
Полная версия:
Александр Николаевич Козырин Налоговое право. Учебник для бакалавриата
- + Увеличить шрифт
- - Уменьшить шрифт
Вместе с тем в налоговом праве присутствуют и диспозитивные начала правового регулирования: допускаемая законодательством многовариантность правомерного поведения субъекта права, свобода осуществления собственного усмотрения в ситуациях, урегулированных налоговой нормой, и т. п. Так, в некоторых случаях налогоплательщики могут сами инициировать возникновение отдельных налоговых правоотношений – например, по зачету сумм излишне уплаченных налогов и сборов, использованию налоговой льготы, обжалованию актов налоговых органов и т. д. В законодательстве о налогах и сборах есть примеры, когда налогоплательщики сами, по своему усмотрению определяют юридические параметры своих действий в рамках налоговых правоотношений. Они, скажем, могут выбрать, как им действовать в налоговых правоотношениях – воспользоваться налоговыми льготами или отказаться от них, восстановить пропущенный срок подачи жалобы или нет, какой способ обеспечения исполнения обязанности по уплате налогов и сборов предложить налоговому органу и т. п. О присутствии диспозитивных начал в налоговом регулировании свидетельствует также развитие договорной практики субъектов налоговых правоотношений (в НК РФ постоянно появляются все новые виды договоров, заключаемых налогоплательщиками с налоговыми органами, – договор о создании консолидированной группы налогоплательщиков, соглашение о ценообразовании для целей налогообложения и др.), внедрение взаимосогласительной процедуры в рамках налогового мониторинга, заключение мировых соглашений на досудебных стадиях налоговых споров и т. д. Однако, несмотря на тенденцию расширения сферы применения диспозитивного регулирования в НК РФ, эти приемы, характерные прежде всего для частного права, в налоговом праве используются как вспомогательные.
Таким образом, метод объективного налогового права может быть определен как преимущественно императивный, предполагающий субординацию участников налоговых правоотношений, использование властных предписаний, запретов, установление обязанностей и санкций. Принцип установления баланса публичных и частных интересов в налоговом праве приводит к тому, что в нем все чаще начинают использоваться дозволения, поощрения и рекомендации. В отдельных сферах налогового права внедряются диспозитивные начала правового регулирования.
Метод объективного налогового права, описывающий, с помощью каких правовых приемов и средств регулируются налоговые отношения, отличается от метода налогового права как науки, который показывает, с помощью каких приемов исследуется предмет налогово-правовой науки. Метод науки объединяет как общенаучные приемы (анализ, синтез, индукция, дедукция и др.), так и специальные методы (формально-юридический, метод экономического анализа, историко-правовой, сравнительно-правовой, статистический и др.). Как и в случае с предметом налогового права, заметим, что методология науки налогового права изучается в магистратуре («Налоговое право 2») и аспирантуре («Налоговое право 3»), а потому в этом учебнике, предназначенном для студентов бакалавриата, рассматриваются только методы объективного налогового права.
Глава 2
Нормы налогового права
§ 1. Понятие и виды норм налогового права с. 27. – § 2. Действие налоговой нормы во времени с. 36. – § 3. Действие налоговой нормы в пространстве с. 40. – § 4. Толкование налоговой нормы с. 47.
§ 1. Понятие и виды норм налогового права
Налоговое право как отрасль российского законодательства представляет собой систематизированную совокупность правовых норм, регулирующих налоговые отношения и называемых нормами налогового права, или налоговыми нормами. По этим нормам, которыми урегулированы отношения между субъектами налогового права – установлены их субъективные права, юридические обязанности и ответственность, – можно судить о содержании позитивного налогового права.
Налоговая норма, как и любая другая правовая норма, – общеобязательное, формально определенное правило поведения, которое устанавливается и обеспечивается государством и направлено на регулирование конкретного вида общественных отношений, в данном случае – налоговых, составляющих, как уже отмечалось, предмет позитивного налогового права и закрепленных в НК РФ (ст. 2).
Налоговой норме присущи все основные характеристики правовой нормы:
а) неперсонифицированность – норма установлена для неопределенного круга лиц, а индивидуализация происходит тогда, когда на базе правовой нормы формируется налоговое правоотношение с участием конкретных лиц (субъектов налоговых правоотношений);
б) общеобязательность — норма представляет собой властное предписание государства относительно должного, возможного и запрещенного поведения участников налоговых отношений и обязательна для всех без исключения участников таких отношений;
в) формальная определенность — норма имеет заранее четко определенную форму закрепления вовне, выражается в официально опубликованных источниках налогового права (нормативных правовых актах, международных договорах и др.).
