Владимир Рафаилович Веснин Управление персоналом в схемах и определениях

Полная версия:
Владимир Рафаилович Веснин Управление персоналом в схемах и определениях
- + Увеличить шрифт
- - Уменьшить шрифт

В. Р. Веснин
Управление персоналом в схемах
Учебное пособие

ebooks@prospekt.org
Управление персоналом в схемах
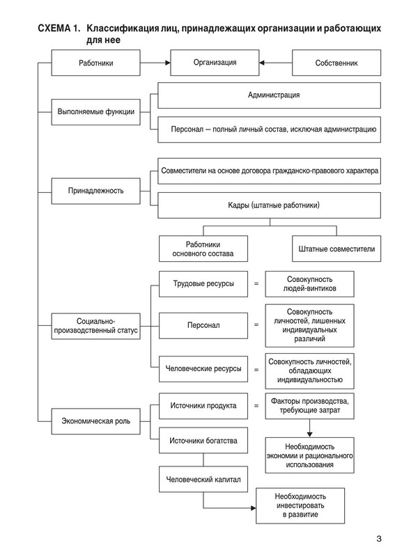
3

4

5

6

7

8

9

10

11

12

13

14

15

16

17

18

19

20

21

22

23

24

25

26

27

28

29

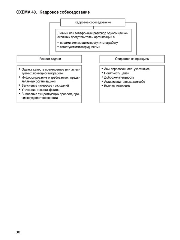
30

Конец ознакомительного фрагмента.
Текст предоставлен ООО «Литрес».
Прочитайте эту книгу целиком, купив полную легальную версию на Литрес.
Безопасно оплатить книгу можно банковской картой Visa, MasterCard, Maestro, со счета мобильного телефона, с платежного терминала, в салоне МТС или Связной, через PayPal, WebMoney, Яндекс.Деньги, QIWI Кошелек, бонусными картами или другим удобным Вам способом.







