
Полная версия:
Александр Владимирович Марков Рождение сложности. Эволюционная биология сегодня: неожиданные открытия и новые вопросы
- + Увеличить шрифт
- - Уменьшить шрифт
Пуше на тот эпохальный диспут не явился. И академики, разумеется, признали поражение Пуше и победу Пастера. Ведь если один из спорщиков не пришел на суд научной общественности, значит, он сам признал свою неправоту. Таким образом, ученый мир удостоверился, что живое порождается только живым.
Результат диспута удовлетворил всех, кроме… самого Пастера. Дело в том, что в хитроумных пастеровских колбах, как ни кипяти питательную среду, какими узкими ни делай изогнутые носики, микробы все-таки появлялись. Не должны были появляться, неоткуда им было взяться, но появлялись, и сам Пастер об этом знал. Хотя появление микроорганизмов в кипяченом бульоне противоречило его обширному опыту и здравому смыслу. Во время диспута Пастер не признался в своих сомнениях, но в течение следующих го лет пытался эту загадку разрешить. И разрешил. Оказалось, что дело тут в специфике того микроба, с которым работал Пуше. Это была сенная палочка, споры которой погибают только при температуре 120 °C. Кипячением эти споры не уничтожаются, и для того, чтобы все же доказать самому себе победу в том давнем диспуте, Пастеру пришлось изобрести автоклав, аппарат для стерилизации при больших давлениях и температурах. Так что, можно сказать, результатом того исторического спора оказалось не только доказательство отсутствия жизненной силы, но и изобретение автоклава. О пользе первого можно спорить, а вот автоклавом люди пользуются до сих пор.
Неотъемлемое свойство науки – самой себе создавать проблемы. С витализмом было покончено, но все дивиденды достались не науке, а… церкви. Живое не может самозарождаться? Превосходно! Но откуда тогда вообще появилась жизнь? Одно из двух: либо она существовала изначально (эту точку зрения позже отстаивал В.И. Вернадский), либо сотворена Богом (так полагал и сам Луи Пастер). Второе, конечно, вероятнее: представить себе "изначальность" жизни (как и вечность Вселенной) довольно трудно. А вот теория божьего творения проста и понятна каждому.
Нелегкая задача встала перед теми учеными, которые не соглашались с Луи Пастером и не хотели привлекать сверхъестественные силы для объяснения природных явлений. После того как была доказана невозможность самозарождения, они должны были теперь долго и мучительно доказывать его возможность. Пусть не здесь и сейчас, а очень давно, и не за час-другой, а за миллионы лет.
Поначалу дело казалось безнадежным, ведь химики еще не умели получать органические вещества из неорганических. Грань между живой и неживой материей казалась непреодолимой. Правда, еще в 1828 г. Фридрих Велер синтезировал мочевину, но это никого не убедило: подумаешь, мочевина! Не органика, а так, "отход жизнедеятельности". Однако в 1854 г. Пьер Эжен Марселей Бертло сумел искусственно получить липиды, а в 1864 г. А. М. Бутлеров открыл реакцию синтеза углеводов из формальдегида. Вскоре химики научились получать и многие другие органические вещества из неорганических.
Стало ясно, что между живой и неживой материей на химическом уровне нет непреодолимой грани. Это был первый крупный успех теории абиогенеза (происхождения живого из неживого естественным путем). Ученые поняли, что, хотя прямое самозарождение живых существ невозможно, жизнь могла появиться постепенно в результате долгой химической эволюции. С тех пор (и до сего дня) усилия ученых направлены на поиски доказательств и развитие этой гипотезы. Что касается идеи об изначальности жизни, то она сейчас практически не имеет сторонников, поскольку наших знаний о Вселенной уже достаточно, чтобы понимать – на первых этапах ее развития синтез даже самых простых органических соединений был невозможен. Третий вариант – божественное сотворение – не имеет проверяемых следствий (поскольку Бог мог придать сотворенной им жизни абсолютно любые свойства, о которых мы ничего не можем знать заранее) и не предлагает никакой исследовательской программы. Поэтому он не является научным и просто-напросто не интересен ученым. Тем не менее ученым пришлось бы отнестись к нему более серьезно, если бы были получены строгие доказательства несостоятельности теории абиогенеза. Эта теория, в отличие от креационизма, является научной, то есть допускающей принципиальную возможность опровержения. Например, если бы оказалось, что органические вещества действительно невозможно получить из неорганических, как думали многие вплоть до опытов Бертло и Бутлерова, то абиогенез пришлось бы признать несостоятельной теорией. Однако этого не происходит. Наоборот, по мере развития науки один за другим проясняются все новые этапы долгого пути от неживой природы к первой клетке.