Общеобязательность налоговой нормы обусловлена ее неразрывной связью с государством и местным самоуправлением – норма исходит от публичной власти, которая обеспечивает ее исполнение и соблюдение, в том числе с использованием инструментов государственного воздействия и принуждения (меры пресечения, меры принудительного исполнения обязанности по уплате налога, привлечение к ответственности за налоговое правонарушение и т. д.).
Право вообще и налоговое право в частности отличаются системностью, представляют собой не разрозненную совокупность норм, а единую систему взаимосвязанных правовых предписаний. Это важно учитывать при определении содержания налоговой нормы: с одной стороны, она формально обособлена от норм других отраслей права, поскольку содержится в актах законодательства о налогах и сборах и иных источниках налогового права, а с другой – вместе с нормами смежных отраслей законодательства участвует в комплексном нормативно-правовом регулировании отношений в сфере налогообложения – бюджетных, административных, гражданских и др.
Налоговая норма является первичным элементом налогового права. Налоговые нормы объединяются в правовые институты налогового права – упорядоченные совокупности норм, регулирующих определенные группы (виды) налоговых отношений (например, институты «установление налога», «исполнение налоговой обязанности», «налоговые правонарушения», «налоговая жалоба» и др.).
Существенное увеличение нормативного массива, а также усложнение и детализация правового регулирования налоговых отношений могут привести к превращению отдельных институтов в укрупненные правовые институты (например, «налоговый контроль»), внутри которых выделяются правовые подинституты (так, в рамках укрупненного института «налоговый контроль» формируются подинституты «налоговый учет», «налоговые проверки», «налоговый мониторинг» и др.).
Система налогового права динамично развивается, постоянно претерпевает изменения. Совершенствование налоговой политики, модернизация налогового администрирования, проведение налоговых экспериментов и т. п. обусловливают появление новых норм налогового права, изменения и отмену ранее принятых налоговых норм. То же самое происходит и с правовыми институтами. Еще совсем недавно российское налоговое право не знало таких правовых институтов, как, например, налоговый мониторинг, контролируемые сделки или личный кабинет налогоплательщика. Сейчас же без них нельзя представить себе современный механизм налогового администрирования.
Классификация норм, используемых для регулирования налоговых отношений, позволяет лучше уяснить понятие налоговой нормы, определить ее место и роль в механизме налогообложения.
В зависимости от выполняемых налоговым правом функций налоговые нормы могут быть регулятивными и охранительными.
Регулятивные нормы воздействуют на субъектов налогового права через установление их прав и обязанностей, различного рода запретов, предоставления льгот и т. п. В зависимости от конкретного регуляторного инструмента налоговые нормы могут быть:
а) управомочивающими (например: «Налогоплательщики имеют право <…> на своевременный зачет или возврат сумм излишне уплаченных либо излишне взысканных налогов, пени, штрафов» (ст. 21 НК РФ));
б) обязывающими (например: «В случае нарушения ограничений, установленных частью 3 настоящей статьи, индивидуальный предприниматель считается утратившим право на применение налоговой ставки в размере 0 процентов и обязан уплатить налог за налоговый период, в котором нарушены указанные ограничения, в соответствии с требованиями налогового законодательства Российской Федерации» (Закон Краснодарского края от 16 ноября 2012 г. «О введении в действие патентной системы налогообложения на территории Краснодарского края»));
в) запретительными (например: «Не допускается производство выемки документов и предметов в ночное время» (ст. 94 НК РФ), «Не допускается участие в качестве понятых должностных лиц налоговых органов» (ст. 98 НК РФ));
г) стимулирующими (поощрительными) (например: «От уплаты налога на имущество физических лиц освобождаются <…> физические лица, являющиеся одинокими родителями, имеющими несовершеннолетних детей, зарегистрированные на территории сельских округов» (решение Тульской городской Думы от 28 ноября 2014 г. «Об установлении и введении в действие на территории муниципального образования город Тула налога на имущество физических лиц»)) и т. д.
Охранительные нормы предназначены для защиты правил поведения, установленных регулятивными нормами. В них определены условия применения к правонарушителям мер государственно-принудительного воздействия. Например: «Грубое нарушение правил учета доходов и (или) расходов и (или) объектов налогообложения, если эти деяния совершены в течение одного налогового периода, при отсутствии признаков налогового правонарушения, предусмотренного пунктом 2 настоящей статьи, влечет взыскание штрафа в размере десяти тысяч рублей» (ст. 120 НК РФ).
