения геделевости. Но ведь мы не раз уж наблюдали, что то и другое, сводимое к функциональным уравнениям, реализует простоту-полноту тем, кк из тривиального и частного извлекает нелинейное и общее. а
Дабы не быть голословными, проиллюстрируем простейшим случаем явной функции для двух неизвестных, во многом сводимой и к неявной функции обоих. В известном смысле, применяемый трюк подразумевает лаг-параметризацию.
Сет 3: лаг-параметризация
Теперь, как некое обобщение (3) вводом экзогенного параметра или переменного, получаем (3*).
Сет 3*: дополнительного параметра ввод
Показатель функциональной композиции в решении-как-редукции диофантовой структуры (характеристические степени, вообще нецелые и даже вещественные, как и в случае с ), еще пригодятся при разработке как исчисления резидульности, так и кванторов (). ро теории справедливости деонтологики