Рождение Вселенной: первые подступы к жизни
В последние годы развитие Вселенной часто описывают как единый направленный процесс, в ходе которого самопроизвольно и неизбежно возникали все более сложные структуры[9]. Возникло особое междисциплинарное направление исследований – Универсальная История, или Big History. Один из его основоположников – профессор Дэвид Кристиан из университета Сан-Диего, между прочим, специалист по истории России. При взгляде на историю мироздания "с высоты птичьего полета" создается впечатление, что каждый новый шаг в эволюции Вселенной логически вытекал из предыдущего и в свою очередь предопределял следующий. Возникновение жизни предстает уже не случайностью, а закономерным итогом развития. Вселенная словно была изначально спроектирована так, чтобы в ней появилась жизнь, и проект был чрезвычайно точен. Даже небольшое изменение базовых физических констант сделало бы жизнь невозможной (по крайней мере такую жизнь, как наша). Впрочем, в такой Вселенной некому было бы и рассуждать о мудрости ее устройства. Кто знает, может быть, существует много разных Вселенных, и только в нашей все так удачно сложилось? Физики относятся к такой возможности вполне серьезно. И потом, развитие жизни идет по пути приспособления, адаптации, так что вполне естественно, что жизнь в нашей Вселенной соответствует ее законам. В другом мироздании и жизнь была бы другой. С этой точки зрения соответствие земной жизни земным условиям не более удивительно, чем соответствие формы воды, налитой в сосуд, форме сосуда.
Физики утверждают, что Вселенная появилась в результате Большого взрыва из очень малого и очень плотного объекта примерно 14 миллиардов лет назад (цифра пока не окончательная, она продолжает уточняться). В первые мгновения не было даже атомов и молекул. Вселенная стремительно расширялась и остывала. В определенный момент появились элементарные частицы, из них образовались атомы водорода; скопления атомов превратились в звезды первого поколения. В них происходила реакция ядерного синтеза, в ходе которой водород превращался в гелий, а затем и в более тяжелые элементы. Все необходимые для жизни элементы, кроме водорода (углерод, кислород, азот, фосфор, сера и другие), образовались в недрах звезд. Звезды первого поколения стали фабрикой по производству атомов, необходимых для будущей жизни.
Самые крупные звезды после истощения запасов ядерного топлива взрывались (это называют "взрывом сверхновой"). В результате таких взрывов атомы тяжелых элементов рассеивались в пространстве. Из новых скоплений атомов образовались звезды второго поколения, в том числе и наше Солнце. Облака рассеянных частиц, не вошедших в состав центральной звезды, вращались вокруг нее и постепенно разделялись на отдельные сгустки – будущие планеты. Именно на этом этапе и мог начаться синтез первых органических молекул.
Возможность органического синтеза в протопланетном облаке предполагалась давно, но подтверждена была лишь недавно, во многом благодаря работам академика В. Н. Пармона и его коллег из Новосибирского института катализа. При помощи сложных расчетов и компьютерного моделирования было показано, что в газово-пылевых протопланетных облаках имеются необходимые условия для синтеза разнообразной органики из водорода, азота, угарного газа, цианистого водорода и других простых молекул, вполне обычных в космосе. Непременным условием является присутствие твердых частиц-катализаторов, содержащих железо, никель и кремний[10].
Молодая Земля могла иметь в своем составе большое количество органики с самого начала своего существования. Абиогенный синтез органики продолжался уже на Земле. Экспериментально показана возможность синтеза аминокислот и других органических соединений в тех условиях, которые предположительно могли существовать на планете в дни ее молодости[11].