По форме предписания и способу изложения правила поведения налоговые нормы подразделяются на императивные, диспозитивные и рекомендательные. Каждая из этих разновидностей может быть соотнесена с соответствующим методом правового регулирования налоговых отношений, рассмотренных в предыдущей главе.
Императивные нормы являются в налоговом праве преобладающими, поскольку в большей степени соответствуют публично-правовой природе налогового регулирования. Они содержат правила, которые однозначно и, в отличие от диспозитивных норм, безальтернативно определяют поведение субъектов налогового права при наступлении сформулированных в них условий (юридических фактов). Например: «Единая (упрощенная) налоговая декларация представляется в налоговый орган по месту нахождения организации или месту жительства физического лица не позднее 20-го числа месяца, следующего за истекшими кварталом, полугодием, 9 месяцами, календарным годом» (ст. 80 НК РФ).
Диспозитивные нормы устанавливают вариант поведения, предусматривая при этом определенную степень самостоятельности субъектов налогового права и позволяя им урегулировать налоговые отношения по собственному усмотрению. Например: «Организации, являющиеся участниками консолидированной группы налогоплательщиков, вправе самостоятельно выбирать порядок определения ежегодного уровня роста исчисленного налога на прибыль организаций» (ст. 1 Закона Ямало-Ненецкого автономного округа от 25 сентября 2008 г. «О налоге на прибыль организаций, подлежащем зачислению в окружной бюджет»), «Налогоплательщикам – физическим лицам льготы, предусмотренные настоящей статьей, предоставляются на одно транспортное средство по их усмотрению» (ст. 5 Закона Костромской области от 28 ноября 2002 г. «О транспортном налоге»).
В рекомендательных нормах формулируются варианты желательного для государства и местного самоуправления поведения в сфере налогообложения. Такие нормы обращены, как правило, к субъектам права, не состоящим с субъектом правотворчества в отношениях административного соподчинения. Например: «Рекомендовать представительным органам местного самоуправления муниципальных образований Ленинградской области привести свои нормативные акты о льготном налогообложении предприятий и организаций в соответствие с федеральным и областным законодательствами» (ст. 7 Областного закона Ленинградской области от 12 января 2001 г. «О признании утратившими силу некоторых законодательных актов Ленинградской области и внесении изменений в некоторые законодательные акты Ленинградской области о льготном налогообложении предприятий и организаций»); «Рекомендовать органам местного самоуправления предоставить льготы по земельному налогу садоводческим товариществам согласно действующему законодательству Российской Федерации» (ст. 2 Закона Алтайского края от 6 апреля 2001 г. «Об освобождении садоводческих товариществ от уплаты земельного налога в части, зачисляемой в краевой бюджет»).
По способам и юридико-техническим приемам изложения налоговые нормы могут быть прямыми, бланкетными и отсылочными.
При прямом способе изложения элементы, необходимые для установления правила поведения (гипотеза, диспозиция, санкция), представлены прямо в статье нормативного правового акта.
При отсылочном способе элемент налоговой нормы полностью не излагается в данной статье, вместо этого содержится отсылка на конкретную главу или статью (пункт, часть, абзац статьи) того же или другого нормативного правового акта. Например: «Доходы налогоплательщика могут быть отнесены к доходам от источников в Российской Федерации или к доходам от источников за пределами Российской Федерации в соответствии с главами “Налог на прибыль организаций”, “Налог на доходы физических лиц” настоящего Кодекса» (ст. 42 НК РФ); «Предоставление инвестиционного налогового кредита должно быть обеспечено поручительством в соответствии со статьей 74 Налогового кодекса Российской Федерации» (ст. 2 Закона Вологодской области от 2 апреля 2013 г. «Об инвестиционном налоговом кредите»).
В бланкетной норме элемент налоговой нормы выражен в самой общей форме – через отсылку к другим нормативным правовым актам без указания конкретной статьи, в которой содержится недостающая правовая информация, к конкретным отраслям законодательства, а то и вовсе через указание на «действующее законодательство». Например: «Обязанность по уплате налога и (или) сбора прекращается <…> со смертью физического лица – налогоплательщика или с объявлением его умершим в порядке, установленном гражданским процессуальным законодательством Российской Федерации» (ст. 44 НК РФ); «За неправомерные действия или бездействие должностные лица и другие работники органов, указанных в пункте 1 настоящей статьи, несут ответственность в соответствии с законодательством Российской Федерации» (ст. 35 НК РФ); «Контроль за соблюдением законодательства о налогах и сборах в части предоставления и использования налоговых льгот осуществляется в соответствии с Налоговым кодексом Российской Федерации и иными нормативными правовыми актами» (ст. 21 Закона Ярославской области от 24 февраля 1998 г. «О порядке и условиях предоставления налоговых льгот»).