Гидротермальные источники – колыбель жизни на Земле?
Недавно немецким химикам удалось доказать возможность абиогенного синтеза органических веществ в условиях, которые и по сей день существуют на дне океанов. Оказалось, что в подводных горячих вулканических источниках могут происходить химические реакции, в результате которых из неорганических соединений, таких как угарный газ (СО) и цианистый водород (HCN), образуются разнообразные органические молекулы. Катализатором этих реакций служат присутствующие в гидротермальных водах твердые частицы, содержащие железо и никель. Реакции особенно хорошо идут при температуре 80-120 градусов. Условия, в которых проводились эксперименты, были максимально приближены к реальности. По мнению исследователей, такие условия (включая все компоненты реакционной смеси) вполне могли существовать в подводных вулканических источниках на ранних этапах развития Земли.
Основным продуктом реакций были гидроксикислоты и аминокислоты. В небольших количествах были получены и другие органические вещества, в том числе и такие, из которых в несколько иных условиях могут синтезироваться сахара и липиды. В отличие от других известных опытов по абиогенному синтезу органики, где не было железо-никелевых катализаторов и применялись "ударные" воздействия вроде электрических разрядов, в искусственно воссозданных условиях гидротермальных источников реакции протекали без образования "отходов" – инертных углеводородных смесей вроде дегтя или смол, которые в дальнейшем очень трудно превратить в вещества, необходимые для самозарождения жизни.
Открытие немецких химиков – весомый аргумент в пользу гипотезы, согласно которой жизнь на Земле могла зародиться в подводных вулканических источниках.
(Источник: Claudia Huber, Gunter Wachtershauser. a-Hydroxy and a-Amino Acids Under Possible Hadean, Volcanic Origin-of-Life Conditions // Science. 2006. V. 314. P. 630–632.)Преджизнь
Вместе с Землей возник и так называемый "геохимический круговорот". Одни вещества поступали из сдавленных, разогревшихся недр Земли, формируя первичную атмосферу и океаны. Другие приходили из космоса в виде падающих с неба остатков протопланетного облака, метеоритов и комет. В атмосфере, на поверхности суши и в водоемах все эти вещества смешивались, вступая друг с другом в химические реакции, и превращались в новые соединения, которые в свою очередь тоже вступали в реакции друг с другом.
Между химическими реакциями возникала своеобразная конкуренция – борьба за одни и те же субстраты (исходные вещества, необходимые для их проведения). В такой борьбе всегда побеждает та реакция, которая идет быстрее. Так что среди химических процессов начинается настоящий естественный отбор. Медленные реакции постепенно затухают и прекращаются, вытесняемые более быстрыми.
Важнейшую роль в этом соревновании играли катализаторы – вещества, ускоряющие те или иные химические превращения. Огромное преимущество должны были получать реакции, катализируемые своими собственными продуктами. Такие реакции называют автокаталитическими или цепными. Типичный пример автокаталитической реакции – так называемая реакция Бутлерова, в ходе которой из формальдегида образуются сахара, которые сами и являются катализаторами этой реакции. Это значит, что после появления в реакционной смеси первых молекул сахаров процесс превращения формальдегида в сахара начинает самопроизвольно ускоряться и становится лавинообразным[12].
Следующий этап – формирование автокаталитических циклов, в ходе которых происходит не только синтез катализаторов, но и частичное возобновление расходуемых субстратов. От сложного и эффективного автокаталитического цикла уже недалеко и до настоящей жизни, ведь жизнь в основе своей – это самоподдерживающийся, автокаталитический процесс.
Проблема возникает с "затравкой": та же реакция Бутлерова не начнется, если в среде изначально не будет хотя бы небольшого количества углевода-катализатора. Несколько упрощает проблему гипотеза, предложенная А. Д. Пановым из Института ядерной физики. Известно, что небесные тела могут обмениваться веществом: при столкновении планеты с крупным астероидом из ее поверхности выбиваются фрагменты породы, которые могут улететь в космос и попасть на другие планеты. По расчетам Панова, благодаря такому "метеоритному обмену" возникшее в ходе химической эволюции на одной из планет полезное новшество (например, эффективный катализатор) может в течение обозримого времени попасть в другие звездные системы, а за несколько сотен миллионов лет ареал распространения новшества может охватить всю галактику – разумеется, при условии, что запас данного вещества будет возобновляться в цепочке спровоцированных им химических превращений. Гипотеза Панова расширяет масштаб химической "кухни", в которой подготавливались ингредиенты будущей жизни, от планетарного до галактического[13].