Особое место в налоговом праве занимают так называемые специальные нормы, которые в отличие от обычных налоговых норм не устанавливают конкретных правил поведения для субъектов налогового права и, как правило, не имеют структуры, включающей гипотезу, диспозицию и санкцию[9]. Речь идет прежде всего о нормах-принципах, нормах-констатациях, нормах-дефинициях и нормах-расчетах.
В нормах-принципах закреплены общие положения законодательства о налогах и сборах или отдельных институтов налогового права (например, основные принципы налогового законодательства сформулированы в ст. 3 НК РФ, принципы определения цены товаров, работ или услуг для целей налогообложения – в ст. 40 НК РФ, принципы определения доходов – в ст. 41 НК РФ, принципы налогового контроля – в ст. 82 НК РФ).
Нормы-констатации содержат разного рода нормативные объявления. Например: «Законодательство Российской Федерации о налогах и сборах состоит из настоящего Кодекса и принятых в соответствии с ним федеральных законов о налогах, сборах, страховых взносах» (ст. 1 НК РФ); «В Российской Федерации устанавливаются следующие виды налогов и сборов: федеральные, региональные и местные» (ст. 12 НК РФ); «К местным налогам и сборам относятся: 1) земельный налог; 2) налог на имущество физических лиц; 3) торговый сбор» (ст. 15 НК РФ). В таких нормах могут устанавливаться цели налогово-правового регулирования, задачи отдельных институтов, функции государственных органов, участвующих в налоговых отношениях, и т. п. Например: «Целью камеральной и выездной налоговых проверок является контроль за соблюдением налогоплательщиком, плательщиком сборов, плательщиком страховых взносов или налоговым агентом законодательства о налогах и сборах» (ст. 87 НК РФ); «Налоговые органы осуществляют свои функции и взаимодействуют с федеральными органами исполнительной власти, органами исполнительной власти субъектов Российской Федерации, органами местного самоуправления и государственными внебюджетными фондами, а также с многофункциональными центрами предоставления государственных и муниципальных услуг посредством реализации полномочий, предусмотренных настоящим Кодексом и иными нормативными правовыми актами Российской Федерации» (ст. 30 НК РФ). НК РФ содержит очень много норм-констатаций. Первые три главы НК РФ (гл. 1 «Законодательство о налогах и сборах и иные нормативные правовые акты о налогах и сборах», гл. 2 «Система налогов и сборов в Российской Федерации», гл. 2.1 «Страховые взносы в Российской Федерации») практически полностью состоят из таких норм.
Нормы-дефиниции содержат определения понятий и категорий налогового права, разъясняют значение отдельных терминов, институтов и т. п. Классическим примером таких норм является ст. 8 НК РФ, в которой даются легальные определения понятий налога, сбора и страховых взносов. В ст. 11 НК РФ сформулированы определения основных понятий и категорий, используемых в НК РФ, а в ст. 11.1 раскрывается понятийный аппарат, предназначенный для правового регулирования налогообложения добычи углеводородного сырья. Отдельные статьи и главы НК РФ (ст. 333.43, 364 и др.), в которых регулируются отношения, описываемые с использованием узкопрофессиональной терминологии (налогообложение игорного бизнеса, добычи полезных ископаемых и т. п.) могут иметь собственный систематизированный понятийный аппарат.
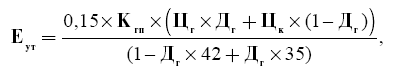
Отличительной чертой позитивного налогового права является активное использование норм-расчетов. Такие налоговые правила делают границу между правовыми нормами и нормами техническими едва различимой. Приведем лишь один пример (ст. 342.4 НК РФ), который предлагаем нашим читателям исключительно для визуального восприятия:
«Базовое значение единицы условного топлива (Еут) рассчитывается налогоплательщиком самостоятельно при добыче газа горючего природного (за исключением попутного газа) и (или) газового конденсата для участка недр, содержащего залежь углеводородного сырья, по следующей формуле:

где Цг – цена газа горючего природного, определяемая в целях настоящей статьи в соответствии с пунктом 4 настоящей статьи;
Дг – коэффициент, характеризующий долю добытого газа горючего природного (за исключением попутного газа) в общем количестве газа горючего природного (за исключением попутного газа) и газового конденсата, добытых в истекшем налоговом периоде на участке недр, содержащем залежь углеводородного сырья, определяемый в соответствии с пунктом 3 настоящей статьи;
Цк – цена газового конденсата, определяемая в целях настоящей статьи в соответствии с пунктом 2 настоящей статьи;
Кгп – коэффициент, характеризующий экспортную доходность единицы условного топлива, определяемый в соответствии с пунктом 18 настоящей статьи.