Главная молекула жизни
Общепринятого определения жизни не существует (в биологии вообще с определениями трудно – обычно чем строже определение, тем хуже оно работает). Одни ученые полагают, что жизнь – скорее процесс, чем структура, и определяют ее, например, как "процесс сохранения неравновесного состояния органической системы извлечением энергии из среды". Такому определению могут соответствовать и системы, не имеющие четких пространственных границ, – автокаталитические циклы, "живые растворы". Другие подчеркивают обязательную дискретность живых объектов и считают, что понятие "жизнь" неотделимо от понятия "организм". Третьи подчеркивают информационную природу жизни и определяют ее как способность некого фрагмента информации ("репликатора") к самокопированию с использованием ресурсов внешней среды. Под это определение подходят не только биологические вирусы, но и компьютерные и даже распространяющиеся в обществе слухи, верования и т. п[14]. Но это, пожалуй, чересчур широкий взгляд на жизнь.
Нам известна только одна жизнь – земная, и мы не знаем, какие из ее свойств являются обязательными для любой жизни вообще. Рискнем, однако, два таких свойства все-таки назвать. Это, во-первых, наличие наследственной информации, во-вторых – активное осуществление функций, направленных на самоподдержание и размножение, а также на получение энергии, необходимой для выполнения всей этой работы.
Все живое на Земле справляется с перечисленными задачами при помощи трех классов сложных органических соединений: ДНК, РНК и белков[15]. ДНК взяла на себя первую задачу – хранение наследственной информации. Белки отвечают за вторую: они выполняют все виды активных "работ". Разделение труда у них очень строгое. Белки не хранят наследственную информацию, ДНК не совершает активной работы (в биологии почти не бывает правил без исключений, в данном случае исключения тоже есть, но очень редкие и не делающие погоды).
Молекулы третьего класса веществ – РНК – служат посредниками между ДНК и белками, обеспечивая считывание наследственной информации. При помощи РНК осуществляется синтез белков в соответствии с записанными в молекуле ДНК "инструкциями". Некоторые из функций, выполняемых РНК, очень похожи на функции белков (активная работа по прочтению генетического кода и синтезу белка), другие напоминают функции ДНК (хранение и передача информации). И все это РНК делает не в одиночку, а при активном содействии со стороны белков. На первый взгляд РНК кажется "третьей лишней". В принципе нетрудно представить себе организм, в котором РНК вовсе нет, а все ее функции поделили между собой ДНК и белки. Правда, таких организмов в природе не существует.

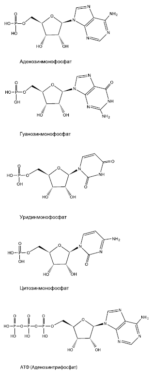
РНК – полимер, состоящий из множества похожих "кирпичиков" – рибонуклеотидов, каждый из которых, в свою очередь, собран из трех частей. Первая из них – фосфорная кислота (фосфат), неорганическое вещество, которого довольно много в земной коре и океанах. Вторая – азотистое основание. В состав РНК входят четыре азотистых основания: А (аденин), У (урацил), Г (гуанин) и Ц (цитозин); соответственно, существует четыре вида рибонуклеотидов. Азотистые основания могли синтезироваться из неорганических молекул (таких как СО, HCN и NHp еще в протопланетном облаке. Их находят и в метеоритах. Третья – сахар рибоза – образуется в ходе автокаталитической реакции Бутлерова.