Рассчитанное в порядке, определенном настоящим пунктом, базовое значение единицы условного топлива (Еут) округляется до четвертого знака в соответствии с действующим порядком округления»[10].
К категории специальных норм можно отнести также «нормы о нормах» – оперативные[11] и коллизионные нормы, значение которых для правового регулирования налоговых отношений трудно переоценить. Мы выделяем их среди специальных норм в отдельную группу, потому что в отличие от ранее упомянутых специальных оперативные и коллизионные нормы новых налоговых правил не создают – они касаются исключительно вопроса применения уже имеющихся налоговых норм, а потому иногда их называют техническими.
Оперативные нормы устанавливают порядок введения в действие налоговых норм, их изменения и отмены. Не создавая новых налоговых правил, они могут расширять и сужать сферу действия ранее принятых налоговых норм. В налоговом праве обозначился законотворческий подход, в соответствии с которым нормы о введении в действие первой и второй частей НК РФ составляют предмет отдельных «технических» законов – Федерального закона от 31 июля 1998 г. № 147-ФЗ «О введении в действие части первой Налогового кодекса Российской Федерации» и Федерального закона от 5 августа 2000 г. № 118-ФЗ «О введении в действие части второй Налогового кодекса Российской Федерации и внесении изменений в некоторые законодательные акты Российской Федерации о налогах». На региональном и муниципальном уровнях оперативные нормы содержатся, как правило, в законах о региональных и местных налогах и сборах, а специальные «технические» законы и иные нормативные правовые акты на этих уровнях не принимаются[12]. Оперативные нормы могут содержаться также в корректирующих законах, которыми вносятся изменения и дополнения в акты законодательства о налогах и сборах. Например: «Настоящий Федеральный закон вступает в силу с 1 января 2020 года, но не ранее чем по истечении одного месяца со дня его официального опубликования» (ст. 4 Федерального закона от 29 сентября 2019 г. № 326-ФЗ «О внесении изменений в часть вторую Налогового кодекса Российской Федерации и статью 1 Федерального закона “О внесении изменений в часть вторую Налогового кодекса Российской Федерации”»); «Настоящий Закон края вступает в силу по истечении одного месяца со дня его официального опубликования» (ст. 2 Закона Забайкальского края от 25 декабря 2018 г. «О внесении изменения в статью 4.2 Закона Забайкальского края “О налоге на имущество организаций”»).
В коллизионных нормах установлены правила определения применимого права при наличии конкурирующих налоговых норм, чаще всего норм различных налоговых юрисдикций, регулирующих одно и то же налоговое отношение. Коллизионные нормы содержатся в большом количестве в международных договорах РФ об избежании двойного налогообложения. Например: «Прибыль предприятия Договаривающейся Стороны подлежит налогообложению только в этой Стороне, если только такое предприятие не осуществляет предпринимательскую деятельность в другой Договаривающейся Стороне через находящееся там постоянное представительство. Если предприятие осуществляет предпринимательскую деятельность вышеупомянутым образом, то прибыль этого предприятия может облагаться налогом в этой другой Стороне, но только в той части, которая относится к этому постоянному представительству» (ст. 7 «Соглашения между Правительством Российской Федерации и Правительством Специального административного района Гонконг Китайской Народной Республики об избежании двойного налогообложения и предотвращении уклонения от налогообложения в отношении налогов на доходы» 2016 г.)[13]. Работая с коллизионными нормами, необходимо помнить, что в случае если международным договором РФ установлены иные правила и нормы, чем предусмотренные НК РФ и принятыми в соответствии с ним нормативными правовыми актами, применяются правила и нормы международных договоров РФ (ст. 15 Конституции РФ, ст. 7 НК РФ).
Помимо вышеприведенных, существуют и другие критерии классификации налоговых норм. Так, в зависимости от юридической силы выделяют налоговые нормы, содержащиеся в международных договорах РФ, налоговые нормы законодательных актов и налоговые нормы подзаконных актов. По субъекту (уровню) правотворчества различают федеральные, региональные и муниципальные налоговые нормы, по юридическому содержанию – материальные и процессуальные, по сфере действия – налоговые нормы общего и ограниченного действия (последние могут предусматривать ограничения в применении налоговых норм как в пространстве, так и по кругу лиц), по времени действия – постоянно действующие нормы и принимаемые на определенный срок и т. д.[14]