Четыре составных блока молекулы РНК – нуклеотиды аденозин (аденин + рибоза), гуанозин (гуанин + рибоза), уридин (урацил + рибоза) и цитидин (цитозин + рибоза), к каждому из которых присоединено по одному остатку фосфорной кислоты. АТФ (главная энергетическая молекула живой клетки) представляет собой аденозин с тремя фосфатами.

Какая из трех молекул появилась первой? Одни ученые говорили: конечно, белки, ведь они выполняют всю работу в живой клетке, без них жизнь невозможна. Им возражали: белки не могут хранить наследственную информацию, а без этого жизнь и подавно невозможна! Значит, первой была ДНК!
Ситуация казалась неразрешимой: ДНК ни на что не годна без белков, белки – без ДНК. Получалось, что они должны были появиться вместе, одновременно, а это трудно себе представить. Про "лишнюю" РНК в этих спорах почти забыли. Ведь она, как тогда думали, не может без посторонней помощи ни хранить информацию, ни выполнять работу.
Потом, правда, выяснилось, что у многих вирусов наследственная информация хранится в виде молекул РНК, а не ДНК. Но это посчитали курьезом, исключением. Переворот произошел в 80-х годах XX века, когда были открыты рибозимы – молекулы РНК с каталитическими свойствами. Рибозимы – это РНК, выполняющие активную работу, то есть то, что должны делать белки. Среди рибозимов были найдены и катализаторы репликации (копирования, размножения) молекул РНК – своих собственных или чужих.
В итоге РНК из "почти лишней" стала "почти главной". Оказалось, что она, и только она, может выполнять сразу обе главные жизненные задачи – и хранение информации, и активную работу. Стало ясно, что возможен полноценный живой организм, не имеющий ни белков, ни ДНК, в котором все функции выполняются только молекулами РНК. Конечно, ДНК лучше справляется с задачей хранения информации, а белки – с "работой", но это уже детали. РНК– организмы могли приобрести белки и ДНК позже, а поначалу обходиться без них.
Так появилась теория РНК-мира, согласно которой первые живые существа были РНК-организмами без белков и ДНК. А первым прообразом будущего РНК-организма мог стать автокаталитический цикл, образованный самовоспроизводящимися молекулами РНК – теми самыми рибозимами, которые способны катализировать синтез собственных копий.
Лично я считаю теорию РНК-мира одним из самых выдающихся достижений теоретической мысли в биологии за последние 30 лет, которое можно сравнить разве что с симбио-генетической теорией происхождения эукариот[16] (о которой пойдет речь в главе "Великий симбиоз"). По правде сказать, могли бы до этого додуматься и раньше. Ведь два вида рибозимов были известны еще с 60-х годов XX века, хотя их не называли тогда рибозимами. Это рибосомные РНК (рРНК), из которых сделаны молекулярные "машинки" для трансляции (синтеза белка) – рибосомы, и транспортные РНК (тРНК), которые подносят нужные аминокислоты к рибосомам в ходе трансляции. Оба вида РНК выполняют активную биохимическую работу, это самые настоящие рибозимы, но, пока их было известно только два, теория РНК-мира не была сформулирована.
Трансляция – синтез белка. Осуществляется особыми молекулярными "машинками" – рибосомами, которые состоят из нескольких больших молекул рибосомной РНК и большого числа менее крупных молекул рибосомных белков. Рибосомы синтезируют белок в соответствии с "инструкциями", записанными в молекуле матричной РНК (мРНК). Каждые три нуклеотида мРНК кодируют одну аминокислоту. Аминокислоты присоединяются к синтезируемой молекуле белка по одной. Доставка аминокислот к рибосомам осуществляется транспортными РНК (тРНК).
Теория РНК-мира, вначале чисто умозрительная, очень быстро "обрастает" экспериментальными данными. Химики научились получать рибозимы чуть ли не с любыми желаемыми характеристиками. Делается это так. Например, мы хотим создать молекулу РНК, которая способна безошибочно узнавать вещество X и связываться с ним. Для этого синтезируют большое количество разных цепочек РНК, соединяя рибонуклеотиды друг с другом в случайном порядке. Раствор, содержащий полученную смесь молекул РНК, наливают на поверхность, покрытую веществом X. После этого остается лишь отобрать и исследовать те молекулы РНК, которые прилипли к поверхности. Технология незамысловата, но она действительно работает. Примерно таким способом получены рибозимы, катализирующие синтез нуклеотидов, присоединяющие аминокислоты к РНК и выполняющие множество других биохимических функций. Стирая грань между живым и неживым, уже растут на искусственных средах в лабораториях возмутительнейшие объекты – колонии размножающихся молекул РНК, способные к тому же синтезировать белки (правда, без этих самых белков – ферментов – заставить их расти пока не удается). Весомый вклад в эти исследования вносят ученые из Института химической биологии и фундаментальной медицины (г. Новосибирск) и Института белка (г. Пущино) под руководством академиков В. В. Власова и А. С. Спирина. Любопытно, что многие рибозимы работают лучше всего при низких температурах, иногда даже ниже точки замерзания воды – в крошечных полостях льда, где достигаются высокие концентрации реагентов. Некоторые считают это свидетельством того, что жизнь зарождалась при низких температурах.
Конечно, нельзя сказать, что в теории РНК-мира совсем нет проблем и трудностей. Их очень много. Основная, пожалуй, состоит в том, что большинство рибозимов очень малоэффективны по сравнению со своими белковыми аналогами. Во многих случаях это не принципиально, потому что на ранних этапах становления жизни белков еще не было, рибозимам не с кем было конкурировать, они на тот момент были "последним словом науки и техники". Их эффективности вполне хватало для того, чтобы предоставить химическим циклам, в которых они участвовали как катализаторы, решающее преимущество в скорости. Но некоторые ограничения могли оказаться принципиальными. В первую очередь это относится к вышеупомянутой способности рибозимов катализировать синтез собственных копий. В действительности тут все не так просто и гладко. В ныне живущих организмах таких рибозимов не обнаружено. Методом "искусственной эволюции" (то есть путем синтеза множества случайных последовательностей рибонуклеотидов, последующего отбора удачных вариантов, внесения в них небольших случайных изменений, нового отбора и т. д.) удалось получить рибозимы, которые худо-бедно могут "сшить" друг с другом два рибонуклеотида, но не всякие и не всегда. Осуществить полноценное копирование длинной молекулы РНК (то есть служить настоящими РНК-зависимыми РНК-полимеразами) они не могут. Чтобы изготовить из молекул РНК рибозим, который можно с полным правом назвать РНК-зависимой РНК-полимеразой, ученым пришлось воспользоваться наряду с "искусственной эволюцией" еще и сознательным, разумным планированием. В конце концов это удалось сделать – искомый рибозим был составлен из нескольких разных молекул РНК. Но даже и этот с таким трудом разработанный и изготовленный комплексный рибозим работает из рук вон плохо. В чем же дело?

Схема транспортной РНК. А, G, С, U – стандартные нуклеотиды аденозин, гуанозин, цитидин и уридин, другими буквами отмечены нестандартные (модифицированные) нуклеотиды, в том числе I – инозин. Как и многие другие молекулы РНК, тРНК образует петли за счет того, что рибонуклеотиды попарно "склеиваются друг с другом по принципу комплементарности. Как можно видеть на рисунке, С (цитозин) обычно склеивается с G (гуанином), а А (аденин) – с U (урацилом). Но в биологии, как мы уже знаем, нет правил без исключений: в двух местах этой молекулы, вопреки принципу комплементарности, G соединяется с U.
Не исключено, что дело тут в необходимых кофакторах – ионах металлов, в том числе редких. Известно, что очень многие белковые ферменты используют ионы металлов в качестве своих необходимых составных частей. Такие белки называют металлопротеинами. Похоже, это было справедливо и для рибозимов РНК-мира. До самого недавнего времени эту возможность упускали из виду. Однако недавно было обнаружено, что те самые искусственно полученные рибозимы, которые способны кое-как синтезировать РНК на РНКовой матрице, являются металлорибозимами: в их активном центре присутствует ион магния. Точно так же и проблему взаимодействия РНК с липидными мембранами удалось решить только благодаря объединению РНКовых комплексов с ионами металла, на этот раз – кальция.





